说明:本文华算科技系统梳理了电化学阻抗谱(EIS)的原理、数学基础、等效电路模型、数据验证与完整分析流程,并展示其在电池、燃料电池、腐蚀科学等多领域的丰富应用。
电化学阻抗谱(EIS)是一种通过向电化学系统施加一个微小幅度的正弦交流信号(电压或电流),并测量其在很宽频率范围(通常从毫赫兹mHz到兆赫兹MHz)内的响应,从而获得系统复阻抗随频率变化关系的技术。

图1 获取EIS测量所需的步骤。DOI:10.1038/s43586-021-00039-w
与仅测量电阻的直流(DC)技术不同,EIS能够提供更为丰富的信息。它测得的“阻抗”(Z)是一个复数,包含了实部(电阻)和虚部(电抗),以及它们之间的相位关系。这使得EIS能够区分和研究发生在电极/电解质界面上的多种物理化学过程,例如电荷转移、离子扩散、双电层充电、物质吸脱附等。

图2 描述三电极系统中发生的氧化还原反应的简化等效电路拟合(Rct是电荷传递电阻,Rs是电解质电阻,Cdl是双层电容)
复阻抗的通用表达式
根据欧姆定律的扩展,在交流电路中,阻抗Z(ω)定义为频率响应函数中电压相量V(ω)与电流相量I(ω)的比值:

Zr:实部阻抗;Zi:虚部阻抗,U:正弦电压;I:正弦电流;f:阻抗频率。其中,ω是角频率(ω=2πf),j是虚数单位。该式最终可以展开为笛卡尔坐标形式:

Z’(ω):阻抗的实部,代表系统的电阻性行为。Z”(ω):阻抗的虚部,代表系统的电抗性行为(电容性或电感性)。

图3 阻抗原理示意图
EIS数据通常用奈奎斯特图(Nyquist Plot)、波特图(Bode Plot)两种图形表示。
Nyquist图以Z’为横坐标,-Z”为纵坐标;Bode图为阻抗模量|Z|和相位角φ分别对频率f作图。Nyquist图适于展示传质与动力学行为。由于低频区域的大阻抗值决定了坐标轴的刻度范围,奈奎斯特图高频区域的谱图显示不清晰。此外,奈奎斯特图缺乏直接的频率–阻抗对应关系。
波特图(Bode)可呈现频率依赖特性,宽频率范围内的阻抗数据清晰可辨。

图4 Nyquist图(左)和Bode图(右)的电化学阻抗谱表示。DOI:10.33961/jecst.2019.00528
核心模型:Randles等效电路
为了将抽象的阻抗数据与具体的物理过程联系起来,研究者们开发了等效电路模型(ECM)方法。其中,Randles电路是最基础也最经典的ECM之一,它精确地描述了一个简单的平面电极/电解质界面体系。

图5 宽频率范围下的Randles等效电路。DOI:10.1021/acsmeasuresciau.2c00070
一个完整的Randles电路包含以下四个元件:
溶液电阻/欧姆电阻(Rs/RΩ/Ru):代表电极之间或工作电极与参比电极之间电解质的电阻。它是一个纯电阻,不随频率变化。
双电层电容(Cdl):描述电极/电解质界面处形成的双电层的储能特性,类似于一个微型电容器。
电荷转移电阻(Rct):描述电极表面发生法拉第反应(即电化学反应)时电子转移的阻力。Rct的大小与反应动力学速率直接相关,Rct越小,反应越快。
Warburg扩散元件(ZW):描述反应物向电极表面或产物从电极表面离开的传质(扩散)过程所遇到的阻力。这是一个频率依赖性元件,在低频区尤为显著。
数据有效性检验:Kramers-Kronig关系
获取的EIS数据并非总是有效的。实验中的噪声、仪器伪影或系统不稳定性都可能导致数据失真。Kramers-Kronig(K-K)关系是一套数学积分变换,它为验证EIS数据的有效性提供了强有力的工具。
K-K关系成立的前提是电化学系统满足四个基本条件:
线性:待测系统应具备线性特性,即输入与输出信号需包含相同频率成分。但如前所述,除非采用小幅度扰动信号,大多数电化学系统会呈现非线性行为。对于线性系统,使用不同小幅度扰动信号测量的阻抗结果应当一致,因为其阻抗值与所用信号幅度无关。

图6 (A)电化学系统对叠加在直流电压Vdc上的低幅值(Vo)正弦信号的响应示意图(B)扰动交流信号与响应交流信号之间相位差分别为0°、45°和90°时对应的李萨如图。DOI:10.1021/acsmeasuresciau.2c00070
因果性:系统输入信号与响应之间必须存在纯粹的因果关系,即系统响应应完全取决于所施加的扰动。
稳定性:稳定系统在未受外部影响时能保持稳定状态,且当扰动停止后应能恢复至原始状态。
有限性:系统的实部与虚部必须在整个频率范围(0)内具有有限值。这也意味着当频率ω趋近于零或无穷大时,阻抗必须趋近于一个恒定值。
满足这些条件的系统,其阻抗的实部和虚部是相互关联的,可以由一个推算出另一个。

