
能带结构通常通过“能带图”或“E-k图”来表示,它描述了电子的能量(E)与其波矢(k)之间的色散关系。
波矢k代表电子在晶格中的准动量,其取值范围被限制在“第一布里渊区”的倒易空间区域内。E-k图揭示了电子在晶格的不同方向上运动时所允许的能量状态,是分析材料电子学和光学性质最直观的工具。

图1 SnTe{001}表面态的能带图DOI:10.1038/ncomms1969

能带理论的出发点是单个孤立原子的电子能级。当大量原子(例如,阿伏伽德罗常数级别)规则地排列形成晶体时,原有的物理图像发生了根本性改变。
从离散原子能级到连续能带
在单个孤立的原子中,电子被束缚在原子核周围,其能量状态是量子化的,表现为一系列离散的能级。然而,当原子聚集形成固体晶格时,一个原子的外层电子会感受到来自相邻原子的势场影响。这种原子间的相互作用导致原本简并(能量相同)的原子能级发生分裂。
根据量子力学,当N个原子相互靠近时,每一个离散的原子能级会分裂成N个非常接近的能级。在宏观固体中,N是一个巨大的数字,这N个分裂后的能级能量差变得极小,以至于它们在能量上形成了一个准连续的能量范围,这个范围就是“能带”。

图2 随着原子数量的增加,从单独轨道(离散能级)到固体晶格材料能带。
能带图中间隙的形成
当两个原子的外层电子足够接近时,它们的状态会因相互作用而发生能量转移。这种现象导致了键合态和反键态的形成,其中键合态的能量降低,而反键态的能量增加,未被能量转移的态被称为非键合态。当N个原子相互靠近形成固体时,这些键合、反键和非键合状态形成了带隙。

图3 (a)原子轨道通过轨道重叠形成(b)分子能带的演变过程。轨道重叠导致固态体中形成能带(价带;导带)。价带和导带之间可能被带隙分隔,该区域不存在任何电子态。

Bloch定理与周期性势场
布洛赫定理假设晶体是无限的、均匀的,并且除了Pauli排斥作用外,电子之间没有相互作用。
布洛赫定理(Bloch’s Theorem):在周期性势场(由排列整齐的原子核提供)V(r)=V(r+R)(R为晶格矢量)中,单电子Schrödinger方程的解具有特殊形式:

它是一个平面波eik·r与一个具有晶格周期性的函数uk(r)的乘积,其中k为波矢。Bloch函数中的uk(r)满足与势场相同的周期性,即uk(r+R)=uk(r)。这意味着电子波函数是一个被晶格周期调制的平面波,即波的参数(如振幅)进行变化的平面波。

图4 单层FeSe/SrTiO3在不同磁序下自旋的能带图。DOI:10.1088/1367-2630/16/3/033034
该定理的一个直接结论是,能量本征值E(K)在倒易空间中呈现周期性重复,即En(K+G)=En(K),其中G为倒格矢。
因此,能带结构En(K)通常被约束在第一布里渊区等简约区内进行描述,单位晶格的倒易晶格被称为第一布里渊区,这被称为简约布里渊区图式。按照惯例,布里渊区内的点用希腊字母表示,而边界上的点使用拉丁字母表示。

图5 SnTe(a)晶体结构和(b)布里渊区。DOI:10.1038/ncomms1969
下图为一维原子链的电子能带结构,其中晶格常数为a,其色散形式为:

虚线表示在没有周期性势场的情况下,以k=0,±2π/a为中心的重复抛物线,表示为在势阱中粒子的薛定谔方程解,由能量本征值给出。
实线表示由于非零傅里叶系数(UG)导致的布里渊区边界(±π/a)附近能带分裂的情况。对于一个几乎自由的电子,在恒定势场中,能量和动量可以同时守恒,这可以通过添加一个倒易晶格向量G来实现。

图6(a)和(b)显示了具有周期性a的一维周期晶格在k空间中电子能带色散的简单示意图。
布洛赫定理极大地简化了问题,将原本需要求解N个电子的复杂问题,转化为了在第一布里渊区内求解不同波矢k对应的电子能量E(K)的问题。
周期性势场导致的波函数干涉
能带在简约区内呈现出的“波浪”状色散关系,其物理根源在于晶格势场对电子波的散射,特别是在布里渊区边界处,这种散射会导致能级劈裂和能隙的形成。
当电子波在晶格中传播时,会在每个原子位置发生散射。当波矢满足布拉格条件K=1/2G(即布里渊区边界)时,前向波与后向散射波发生相长干涉,形成驻波。两种驻波模式(波腹位于原子核位置和波节位于原子核位置)具有不同的势能期望值,导致能量分裂形成能隙。

