核磁共振波谱(Nuclear Magnetic Resonance,简称 NMR)与紫外吸收光谱、红外吸收光谱、质谱被人们称为“四谱”,是对各种有机和无机物的成分、结构进行定性分析的最强有力的工具之一,广泛应用于化学、食品、医药学、生物学、遗传学以及材料科学等学科领域,成为这些领域开展研究的不可或缺的分析手段。
1945 年,核磁共振现象由哈佛大学的 Edward Mills Purcell 和斯坦福大学的 Felix Bloch 发现。他们将具有奇数个核子(包括质子和中子)的原子核置于磁场中,再施加以特定频率的射频场,就会发生原子核吸收射频场能量的现象,这就是人们最初对核磁共振现象的认识。由于这项重大发现,他们二人共同分享了 1952 年诺贝尔物理学奖。

在以往的半个世纪中,NMR 技术经历了几次飞跃。1945 年发现了 NMR 信号,1948 年建立了核磁弛豫理论,1950 年发现了化学位移和耦合现象,1965 年诞生了脉冲傅里叶变换技术,迎来了 NMR 真正的繁荣期;自从 70 年代以来,NMR 发展异常迅猛,形成了液体核磁、固体核磁和 NMR 成像三雄鼎立的新局面。
核磁共振,顾名思义,指原子核的磁共振现象。这种现象只有把原子核置于外加磁场中并满足一定外在条件才能产生。
那么,元素周期表中是否所有元素的原子核都能产生这种现象呢?答案是否定的。只有显示磁性的原子核,在强磁场中才能产生核磁共振现象。因此,我们首先要认识哪些原子核在哪些条件下满足产生核磁共振的条件。

一般核磁波谱的测试根据最终上机样品状态分为液体核磁和固体核磁,液体进样的为液体核磁,固体进样的为固体核磁,它们各自测试方法也决定了他们之间有一定的差异。
固体核磁

固体核磁共振技术(SSNMR,Solid State Nuclear Magnetic Resonance)是以固态样品为研究对象的分析技术。将样品分子视为一个整体,则可将固体核磁中探测到的相互作用分为两大类:样品内部的相互作用及由外加环境施加于样品的作用。
前者主要是样品内在的电磁场在与外加电磁场相互作用时产生的多种相互作用力,这主要包括:化学环境的信息(分子中由于内在电磁场屏蔽外磁场的强度、方向等),分子内与分子间偶极自旋偶合相互作用,对于自旋量子数>1/2 的四极核尚存在四极作用。
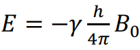
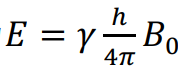
外部环境施加于样品的主要作用有:(1)由处于纵向竖直方向的外加静磁场作用于特定的核磁活性的核上产生的塞曼相互作用(Zeeman interaction),核子相对应的频率为拉莫尔频率(Larcnor frequency);(2)由处于 x-y 平面的振荡射频场产生的作用于待测样品的扰动磁场。
液体核磁

直接对液体样品进行测试或者将固体样品溶解为溶液后进行测试的,都称为液体核磁测试。液体核磁因为需要在待测样品中加入溶剂稀释,所以会引入溶剂。
我们来思考一个问题:假如我想做一个核磁氢谱,想了解目标物中氢原子的信息,但是样品又是用甲醇(CH3OH)配的溶液,那我最后得到的信号里面怎么区分哪些是样品中的,哪些是甲醇中的呢?加入的溶剂那么多,会不会溶剂信号直接把样品的信号遮盖呢?
其实不用担心,因为一般进行核磁测试所使用的溶剂都是一种特殊的试剂,叫氘代试剂。上面我们说过,不是所有的原子核都可以产生核磁信号,只有特定的原子核才可以,举个例子:1H 原子核是可以产生核磁信号的,但是其同位素 2H(一般用 D 表示,也称为氘)是不能产生核磁信号的。如果我们用不能产生核磁信号的氘原子,取代原来的氢原子,就称为氘代试剂,例如水和重水。

类似这样的溶剂还有很多,氘代甲醇,氘代氯仿,氘代丙酮等等,只要我们使用氘代试剂以为溶剂,那么在液体核磁测试中就可避免溶剂的信号混淆了。
固体核磁与液体核磁的区别

样品要求:液态样品/固态样品;制样也不同;
灵敏度:液体核磁的灵敏度比较高,固体核磁低;
谱图分辨率:液体核磁的谱图分辨率比固体核磁高。
下面以甘氨酸的 13C 谱为例。

液态谱——共振峰尖锐

固态谱
对于分析谱图而言,谱线过宽可能会导致共振峰重叠,进而信息缺失或准确性降低。液体分子具有快速分子运动,可以将增宽谱图的内部相互作用平均为零,所以液体核磁共振峰尖锐。没有快速分子运动的固体分子饱受这些内部相互作用的“折磨”,变宽变宽变宽。
化学品和石油化学产品

沸石分子筛是重要的多相催化剂,广泛应用于现代化工和石油化工领域。
固体 NMR 方法可以用于表征多相催化剂的结构信息,并提供催化反应相关的分子结构和动力学信息。
而液体 NMR 方法则在化妆品、香水、洗涤剂、杀虫剂等低分子量化学品研究方面发挥重要作用。
材料化学

从聚合物到液晶再到建筑材料,NMR 方法已经被用来研究多种材料的结构和分子动力学。NMR 方法能够检测聚合物的微结构,包括聚合物立体化学、区域异构、分支和缺陷,还可以从不同时间尺度研究聚合物的链动力学。
另外,液体 NMR 方法还可以进行高分子液晶的结构与取向性研究、高分子涂料的结构与功能研究等。而固体 NMR 方法则作为研究固体材料的有力工具,可以用于揭示电池材料、金属有机框架材料、半导体材料、纳米管/线等功能材料的结构与动力学特性。

生物大分子结构与功能研究

NMR 技术可以对蛋白质、核酸、以及蛋白质或核酸复合物进行结构测定与功能研究,这些研究可以揭示各种疾病或正常的生理过程。
代谢组学

代谢组学旨在对细胞、组织或有机体中的所有小分子进行全面的定性和定量分析,以研究内在和外在因素的相互作用。NMR 方法能够检测、识别和测量整个代谢组学化学空间的代谢分子,通过一维质子核磁谱图提供独特的化学指纹,反映细胞生理状态的基本功能信息。
制药领域

NMR 技术在药物研发中可以对原材料、活性药物成分、配方产品或生物样品中的新杂质、降解物和代谢物进行识别、表征和验证,从而进行化合物的结构确定、含量分析及杂质鉴定等研究。

环境科学

NMR 是研究复杂系统的灵活工具,可以用于探索各种环境问题,有助于观察污染的影响和补救方法的有效性。
NMR 可以追踪各种污染物经历一系列不同环境(空气、水、土壤)和相态(液态、凝胶、固态)的过程,这种综合的多相 NMR 方法甚至可以凭借追踪生物代谢的能力,更深入地了解诸如气候变化等更微妙的应激源所带来的影响。NMR 方法在生物体内和原位研究方面的能力使其成为环境科学家不可或缺的工具。
本文源自微信公众号:中科蓝海ZKBO
原文标题:《核磁共振波谱 NMR 的知识你了解多少?》
原文链接:https://mp.weixin.qq.com/s/y5MOmxjZ2Lg8xHwlUxvOdA
本转载仅出于分享优质测试干货,旨在传递更多观点,并不代表赞同其全部观点或证实其内容的真实性。文章中所包含的图片、音频、视频等素材的版权均归原作者所有。如有侵权请告知删除。