Kramers-Kronig变换可用于检测电化学系统阻抗谱中的误差,其原理涉及对整个频率范围的数据进行积分,但是这在实际实验中是无法完全实现的。因此,研究人员开发了多种近似方法来评估阻抗谱是否符合Kramers-Kronig关系。
Boukamp提出采用具有固定时间常数分布的Voigt电路(即n个RC电路串联)来拟合阻抗谱,以近似真实电化学系统的行为。如果一个系统能被此电路良好地近似,则认为其满足Kramers-Kronig变换的条件。

图7 Voigt电路作为测量模型的示意图。DOI:10.1016/j.electacta.2020.136747
一个完整的EIS分析流程,是从获取原始数据开始,到最终提取出具有物理意义的参数为止。这个过程可以概括为以下几个关键步骤。
数据预处理与验证
频率范围选择:根据研究对象和目标过程,选择合适的测量频率范围。例如,研究快速的电荷转移需要测量到足够高的频率,而研究缓慢的扩散则必须包含足够低的频率。

图8 (a)包含相关频率点的阻抗谱及其等效电路模型(b)等效电路模型中各个基本电路组件与半电池中实际反应过程相对应。DOI:10.1016/j.electacta.2017.01.128
剔除异常数据:检查原始数据,去除明显的异常点或伪影,例如由电缆电感引起的高频正虚部数据。
K-K验证:对剔除异常后的数据进行K-K检验,这是进行任何定量分析之前的重要标准,用以评估数据的内在质量。

图9 Kramers-Kronig等效电路模型的回归拟合。DOI:10.1038/s43586-021-00039-w
模型拟合与参数提取
这是EIS分析的核心环节。最主流的方法是等效电路模型(ECM)拟合。
模型选择:根据对电化学系统的先验知识和奈奎斯特图的形状,选择或构建一个物理意义合理的ECM。例如,一个简单的半圆可能对应于一个RC并联电路,而半圆加斜线则提示需要引入Warburg元件(即Randles电路)。

图10(a)自适应Randles等效电路模型(AR-ECM)(b)对应的阻抗谱。DOI:10.3390/en15239251
算法选择与拟合:使用专门的分析软件(如ZView,EC-Lab等),采用非线性最小二乘法将ECM的理论阻抗谱拟合到实验数据上,通过迭代优化,找到一组能最小化误差的电路元件参数值。

图11 应用贝叶斯推断于EIS分析的工作流程示意图。DOI:10.48550/arXiv.2305.04841
拟合优度评估:通过卡方值(χ²)、残差图和参数的标准误差来评估拟合质量。一个好的拟合应该具有较小的χ² 值和随机分布的残差。
物理参数解读
拟合得到的参数必须将其与电化学系统的物理化学过程联系起来,才能用于反应过程中的性能评估、动力学或机理分析等。
EIS的主要应用之一是在研究电解质/电极界面,这在评估金属在不同环境条件下的腐蚀机制中非常有用,但同样也对涂层的性能和应力腐蚀开裂等材料失效检测非常有益。此外,EIS还被应用于陶瓷材料。

图12 电化学界面金属/电解质(双层电极)及其代表性的等效电路EEC模型的模拟(Rs溶液电阻,Rct电荷转移电阻,Cdl是双层电容)
锂/钠离子电池
在电池研发和管理中,EIS是评估性能、诊断老化和建立模型的关键工具。

图13 锂离子电池的整体电路模型。DOI:10.33961/jecst.2019.00528
通过跟踪Rct和Warburg阻抗的变化,可以评估电池的健康状态(SOH)。例如,固体电解质界面(SEI)膜的增厚通常表现为中频区半圆(对应于Rct和SEI膜电阻)的增大。

图14 不同充放电状态下MoS2钠转换系统的EIS(Nyquist图)分析。DOI:10.33961/jecst.2019.00528
不同温度或倍率下测试EIS,可以揭示电池的速控步骤是电荷转移还是离子扩散,为材料改性和电极结构优化提供指导。此外,电池管理系统(BMS)中的等效电路模型参数可以通过拟合EIS数据来精确标定。
燃料电池
对于质子交换膜燃料电池(PEMFC),EIS被用于诊断其内部的各种极化损失。欧姆电阻监测:高频实部阻抗直接反映了膜的质子传导性和接触电阻,可用于评估膜的水合状态。
中频区半圆的大小与氧还原反应(ORR)的动力学密切相关,其增大通常意味着催化剂的活性衰减或中毒。低频区的阻抗特征,特别是另一个半圆或弧的出现,与气体扩散层(GDL)中的传质限制有关,可用于诊断水淹等问题。