图7 原子势的变化改变了色散(能量–波矢关系),这可能导致在Γ点或一维情况下的带边缘k=±1/2G处出现能隙。

价带、导带与禁带(能隙)
根据电子的填充情况,能带被分为几类关键区域:
价带(Valence Band):在绝对零度下,被价电子完全填满的能量最高的能带。价带中的电子通常不参与导电。
导带(Conduction Band):位于价带之上,在绝对零度下通常是空的或部分填充的最低能带。当电子被激发到导带后,它才能在晶体中自由移动,形成电流。
禁带或能隙(Band Gap):位于价带顶和导带底之间的一个能量区间,在这个区间内不存在任何允许的电子态。禁带的宽度(Eg)是决定材料电学性质的关键参数。

图8 (a)硼化物(P6m2)和(b)氧化铋(P4/nmm)单层的最高价带结构和最低导带。费米能被设定为零。DOI:10.1016/j.cpc.2021.108033
绝缘体、半导体、导体
绝缘体:具有很宽的禁带(通常>3 eV),价带被完全填满,导带完全为空。电子很难从价带跃迁到导带。
半导体:禁带宽度较窄(通常0.1-3 eV),在室温下,部分电子可以通过热激发从价带跃迁到导带,从而具有一定的导电能力。
导体:没有禁带,导带与价带发生重叠,或者最高填充能带没有被完全填满。存在大量自由电子,因此导电性极好。

图9 绝缘体、导体和半导体中的轨道能带
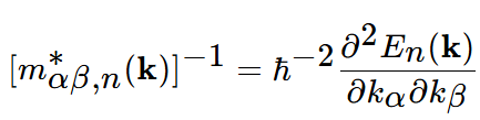
载流子有效质量
在晶体周期性势场中运动的电子,其行为不同于在真空中运动的自由电子。为了简化描述,引入了“有效质量”(Effective Mass,m*)的概念。有效质量反映了能带的弯曲程度,它可以通过能量E对波矢k的二阶导数来计算:

n是能带指数,K是电子波矢量,α和β是笛卡尔方向(x,y和z),而ℏ是约化普朗克常数。
能带越平坦(曲率越小),有效质量越大;能带越陡峭(曲率越大),有效质量越小。有效质量是决定载流子迁移率、电导率和态密度等关键输运性质的重要参数。

图10 不同有效质量能带图
费米能级
费米能级是在绝对零度时电子占据的最高能级。费米能级相对于能带的位置决定了材料的导电性质。费米面就是能量等于费米能级的等能面。

图11 在金属中,费米能级位于一个能带内。在半金属中,价带和导带在费米能级处略有重叠(I)或没有(II)。在半导体(以及绝缘体)中,费米能级位于一个能量间隙内。https://theses.hal.science/tel-01900468v1

图12(a)Cu的费米表面(b)Cu-s态、(c)Cu-p态和(d)Cu-d态的轨道分辨费米表面分别用FermiSurfer软件包可视化,颜色表示各态的权重。DOI:10.1016/j.cpc.2021.108033
态密度
单位能量间隔内的量子态数目,是连接能带结构与宏观物理量的桥梁。

图13(a)BiClO(P4/nmm)和(b)石墨烯单层的投影能带结构(左面板)和态密度(右面板)。费米能级设为0 eV。DOI:10.1016/j.cpc.2021.108033

角分辨光电子能谱(ARPES)
这是目前最直接、最强大的探测体相和表面能带结构的实验技术。其原理基于光电效应:用一束单色光子(通常是紫外或X射线)照射样品,使电子被激发出来。
通过同时测量出射电子的动能和角度,可以反推出电子在离开晶体前在材料内部的能量和准动量(k矢量),从而直接绘制出E-k能带色散关系图。

图14 (a)用于ARPES测量的二维探测器的示意图,显示了光电子随不同动能和发射方向的不同轨迹。(b)方向K和Г(c)垂直于K和Г的方向的布里渊区中的狄拉克锥。
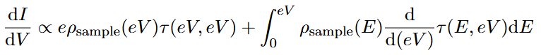
扫描隧道显微镜(STM)
STM能够提供原子级分辨率的表面形貌图像。而通过扫描隧道谱(STS)技术,即测量隧穿电流随偏压的变化(dI/dV),可以获得与样品表面局域电子态密度(LDOS)成正比的谱图。

通过分析STS谱,可以精确确定表面能隙的大小、费米能级位置以及杂质或缺陷引入的局域电子态。

图15 STM得到三维的数据集:两个空间维度(x,y)和能量E。(b)形貌(c)dI/dV映射(d)I/V谱:在单个点上测量样品表面的电流与偏压电压的关系。(e)dI/dV谱:在样品表面沿一条线上的多个点测量状态密度与能量的关。
【高端测试 找华算】
华算科技是专业的科研解决方案服务商,精于高端测试。拥有10余年球差电镜拍摄经验与同步辐射三代光源全球机时,500+博士/博士后团队护航,保质保量!
🏅已助力5️⃣0️⃣0️⃣0️⃣0️⃣➕篇科研成果在Nature&Science正刊及子刊、Angew、AFM、JACS等顶级期刊发表!

