如何分析能带?基本理论、表征方法到调控策略!

说明:文章华算科技系统梳理了能带的形成、定义及三大核心公式,逐一展示紫外可见漫反射光谱、Mott-Schottky、XPS价带谱、PL与DFT、COHP等实验-计算手段,最后汇总了掺杂异质结、量子限制等能带调控策略。
 
如何分析能带?基本理论、表征方法到调控策略!

什么是能带?

如何分析能带?基本理论、表征方法到调控策略!
 
能带结构描述的是晶体中电子的能量(E)与其准动量(用波矢 k 表示)之间的依赖关系,即 E-k 关系。
在自由空间中,电子能量与动量呈连续的平方关系,但在原子规则排列的晶体中,电子会受到周期性势场的影响,能量不再连续取值,而是被限制在一系列允许的能量区间内,这些区间就是 “能带”。
能带的形成根源是原子结合成晶体时,电子轨道的相互作用
如何分析能带?基本理论、表征方法到调控策略!

g-C3N4 的结构与能带工程调控策略。10.1002/cey2.596

 

 
如何分析能带?基本理论、表征方法到调控策略!

能带的关键分类

如何分析能带?基本理论、表征方法到调控策略!
 
价带(Valence Band):
能量较低且被价电子(原子最外层电子)完全填满的能带,电子处于稳定的 “基态”。这些电子被化学键束缚,无法自由移动,价带本身不具备导电能力。
光激发或能量注入后,价带电子会跃迁至导带,同时在价带中留下带正电的 “空穴”(h⁺),空穴的移动是 p 型半导体导电的核心机制。
导带(Conduction Band):
能量高于价带的空能带(热力学平衡下),电子跃迁至此处后摆脱化学键束缚,可在晶体中自由移动,是导电与还原反应的核心载体。
导带的最低能量点(CBM)决定电子的还原能力:CBM 电位越负,电子能量越高,越容易将反应物还原(如 O₂→H₂O₂)。
如何分析能带?基本理论、表征方法到调控策略!

DOI: 10.1016/j.cpc.2021.108033

禁带(Band Gap):
价带顶(VBM)与导带底(CBM)之间的能量空白区,电子无法在此处存在,其宽度(单位:eV)是区分材料类型的关键。
导体无禁带(价带与导带重叠),绝缘体禁带宽度>5 eV,半导体禁带宽度介于 0.1-4 eV,兼具可调控性与反应活性。
 
如何分析能带?基本理论、表征方法到调控策略!

能带的核心公式

如何分析能带?基本理论、表征方法到调控策略!
 
 
 
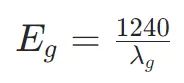
1. 禁带宽度与光吸收波长的关系
 
 
半导体的禁带宽度(Eg,单位:eV)与最大吸收波长(λg,即 “吸收边”,单位:nm)满足:
如何分析能带?基本理论、表征方法到调控策略!
推导逻辑:光子能量(Eₕᵥ = hc/λ,h 为普朗克常数,c 为光速)需≥E₉,代入 h=6.626×10⁻³⁴ J・s、c=3×10⁸ m/s,换算单位后可得此简化公式。
物理意义:通过测量材料的吸收边 λg,可直接计算 Eg
例如:吸收边为 460 nm 的材料,其 Eg=1240/460≈2.7 eV(可见光响应范围)。
如何分析能带?基本理论、表征方法到调控策略!
光催化过氧化氢。10.1002/cey2.596
 
 
 
2. 能带电位与 pH 的关系(能斯特方程)
 
 
半导体的能带边电位(CBM/VBM)并非固定值,会随溶液 pH 变化,关系为:
如何分析能带?基本理论、表征方法到调控策略!
参数说明:E⁰为 pH=0 时的标准能带电位(单位:V vs. NHE),0.059 为 25℃下的能斯特系数(单位:V/pH)。
物理意义:中性条件(pH=7)下,能带电位会比 pH=0 时降低 0.059×7≈0.41 V。
例如:pH=0 时 CBM 为 – 1.33 V 的材料,在 pH=7 时 CBM 变为 – 1.74 V,还原能力显著增强。
 
 
 
3. 能带边电位的推导公式
 
 
通过实验测得半导体的 “平带电位”(EfbMott-Schottky 曲线可测)后,可推导 CBM 与 VBM:
对 n 型半导体(多数载流子为电子,如常见的光催化剂):
如何分析能带?基本理论、表征方法到调控策略!
低温下 kT/q≈0.026 V,可近似认为 ECBM≈Efb);
结合禁带宽度 Eg,可进一步推导 VBM:
如何分析能带?基本理论、表征方法到调控策略!
物理意义:无需直接测量 VBM,通过 Efb与Eg即可间接获取完整的能带边电位数据,是实验中常用的定量方法。
 
如何分析能带?基本理论、表征方法到调控策略!

