小角 X 射线散射(Small Angle X-ray Scattering,SAXS)是指当 X 射线照射到试样上,在靠近入射 X 光束周围 2°~5° 的小角度范围内发生的散射现象。
由于电磁波的散射遵循反比定律——被照物体的有效尺寸相对于入射波越大,电磁波的散射角越小,因此 SAXS 的研究主体主要是数百至上千埃的亚微观结构物质(高聚物、蛋白质、溶胶凝胶、超细粉末、多孔碳等)。总之,SAXS 技术凭借其得天独厚的优势,已成为亚微观结构研究的主要工具之一。

由于 X 射线具有极大的能量,当其照射到晶体时,晶体中的原子会在 X 射线的作用下被迫做周期性的运动,从而会以原子球为单位对外发射次生波,该波的频率与入射 X 射线一致,这个过程就称为 X 射线的散射。

X 射线与物质的相互作用
由于散射效应存在,X 射线经过物质时会偏离原来的传播方向。此时入射 X 光和散射 X 光就会发生如下两种相互作用:
(1)若试样具有周期性结构(晶区),入射光和散射光之间没有波长的改变,则 X 射线发生相干散射,该过程称为大角 X 射线衍射;
(2)若试样内部 1~100nm 量级范围内电子密度不均匀,即样品在该范围内同时具有晶区和非晶区,则散射 X 射线波长发生改变,入射光和散射光发生不相干散射,该过程称为小角 X 射线散射。
SAXS 的物理实质在于散射体和周围介质的电子云密度的差异。凡是存在纳米尺度的电子密度不均匀区的物质,均会产生小角散射现象。而对于完全均匀的物质,其散射强度为零。

小角 X 射线散射强度受粒子尺寸、形状、分散情况、取向及电子密度分布等的影响。对于稀疏分散、随机取向、大小和形状一致,且每个粒子内部具有均匀电子密度的粒子组成体系,其散射强度为:

式中:h——散射矢量;
Ie——单电子的散射强度;
ρ0——粒子的电子密度;
V——粒子的体积;
R——粒子的半径;
φ——散射函数;
λ——入射 X 射线的波长;
2θ——散射角。
对于不规则形状的粒子体系,其散射强度不同,表现为散射函数 φ2(hR) 不同。同样,具有一致取向的粒子构成的稀疏粒子体系与无取向的粒子体系的散射强度也不同。

Guinier 近似定律

Guinier 公式描述了 M 个不相干涉的粒子体系的散射强度:

式中:n——粒子所含的总电子数;
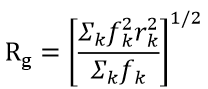
Rg——旋转半径,即粒子中各个电子与其质量重心的均方根距离。

式中:fk——第 k 个散射元的散射因子;
rk——第 k 个散射元与粒子质量重心的距离。
对上式两边取对数,并以 In(h) 对 h2 作图,从斜率可求出粒子的旋转半径 Rg。经变换,由旋转半径 Rg 可以得到粒子的半径 R。
粒子形状不同,其变换公式也不同。其中球形粒子的变换公式为:


Porod 定律

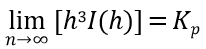
Porod 定律指出,当体系由具有明锐界面的两相构成时,其散射强度在无限长狭缝准直系统情况下满足:

式中:Kp——Porod 常数。
也就是说,当 h 趋于极大值时,h3I(h) 趋于一个常数,则表明粒子具有明锐的相界面。反之,当 h 趋于大值时,若 h3I(h) 不趋于常数,则表明粒子没有明锐的界面,即表现为对 Porod 定理的偏离,如下图所示。其中,曲线发生正偏移,说明体系中除散射体外还存在电子密度不均匀区或者热密度起伏;曲线发生负偏移,说明两相间界面模糊,存在弥散的过渡层,因此由负偏离可以计算出界面层厚度 t。

Porod 定律及其偏离

引起小角 X 射线散射的体系主要有以下几类。

各种散射体系:(a)单散系;(b)稀疏取向系;(c)多分散系;(d)稠密颗粒系;(e)密度不均匀粒子系;(f)任意系;(g)长周期结构。
单散系
由稀疏分散、随机取向的、大小和形状一致的,具有均匀电子云密度的粒子组成。
这里所谓的大小和形状一致是指根据不同的研究对象有不同程度的近似;随机取向是指粒子在空间中处于各种取向的几率相同;稀疏分散是指粒子的尺寸比粒子间的距离小得多,可以忽略粒子间散射的相干散射,将散射强度看作多个粒子的散射强度之和;内部电子云密度均匀是指每一个颗粒内部没有电子密度起伏存在,各颗粒的电子密度都相同。
稀疏取向系
由相同形状和大小、均匀电子云密度,但具有一致取向的颗粒构成的稀疏颗粒体系。
多分散系
由形状和电子云密度相同,但是尺寸不同粒子所形成的随机取向、稀疏分布的粒子体系。
稠密粒子系
大小、形状和电子云密度相同,随机取向的,粒子间距很小的粒子体系。
密度不均匀粒子系
大小、形状相同,随机取向的,稀疏分布的,电子云密度不均匀的粒子体系。
任意系
不包括上述几种体系;包括不能用颗粒概念来描述的有电子密度起伏的散射体。
长周期结构
在高聚物和生物体中,经常出现由结晶区和非结晶区交替排列而形成的长周期结构。

