说明:本文华算科技讲解了 Tafel 曲线的定义、核心原理、公式推导,以及通过斜率、交换电流密度揭示反应机理、量化动力学速率、评估催化剂活性等核心价值,还结合 HER 和 ORR 反应给出实例,助力相关催化与电极反应研究。
Tafel曲线是描述电极反应中电流密度(j)与过电位(η)之间对数关系的曲线,本质是极化曲线中受“电荷转移控制”的线性区段。
首先明确两个核心概念:电流密度(j)是单位电极面积上的反应电流,直接反映电极反应的速率;过电位(η)是实际电极电位与平衡电极电位的差值,代表驱动反应发生所需的“能量代价”。
当电极反应速率由电荷转移步骤决定时,电流密度与过电位的对数呈现线性关系,这一线性部分及其对应的数学表达式,共同构成了Tafel曲线的核心定义。

图1: Tafel 曲线。电极反应在电荷转移控制区时,过电位η 与电流密度 j 的对数 log j 呈现线性关系(线性拟合段所示);低过电位区因传质或扩散受限不会进入此线性区。DOI:10.1021/acsenergylett.4c00266
需要注意的是,Tafel曲线并非覆盖整个极化范围。低过电位区时,电极反应受扩散传质或其他步骤控制,电流密度与过电位呈指数关系而非线性;只有当过电位足够大(通常|η|≥50mV),电荷转移步骤成为反应的速率控制步骤时,Tafel线性关系才会显现。
这一特性也决定了Tafel曲线的适用边界——仅用于分析电荷转移主导的电化学动力学过程。
要理解Tafel曲线,需先掌握电化学动力学的核心逻辑:电极反应的本质是电荷在电极与反应物之间的转移过程,这一过程的难易程度直接决定了反应速率。
电极反应通常包含多步基元反应(如吸附、电荷转移、脱附等),其中速率最慢的步骤即为“速率控制步骤”(RDS)。Tafel曲线对应的场景,正是电荷转移步骤成为速率控制步骤的情况——此时反应速率完全由电荷跨越电极/电解质界面能垒的过程决定,与扩散、吸附等其他步骤无关。
以电催化析氢反应为例,Volmer、Heyrovsky 与 Tafel 步依次对应吸附–电荷转移–产物脱附等基元过程。不同基元作为速率控制步骤(RDS)时,会改变宏观 Tafel 斜率及电极反应的表观动力学参数,体现电荷转移步骤在多步电极反应中的核心控制作用

图2:酸性和碱性电解质中e-转移涉及电催化析氢机制的示意图。提出了典型的volmer – heyrovsky机制和Volmer-Tafel机制,它们在制氢步骤上有所不同。DOI:10.1016/j.jechem.2022.02.010
平衡状态下,电极的阳极反应速率与阴极反应速率相等,净电流密度为零。当施加外电场时,电极电位偏离平衡电位(即产生过电位η),会打破这一平衡:
对于阴极反应(还原反应),负的过电位(η)会降低电荷转移的能垒,加速还原反应,净电流密度为阴极电流密度(jc);
对于阳极反应(氧化反应),正的过电位(η>0)会促进氧化反应的电荷转移,净电流密度为阳极电流密度(ja)。
当过电位足够大时,反向反应的速率可忽略不计,净电流密度近似等于正向反应的速率。此时,电流密度与过电位的关系不再是指数关系的全貌,而是呈现出线性的对数关系——这就是Tafel曲线的本质原理。
图3中给出了 Butler–Volmer 方程所描述的完整极化曲线以及由其导出的 Tafel 线性区,展示了电流密度j与过电位η的指数/对数关系。
在低过电位区,正反向电荷转移速率可比,净电流接近于零;在较大正/负过电位下,反向反应速率可以忽略,阳极或阴极单向电流主导,η与 logj呈线性关系,对应电荷转移控制下的Tafel区。

图3:Butler–Volmer 方程与 Tafel 曲线中电流密度–过电位关系示意图。DOI:10.1002/elsa.202260002
Tafel公式的推导核心是基于描述电极反应动力学的基础方程——Butler-Volmer方程,通过合理近似得到简化的线性表达式。
Butler-Volmer方程是描述电极反应电流密度与过电位关系的普适性方程,其表达式为:

其中各参数含义如下:
j:净电流密度(A·cm⁻²);
j₀:交换电流密度(A·cm⁻²),反映平衡状态下电荷转移的固有速率;
αₙ、αₚ:分别为阴极反应和阳极反应的传递系数(无量纲),取值范围0~1,反映过电位对反应速率的影响程度;
F:法拉第常数(约96485 C·mol⁻¹);
R:气体常数(约8.314 J·mol⁻¹·K⁻¹);
T:热力学温度(K);
η:过电位(V),η = E – Eeq(E为实际电极电位,Eeq为平衡电极电位)。
传递系数αₙ和αₚ满足关系:αₙ + αₚ = n(n为反应转移的电子数),多数情况下αₙ≈αₚ≈0.5,这是电极反应动力学中常见的近似条件。

图4:高过电位近似下的电极反应动力学图示。DOI:10.1515/pac-2014-5026
当过电位足够大(|η|≥50mV)时,Butler-Volmer方程中的两项可以忽略一项:
阴极反应(η,且|η|较大):第二项(阳极反应项)的指数为正值且数值较大,导致该项可忽略,方程简化为:

阳极反应(η>0,且η较大):第一项(阴极反应项)的指数为负值且绝对值较大,导致该项可忽略,方程简化为:

对简化后的方程两边取十进制对数(或自然对数),即可得到线性关系:
(1)阴极反应(ηc = |η|)

令bc = 2.303 RT / (αₙ F),则公式可改写为:

这是阴极Tafel曲线的表达式,其中bc为阴极Tafel斜率。
(2)阳极反应

令ba= 2.303 RT / (αₚ F),则:

这是阳极Tafel曲线的表达式,其中ba为阳极Tafel斜率。
Tafel曲线的价值不仅在于“画一条线”,更在于通过其关键参数(Tafel斜率b、交换电流密度j₀、截距等),揭示电极反应的深层科学问题。
量化反应动力学速率:交换电流密度j₀
交换电流密度j₀是Tafel曲线在η=0时的电流密度,反映了电极反应在平衡状态下的固有电荷转移速率,是评估电极/催化剂活性的核心指标:
j₀越大,说明平衡状态下电荷转移越容易,反应的本征动力学速率越快;相同过电位下,j₀大的体系对应的净电流密度更大,反应速率更快。
图中以多种金属催化剂为例,将 logj₀绘于其氢吸附自由能(ΔGH∗)或金属H 键能之上,实现“火山图”形式。该图清晰表明:在平衡状态下(η = 0 V)电荷转移固有速率 (j₀) 越大,催化剂活性越强。

图5:交换电流密度j₀与催化剂活性关联示意图。DOI:10.1039/D2RA07642J
揭示反应机理:Tafel斜率b
Tafel斜率的数值直接与电荷转移步骤的反应路径相关,不同机理对应特征性的斜率范围(常温下):
若b≈118 mV/dec:通常对应单电子转移步骤为速率控制步骤(如HER反应中“Volmer步骤”主导,即H⁺ + e⁻ → Hads);
若b≈59 mV/dec:通常对应双电子转移或两步反应中第二步为速率控制步骤(如HER反应中“Heyrovsky步骤”主导,即Hads + H⁺ + e⁻ → H₂);
若b≈39 mV/dec:常见于多步反应或吸附–脱附平衡后的电荷转移步骤(如某些氧还原反应的机理)。