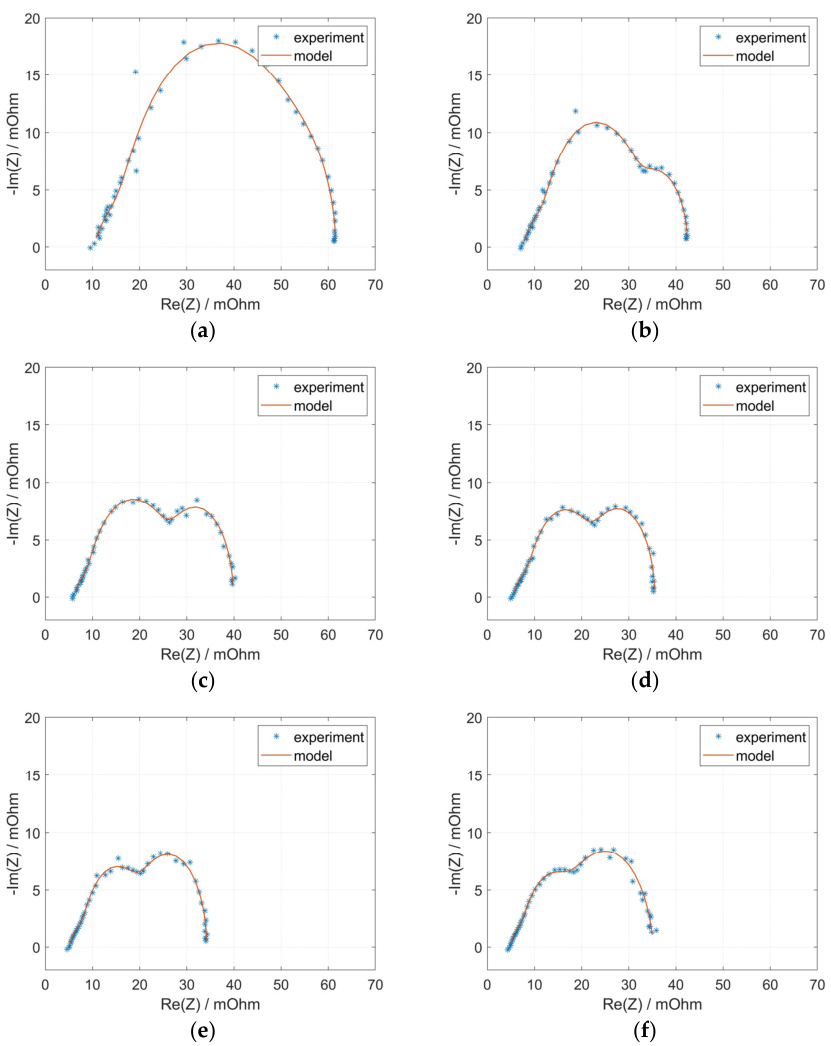
图15 不同电流密度下的实验和应用ECM(等效电路模型)数据:(a)102(b)204(c)306(d)408(e)510(f)612 mA/cm²
腐蚀科学
EIS是现代腐蚀研究中最常用的电化学技术之一,用于评估材料的耐蚀性和防护涂层的性能。在许多体系中,电荷转移电阻Rct与腐蚀电流密度成反比,因此测量Rct可以非破坏性地估算金属的瞬时腐蚀速率。
对于有机涂层,EIS可以用来监测其老化和失效过程。完好的涂层表现为近乎纯电容的行为(奈奎斯特图上为一条接近垂直的线),随着水和腐蚀介质的渗入,涂层的电容会增加,电阻会下降,并逐渐出现代表界面腐蚀的特征。
如下图,CrN涂层样品有两个半圆,而TiN涂层和未涂层样品各有一个半圆。这意味着CrN涂层样品具有更多的屏障来传输电解质到基体上,这导致了电化学反应速度减慢,因此提高了耐腐蚀性,且这种涂层比其他涂层具有更高的耐腐蚀性。

图16 不同样本在林格氏溶液中的Nyquist图。DOI:10.3390/s22030750
【高端测试 找华算】
华算科技是专业的科研解决方案服务商,精于高端测试。拥有10余年球差电镜拍摄经验与同步辐射三代光源全球机时,500+博士/博士后团队护航,保质保量!
🏅已助力5️⃣0️⃣0️⃣0️⃣0️⃣➕篇科研成果在Nature&Science正刊及子刊、Angew、AFM、JACS等顶级期刊发表!
👉立即预约,抢占发表先机!