如何分析能带?

如何分析能带?基本理论、表征方法到调控策略!
 
要精准获取材料的能带参数(Eg、CBM、VBM)并理解其调控机制,需结合实验表征与理论计算,两者互为补充。
 
 
 
1. 实验表征:直接测量能带参数
 
 

紫外可见漫反射光谱(DRS)+ Tauc 图   

 
核心用途: 测定禁带宽度 Eg
原理简述:材料对不同波长光子的吸收强度与电子跃迁能量相关,只有光子能量≥E₉时,价带电子才能跃迁至导带,表现为吸收强度的显著上升(吸收边)。通过 DRS 获取吸收曲线后,结合 Tauc 关系可定量计算 Eg
应用案例:纯 g-C₃N₄的 DRS 曲线显示吸收边约 460 nm,Tauc 图线性外推得 Eg=2.77 eV;C/O 共掺杂后,吸收边红移至 550 nm,E₉降至 2.57 eV,直接证实掺杂对禁带宽度的调控效果。
如何分析能带?基本理论、表征方法到调控策略!
10.1002/cey2.596

Mott-Schottky 曲线 

 
核心用途: 测定平带电位 Efb,推导 CBM   
原理简述:测量不同偏压下半导体的电容变化,绘制电容倒数平方与偏压的关系曲线(Mott-Schottky 图),线性部分外推至横轴,交点即为 Efb
如何分析能带?基本理论、表征方法到调控策略!
10.1002/anie.202512603

X 射线光电子能谱(XPS)价带谱  

 
核心用途:直接测定 VBM 
原理简述:X射线激发样品表面价层电子,电子的结合能(Ebinding)与能级位置相关。价带顶(VBM)是价带中电子的最高能量位置,对应 XPS 价带谱中信号强度开始显著上升的结合能值。
如何分析能带?基本理论、表征方法到调控策略!
10.1002/anie.202518797

光致发光光谱(PL)   

 
核心用途:间接反映能带连续性与载流子复合
原理简述:光激发下,价带电子跃迁至导带形成激发态,激发态电子的弛豫过程包括辐射复合(释放光子,形成 PL 信号)与非辐射复合(无光子释放)。PL 峰强度、峰位、峰宽直接反映载流子复合效率与能带结构特征
如何分析能带?基本理论、表征方法到调控策略!

10.1002/anie.202408653

 
 
 
2. 理论计算:揭示能带调控机制
 
 
理论计算可突破实验表征的局限,从电子轨道、电荷分布层面解析能带形成与调控机制,其中密度泛函理论(DFT)是最成熟、应用最广泛的工具,常用软件包括 VASP、Gaussian、CASTEP 等。

能带结构计算

 
核心功能:优化材料晶体结构(晶格常数、键长、层间距)后,求解薛定谔方程得到 E-k 关系(能带图)与态密度(DOS),明确 Eg、CBM/VBM 位置,以及价带 / 导带的电子轨道构成
如何分析能带?基本理论、表征方法到调控策略!

DOI:10.1021/jacs.7b04119

电荷分布分析

 
核心功能:通过计算调控前后(如掺杂、缺陷引入、异质结形成)的电荷密度差,直观展示电子的转移方向、聚集区域与转移量,解释 CBM/VBM 偏移的微观机制。
如何分析能带?基本理论、表征方法到调控策略!
10.1002/cey2.596

反应能垒计算

 
核心功能:结合能带参数,计算目标反应(如 O₂→H₂O₂、H₂O→・OH)的吉布斯自由能变化(ΔG)与反应能垒(Ea),判断能带调控是否降低反应能垒、提升热力学可行性。
应用案例:下图为Ni 单原子掺杂 g-C₃N₄的 DFT 计算,结果显示,O₂还原为 H₂O₂的反应能垒从纯相的 0.99 eV 降至 0.35 eV,原因是 Ni 3d 轨道与 O 2p 轨道强耦合,使 CBM 电位从 – 1.33 V 降至 – 1.53 V,增强了电子向 O₂的转移能力,降低了・OOH 中间态的形成能垒。
如何分析能带?基本理论、表征方法到调控策略!
10.1002/cey2.596
 
如何分析能带?基本理论、表征方法到调控策略!