图6:典型 Tafel 斜率与反应机理对应示意图。DOI:10.1038/srep13801
通过测量Tafel斜率,可快速排除不合理的反应路径,锁定速率控制步骤的本质。
评估催化剂的活性与效率
对于电催化反应(如HER、ORR、OER等),Tafel曲线是评估催化剂性能的核心工具:
相同电流密度下,Tafel斜率越小的催化剂,所需过电位越低,能量损耗越小;对比不同催化剂的Tafel曲线,可直接判断其动力学优势——斜率更小、j₀更大的催化剂,催化活性更优。
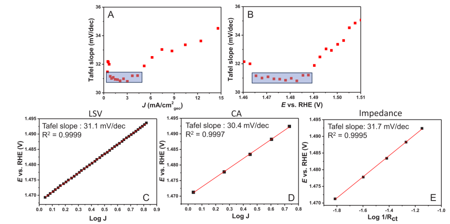
在相似条件下,Tafel 斜率越小且交换电流密度j0越大,催化剂反应动力学越优。图7 (b) 展示了几种催化剂在 HER 或 OER 体系中的 Tafel 曲线拟合段,不同催化剂中 Tafel 斜率 b 值差异明显;图 (c) 显示同催化剂在不同测量方法(LSV、CA、EIS)下得到的 b 值对比。

图7:不同电催化剂活性参数比较示意图。DOI:10.1039/C7EE03457A
此外,Tafel曲线的线性范围和拟合度,还能反映反应是否受单一速率控制步骤支配,若线性关系不佳,可能意味着反应存在多步控制或传质干扰。
分析电极界面的电子转移特性
Tafel斜率与传递系数α直接相关,而α反映了过电位对电荷转移能垒的影响程度:
α越接近0.5,说明过电位对阳极和阴极反应的能垒调控作用对称;
α偏离0.5越大,说明过电位对某一方向反应的促进作用更显著。
这一特性可用于分析电极表面的电子结构、吸附态物种与电极的相互作用——例如,若催化剂表面对反应中间体的吸附过强,可能导致传递系数偏移,进而使Tafel斜率发生变化。
图8中比较了两种不同结构的 Co₃O₄ 基电极的 Tafel 斜率(112 mV/dec vs 84 mV/dec),反映出界面电子耦合/传递效率差异对斜率的显著影响。

图8:电极界面电子转移特性与 Tafel 斜率 b 的关联示意图。DOI:10.3389/fchem.2022.919192
为了更直观理解Tafel曲线的应用,下面以电化学领域最经典的两大反应——氢析出反应(HER)和氧还原反应(ORR)为例,结合实验数据展开分析。
析氢反应(HER)的Tafel曲线分析
HER是电解水制氢、燃料电池等领域的核心反应,其反应过程在酸性介质中通常包含三步:
Volmer步骤(电荷转移):H⁺ + e⁻ → Hads(吸附氢生成);
Heyrovsky步骤(电荷转移+脱附):Hads + H⁺ + e⁻ → H₂;
Tafel步骤(脱附):Hads + Hads → H₂。
其中,Volmer步骤、Heyrovsky步骤为电荷转移步骤,Tafel步骤为脱附步骤,三者中速率最慢的即为速率控制步骤。

图9:HER在酸性/碱性介质中的经典机理示意图。DOI:10.1039/D1RA02240G
氧还原反应(ORR)的Tafel曲线分析
ORR是燃料电池、金属–空气电池的阴极核心反应,反应过程复杂(多电子转移),在碱性介质中总反应为:O₂ + 2H₂O + 4e⁻ → 4OH⁻。其可能的速率控制步骤包括O₂吸附、O-O键断裂、电子转移等。
采用微观动力学模型模拟 ORR 在不同假定速率控制步骤下的 Tafel 曲线,可见 120、60 与 40 mV·dec⁻¹ 等不同 Tafel 斜率对应不同的界面电子转移与表面中间体转化步骤,直观体现多步 ORR 机理中速率控制步骤对 Tafel 曲线形貌与斜率的控制作用。

图10:氧还原反应中不同速率控制步骤对应的 Tafel 行为示意。DOI:10.1038/srep13801
【高端测试 找华算】
华算科技是专业的科研解决方案服务商,精于高端测试。拥有10余年球差电镜拍摄经验与同步辐射三代光源全球机时,500+博士/博士后团队护航,保质保量!
🏅已助力5️⃣0️⃣0️⃣0️⃣0️⃣➕篇科研成果在Nature&Science正刊及子刊、Angew、AFM、JACS等顶级期刊发表!