下图对比了不同仪器可能探测的物质结构尺寸范围,给出 SAXS 对应的介观结构解析。

不同仪器的应用范围

常用的用于 SAXS 的介观结构
经过实践验证,SAXS 可以得到试样内统计平均信息。液体、粉末、薄膜、块体材料甚至活体都可以测试。某些高分子材料可以给出足够强的小角散射信号,单由 TEM 得不到清晰有效的信息。对于多孔材料,不管是开孔还是闭孔,SAXS 都能检测到,而电镜和气体吸附法不能确定封闭孔。

SAXA 的应用广泛,现按照定性和定量分析归纳如下:
1. 散射体的分散性(单分散或多分散,Guinier 图判定);
2. 两相界面是否明锐(对 Porod 或 Debye 定理的负偏移);
3. 每一相内电子密度的均匀性(不均匀才存在散射);
4. 有长周期结构的高聚物结晶核非晶的判断、取向的判断及相变;
5. 极稀溶液中的粒子形状判断(距离分布函数图);
6. 散射体(介孔)的分形特征(表面、质量)。
定量分析
1. 散射体尺寸分布、平均尺度、回转半径、相关距离、平均壁厚(由 Guinier 曲线计算);
2. 散射体体积分数、比表面积、平均界面层厚度、分形维数(由 Porod 曲线计算);
3. 粒子形状及 Dmax(由距离分布函数得出);
4. 根据几阶散射的 q 值比值判断相位(有序结构)。

01
测定纳米颗粒的粒度分布
SAXS 被广泛用来测定纳米粉末的粒度分布。与传统的粒度分析仪、SEM、TEM 测试结果不同,SAXS 测试的粒度分析结果所反映的既非晶粒亦非团粒,而是一次颗粒的尺寸。于吉顺等人利用 X’Pert MPD Pro 衍射仪上利用 X 射线小角散射法对纳米氧化锆的粒度分布进行了测定。

纳米氧化锆粒度分布直方图

02
测定两相界面薄膜结构
刘晓旭等通过小角 X 射线散射试验对无机纳米杂化 Al2O3/PI(聚酰亚胺)薄膜的微观结构,包括纳米颗粒的尺寸以及纳米颗粒与基体的界面情况进行了分析。通过 Guinier 曲线低角区域线性部分的拟合,得到试样中氧化铝颗粒的旋转半径约为 6nm,表明在无机纳米杂化薄膜体系中,纳米颗粒未发生团聚。

Guinier 曲线(上)及 In[I(q)] 与 q2 的关系(下)
通过观察 Porod 曲线发现,随散射矢量 h 值的增大,曲线趋于水平直线。根据小角 X 射线散射理论中的 Porod 定律可知,该复合薄膜中纳米颗粒与基体间的界面明确,说明薄膜中的 PI 分子链与与无机纳米颗粒间并未发生相互扩散、渗透以及缠结等现象。无机纳米颗粒与有机分子链主要是通过化学键锚定在一起,此界面结构与经典的有机与无机相结合的化学键理论相一致。

Porod 曲线

03
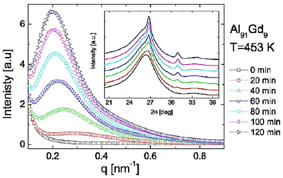
研究合金中的析出相
Jerzy Antonowicz 等人利用小角 X 射线散射技术研究了二元快淬非晶合金 Al91Gd9 在退火状态下的相分离以及纳米晶的形成过程。由小角 X 射线散射图谱可知,随着退火时间的延长,最大散射峰强度增大,其位置向小角区域移动。其散射极大值的出现源于非晶基体中 10nm 左右的成分波动(即 10nm 左右尺度的富铝或富钆区域)。峰值位置移向小角区域说明相分离粗化过程中成分起伏的尺度增大,从而推动了富铝区域面心立方纳米晶铝的形成。

Al91Gd9 合金在 453K 退火时 SAXS 谱的演变
本文源自微信公众号:中科蓝海ZKBO
原文标题:《小角 X 射线散射(SAXS)——研究材料亚微观结构》
原文链接:https://mp.weixin.qq.com/s/EyBq2av7Hou3cu9lYmNuKA
本转载仅出于分享优质测试干货,旨在传递更多观点,并不代表赞同其全部观点或证实其内容的真实性。文章中所包含的图片、音频、视频等素材的版权均归原作者所有。如有侵权请告知删除。

