说明:本文系统阐述了如何利用XRD技术分析材料的掺杂行为,重点解析了布拉格方程、谢乐公式、威廉姆森–霍尔法、Rietveld精修和维格德定律等核心原理,进而详细说明了如何通过衍射峰位移、新相形成和峰形变化等特征判断掺杂效果。

什么是掺杂?

掺杂(Doping)是通过在主体材料中引入少量外来元素以调控其物理化学性质的关键策略。在适当的掺杂范围内,主材料与掺杂元素形成固溶体,当掺杂元素浓度超过固溶极限则产生相分离,析出第二相。
按掺杂元素价态分类,主要分为阳离子掺杂、阴离子掺杂和多离子共掺杂。按掺杂形式分类,主要分为替换掺杂、空位掺杂和间隙掺杂。
选取掺杂元素首先要确保掺杂元素能进入到材料晶格中去,明确元素进入晶格的位置,其次要明确掺入元素的作用,不同的掺入元素对材料的结构性能影响各不相同。

图1 掺杂类型(i)替换掺杂(ii)空位掺杂(iii)间隙掺杂。DOI:10.1021/acs.chemrev.7b00613

XRD为何可以分析掺杂?

掺杂之所以能被XRD探测到,根本原因在于掺杂原子改变了晶格的周期性,特别是引起了晶面间距dhkl的变化。这一变化会直接导致衍射峰在2θ角上的移动,这是XRD分析掺杂最直观的证据。
2dhklsinθ=nλ
dhkl:晶面间距(单位:nm,反映晶体晶格大小);θ:布拉格角,入射X射线与衍射晶面之间的夹角;n:衍射级次,代表光程差是波长的整数倍,在实际分析中,通常只考虑一级衍射(n=1);λ:入射X射线波长(如Cu靶Kα1的λ=0.15418 nm)。

图2 布拉格衍射图。DOI:10.27162/d.cnki.gjlin.2020.000647
掺杂原子取代基体原子后,晶格必须容纳不同大小的离子,导致整体体积膨胀或收缩。此外,不同价态的掺杂离子会改变键长、键强度,进而影响晶格常数。该影响可以通过Scherrer公式计算,它假设峰的展宽完全由晶粒尺寸导致,通过峰宽计算晶粒尺寸(峰越窄,晶粒越大)。

D:垂直于衍射晶面方向的平均晶粒尺寸;k:谢乐常数(形状因子),通常取0.89或0.9;β:衍射峰的半高宽(FWHM,需转换为弧度,扣除仪器展宽);其他参数同布拉格定律。

图3 不同NHCl制备所得H2WO4的XRD图谱(a)其晶粒尺寸与NHCl的关系曲线(b)插图为样品H2WO4的XRD图谱(020)晶面的峰宽对比。(《纳米氢钨青铜HxWO3的合成、热膨胀及光学性能研究[D]》)
谢乐公式的计算结果是一个粗略估计。其主要局限性在于:(1)完全忽略了微观应变的贡献;(2)仅适用于晶粒尺寸在1-200 nm范围内的样品;(3)结果对峰形拟合和仪器展宽的扣除非常敏感。
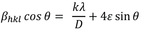
实际上,掺杂不仅影响晶粒尺寸,还可能引入晶格畸变,即微应变(ε),两者都会导致衍射峰宽化。
W-H方法通过分析不同衍射角下峰宽的变化,将这两种效应分离开。该方法认为峰宽的扩展可以分为两个组成部分,其中一个部分描述了洛伦兹函数,归因于晶体尺寸。另一个部分通过高斯函数建模,并对应于材料中存在的微变形的贡献。



βhkl:衍射峰的半高宽,D是晶体尺寸的平均值,ε是微变形值;其他参数同前。该方程也被称为均匀变形模型,因为它假设晶体具有各向同性的行为。

图4 通过威廉森–霍尔方法对化学沉淀法合成的磷酸钙样品进行定量分析。DOI:10.18845/tm.v35i4.5664
通过线性拟合数据可以提取微应变的值,以及从截距与轴y的值中提取晶粒尺寸的值。W-H公式比谢乐公式更进了一步,但它假设晶粒尺寸和微观应变都是各向同性的,即不随晶向变化,这在很多实际材料中并不成立。
此外,需要注意的是,为了避免XRD低角度下的不对称效应,Scherrer和Williamson-Hall分析方法一般不选择小于30°的角度。
Scherrer和Williamson-Hall方法是晶体尺寸和微变形的初步近似。然而,仅通过分析一些衍射峰提供的信息是有限的。
而Rietveld方法则考虑了整个衍射图案,这使得Rietveld方法能够利用更广泛的2θ位置分布中的更多衍射峰提供关于样品的更多信息,包括晶格参数和相分数。

图5 InNNi3和In0.9NNi3的XRD谱图,插图为主峰局部放大图(左)In0.9NNi3的精修XRD谱图(右)。DOI:10.1002/aenm.202503319
该技术的目标是通过最小二乘法迭代调整一个或多个晶相的结构模型,并与实验过程中获得的衍射图进行比较。这意味着可以反复调整每个阶段的比例、晶格参数、晶体尺寸和微变形等参数,直到计算出的衍射图与实验得到的结果相似。
Scherrer和Williamson-Hall方法可以作为Rietveld精修的前一步骤来验证所获得的结果。
表1 通过谢乐公式、W-H法、精修获得的不同退火温度下的CoFe2O4纳米颗粒的晶粒尺寸DOI:10.1039/D0NA00156B