能带的调控策略

如何分析能带?基本理论、表征方法到调控策略!
 
 
 
 
掺杂调控
 
 
非金属掺杂:在半导体晶格中引入异质原子,其外层电子会与主体原子的电子轨道重叠,在禁带中形成 “杂质能级”,降低电子跃迁所需能量缩小 Eg;同时,异质原子的电负性差异会改变能带边电位
金属掺杂:金属离子的 d 轨道可与主体的价带 / 导带轨道耦合,不仅缩小 Eg,还能通过电荷转移提升载流子分离效率
如何分析能带?基本理论、表征方法到调控策略!
10.1002/cey2.596
案例解析:上图为非金属(C/O)共掺杂对 g-C3N能带与光吸收的调控,通过前驱体改性实现 C/O 共掺杂,UV-Vis DRS 显示Eg降低,吸收范围扩展,可见光利用率提升 30%;XPS 价带谱与 Mott-Schottky 曲线证实,VBM 升高,CBM降低,还原能力增强。
 
 
 
异质结构建
 
 
将两种或多种半导体复合,通过 “能带对齐” 实现性能提升,常见类型包括:
Type-II 异质结:两种半导体的导带 / 价带呈交错分布,电子与空穴分别转移至不同半导体的导带 / 价带,实现空间分离(抑制复合);
Z 型异质结:两种半导体的导带 / 价带部分重叠,仅低能量的电子 – 空穴对复合,保留高能量的电子(强还原)与空穴(强氧化),同时抑制复合;
肖特基结:半导体与金属(或金属碳化物)复合,金属的费米能级低于半导体的 CBM,电子从半导体转移至金属后被 “捕获”,无法回流(显著提升载流子分离效率)。
如何分析能带?基本理论、表征方法到调控策略!
Z 型异质结(Cd₀.₆Zn₀.₄S/UCN)的能带对齐与载流子分离。10.1002/cey2.596
案例解析:上图构建了 Z 型异质结,Cd₀.₆Zn₀.₄S 的 CBM与 g-C3N4 的 VBM能量相近,光激发后两者的低能量电子-空穴对复合,保留 g-C3N4的 CBM 与 Cd₀.₆Zn₀.₄S 的 VBM,通过能带对齐实现了性能提升。
 
 
 
形态与缺陷调控
 
 
当材料尺寸缩小至 “玻尔激子半径” 以下(如纳米片、量子点)时,电子的运动空间被限制,导致能级分裂加剧 —— 即 “量子限制效应”。
表现为 Eg宽化,吸收边蓝移;同时,CBM 会更负、VBM 会更正,增强电子还原能力与空穴氧化能力,适用于需要强反应活性的场景。
如何分析能带?基本理论、表征方法到调控策略!
形态控制对 g-C3N4 能带与反应路径的影响。10.1002/cey2.596
如何分析能带?基本理论、表征方法到调控策略!

总结

如何分析能带?基本理论、表征方法到调控策略!
能带是连接材料微观结构与宏观性能的桥梁,只有深入理解能带的核心规律,才能针对性设计调控策略,突破材料性能瓶颈。
对光催化、电子器件等领域而言,能带工程仍是未来材料开发的核心方向。通过更精准的分子设计、更精细的界面调控,有望实现能带参数的按需定制,推动更多高性能材料从实验室走向工业化应用。

🏅 华算科技提供专业的第一性原理、分子动力学、生物模拟、量子化学、机器学习、有限元仿真等代算服务。

🎯500+博士团队护航,累计助力5️⃣0️⃣0️⃣0️⃣0️⃣➕篇科研成果,计算数据已发表在Nature & Science正刊及大子刊、JACS、Angew、PNAS、AM系列等国际顶刊。 👏👏👏

声明:如需转载请注明出处(华算科技旗下资讯学习网站-学术资讯),并附有原文链接,谢谢!
(0)
上一篇 2025年11月6日 下午3:17
下一篇 2025年11月27日 下午2:28

相关推荐