表2 通过Scherrer、Williamson-Hall和Rietveld方法获得的晶体参数对比,用于合成透磷钙石相和三斜磷钙石相DOI:10.18845/tm.v35i4.5664

对于形成固溶体的掺杂体系,晶格常数的变化通常与掺杂浓度呈线性关系,这被称为维格德定律。通过精确测量不同掺杂浓度下样品的晶格常数,可以建立一条校准曲线,用于未知样品的掺杂浓度测定。研究表明,随着掺杂浓度的增加,XRD峰位的偏移量通常也会相应增大,反映出晶格参数的系统性变化。
对于二元固溶体 A-B,若XB为组分 B的摩尔分数,aA0与aB0分别为纯组分 A、B的晶格常数,则

该式即为维格德定律的最常用形式,亦可推广到三元或更高元体系,采用各组分晶格常数的加权平均。

图6 最小能量结构的平均键长显示出与浓度的整体线性变化,表明这些纳米合金团簇表现出类似Vegard定律的变化。DOI:10.48550/arXiv.1404.4703
Vegard定律适用范围与前提条件:
置换固溶体:原子在晶格中随机、统计分布,且两种组分的化学键性质相近。
晶格结构相同:A、B必须拥有相同的晶体结构(如同为面心立方、体心立方等),否则线性关系往往失效。
原子尺寸差异不大:经验上,当两纯组分的晶格常数差异小于约 5 %时,线性近似较为可靠。当纯组分的晶格参数差异小于5%时,该定律应重新分类为适用于特定条件的有效近似。
这种近似仅在理想溶液中有效,因为成分之间的吸引力可以补偿由尺寸不匹配引起的晶格参数线性偏差。

XRD如何分析掺杂?

衍射峰位移是判断掺杂原子是否进入晶格的最直接、最常用的方法。根据布拉格定律,衍射角(2θ)与晶面间距(d)成反比。当掺杂导致晶格常数发生变化时,晶面间距d随之改变,从而引起衍射峰向特定方向移动。
向低角度偏移表明晶面间距增大,对应于晶格膨胀,通常发生在掺入的原子半径大于被取代的主体原子半径时。

图7 CuO和不同浓度的Cu掺杂纳米晶ZnO、无掺杂ZnO的XRD图。DOI:10.4236/msa.2012.38077
在较低的掺杂浓度下可以成功掺杂,形成固溶体,超过固溶极限时主体晶格无法容纳过多的掺杂离子,会在主体晶格外生成新的物质,发生相分离。
如下图,对于铜掺杂浓度分别为18 at%和23 at%的样品,在其相应的XRD图谱中出现了标有(*)的CuO晶体结构的(111)晶面衍射峰。这表明Cu离子的过量掺杂致使相分离发生,该体系中Cu掺杂ZnO样品的掺杂极限低于18 at%的Cu浓度。

图8 不同浓度的Cu掺杂纳米晶ZnO的XRD图。DOI:10.4236/msa.2012.38077
XRD衍射峰的展宽主要由仪器因素、晶粒尺寸和微观应变共同决定。在扣除仪器展宽后,峰宽的增加通常归因于两个主要因素:晶粒尺寸减小和微观应变增加。
一方面,掺杂元素有时会抑制晶粒长大,导致晶粒细化,从而使XRD峰变宽。另一方面,掺杂原子与主体原子在尺寸和电负性上的差异会引起晶格畸变,产生微观应力场。这种不均匀的晶格畸变会导致衍射峰展宽。

图9 (a)Ti掺杂ZnO的XRD图(b)(002)晶面对应衍射峰的放大图。DOI:10.1063/5.0190066
上图中,基本晶体理论提出(002)晶面表现出最小的表面能,因此有利于沿该平面生长ZnO晶体。没有检测到与Ti、其氧化物或任何其他杂质或次生相相关的额外峰,这表明Ti离子的有效替代掺杂进入了ZnO晶格中。
(002)峰强度的减小表明了择优取向倾向的减少。随着Ti浓度的增加,(002)峰的半高宽(FWHM)也有所增加。除了仪器扩展效应外,XRD峰的扩展还可能由于微应变和小晶粒尺寸引起的。微应变是由于晶体晶格中的局部缺陷引起的。

XRD如何与其他表征技术联用?

拉曼:对于掺杂导致的局部结构畸变(如氧空位、金属氧键伸缩)表现为特征峰位或强度变化,可与XRD的宏观晶格变化对应验证。下图中,随着La浓度从0%增加到0.5%,E(4TO)峰发生轻微偏移,这表明存在晶格畸变。

图10 PLZT薄膜的拉曼光谱。http://scholarcommons.usf.edu/etd/7037
XPS(X射线光电子能谱):XRD给出整体晶体结构,XPS揭示掺杂元素的氧化态或表面富集情况,帮助判断是否真正进入晶格或仅停留在表面。
TEM/SEM+EDS:直接观察掺杂离子在晶粒内部或界面上的分布,验证XRD推断的固溶或析出相。
XAFS:当XRD只能给出平均晶格信息时,X射线吸收谱提供原子尺度的配位数、键长信息。
【高端测试 找华算】
华算科技是专业的科研解决方案服务商,精于高端测试。拥有10余年球差电镜拍摄经验与同步辐射三代光源全球机时,500+博士/博士后团队护航,保质保量!
🏅已助力5️⃣0️⃣0️⃣0️⃣0️⃣➕篇科研成果在Nature&Science正刊及子刊、Angew、AFM、JACS等顶级期刊发表!

