扫描电子显微镜(SEM)
SEM的工作原理基于电子束与样品相互作用产生的各种信号,如二次电子、反射电子和X射线。二次电子信号主要用于生成表面图像,反射电子信号则可以提供表面形貌的更深层次信息。样品表面通过扫描电子束,能够连Å续获得高分辨率的图像,从而精准地显示电极材料的微观结构。

DOI:10.1149/1945-7111/ad242d
SEM在电极材料表征中的主要作用之一是观察材料的形貌和颗粒分布。电极的形貌直接影响其表面活性和电化学性能,尤其是表面粗糙度、孔隙率和颗粒的聚集程度等因素,会显著影响电荷传输、反应速率及催化活性。
此外,SEM还能够与能量色散X射线谱(EDX)联用,对样品进行元素分析。EDX能提供材料中元素的定性与定量分析,有助于进一步了解电极材料的成分和化学结构。

DOI:10.1038/s41467-020-15811-x
原子力显微镜(AFM)
原子力显微镜(AFM)是一种基于探针与样品表面之间相互作用力的表征技术。与SEM不同,AFM通过利用一根微小的探针扫描电极材料表面,并测量探针与表面之间的相互作用力,构建出电极表面的三维形貌图像。
AFM的分辨率可以达到原子级别,因此在电极材料的表征中,能够获得极为详细的表面形态信息。
AFM的原理基于探针与样品表面之间的相互作用力,这些力包括范德华力、静电力和弹性力等。探针在接触或靠近样品表面时,会因相互作用力产生微小的弯曲或偏移,AFM通过检测这种偏移量来构建表面形貌图像。
AFM不仅能够提供电极表面的高度信息,还能够测量表面粗糙度、弹性模量、硬度等物理性质,从而为材料的电化学性能提供额外的物理理解。

材料型原子力显微镜
在电极材料的表征中,AFM常用于研究表面的微观结构和物理特性。表面粗糙度与孔隙度对电极的电化学性能有重要影响,AFM能够提供这些特性的重要信息。此外,AFM还可以通过动态模式(如原子力微观力谱)来研究电极材料的表面力学性质,进一步揭示材料在电化学过程中的稳定性、表面吸附行为及反应活性。

DOI: 10.1002/anie.202402342
透射电子显微镜(TEM)
TEM在电极材料研究中主要依赖高能电子束与固体样品的相互作用,实现晶体结构、形貌特征及局域缺陷的纳米—原子尺度分辨成像。
电子束在穿透样品的过程中发生弹性与非弹性散射,其空间干涉与能量损失信息分别构成高分辨成像(HRTEM)、选区电子衍射(SAED)及电子能量损失谱(EELS)等多维度信号。

DOI: 10.1038/nnano.2012.170
基于电子波长远小于可见光的特性,TEM 能解析晶格条纹、界面结构及纳米构筑的内部形貌,从而揭示电极材料在电子转移、离子扩散与结构稳定性中的结构本征因素。
其成像机理综合反映了原子势场分布、局域化学环境与电子密度调控行为,是建立“结构—性能”关联、理解电极材料微观结构演化机制的重要表征手段。
X射线衍射(XRD)
X 射线衍射(XRD)通过分析晶体材料对入射 X 射线的弹性散射行为,实现电极材料长程有序结构的定量解析。其基本原理基于布拉格衍射条件nλ=2dsinθ,即当晶面间距d与入射角θ满足相干叠加条件时,各晶面产生的散射波形成增强信号,从而构成特征衍射峰。

DOI: 10.1039/C4RA17235C
衍射峰的位置反映晶格常数与晶体结构类型,峰强度与峰型则受晶体择优取向、原子散射因子、晶粒尺寸及微应变等因素的共同影响。通过对衍射谱的拟合与结构精修,可获得晶相组成、晶体对称性、晶面取向及结构畸变等信息。
由于 XRD 对长程周期性的高敏感性,该技术可用于表征电极材料在电化学过程中发生的相变、结构稳定性及晶体框架演化,为构建电极材料的“晶体结构—电化学性能”关联提供重要的结构学依据。

DOI:10.1002/smll.202305021
比表面积与孔结构分析
比表面积与孔结构分析主要通过气体吸附–脱附等温线获取电极材料表面的物理吸附行为,从而定量描述其微观孔隙特征与有效暴露面积。
基于低温氮气吸附实验,吸附量随相对压力变化构成特征等温线,不同孔径范围的填充行为可依据多点 BET(Brunauer–Emmett–Teller)模型得到比表面积,并借助 BJH、DFT 或 NLDFT 等方法对孔径分布进行反演。

DOI: 10.1002/anie.202403023
吸附–脱附滞后环的形态反映孔道连通性、孔壁曲率及凝聚–蒸发过程中的界面调控机制。这些参数综合揭示了电极材料的比表面积、微孔/介孔比例、孔道结构有序性及其对离子输运与界面反应的潜在影响。
X射线光电子能谱(XPS)
X射线光电子能谱(XPS)是一种高分辨率的表面分析技术,广泛用于研究材料的表面化学组成和化学状态。XPS通过测量材料表面释放的光电子的能量分布,提供了关于元素组成、化学态和电子结构的深入信息。由于其对材料表面几纳米深度的高灵敏度,XPS被广泛应用于电极材料的表面表征。
XPS的原理基于光电效应。当X射线照射到样品表面时,样品中的元素会吸收X射线并释放出光电子。通过测量这些光电子的动能,XPS能够确定电子的结合能,这与元素的种类及其化学状态密切相关。
结合X射线的激发能量,XPS能够提供每个元素的化学位移,从而揭示材料中元素的化学环境和氧化态。

X射线光电子激发示意图
在电极材料的表征中,XPS主要用于分析材料表面元素的分布和化学状态。电极表面的氧化还原反应往往会导致元素化学态的变化,XPS能够有效监测这些变化。

DOI:10.1016/j.jpowsour.2017.08.113
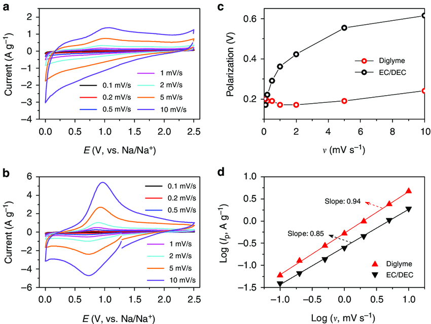
循环伏安法(CV)
循环伏安法在电极材料研究中通过施加往返扫描的电位扰动,记录电流随电位变化的动态响应,从而解析界面电子转移与物质输运行为的本征特征。
其原理基于外加电位驱动电极/电解质界面的氧化–还原过程,伏安曲线的峰形、峰电位位置及峰间距反映电荷转移速率、反应可逆性及扩散控制程度。

DOI: 10.1039/C7TA04891B
扫描速率依赖行为可揭示界面过程中的电容性贡献与法拉第过程之间的耦合关系。通过对 CV 曲线中电流响应的定量分析,可推断电极材料的活性位点特征、电子结构调控能力以及界面动态过程中的双电层充放电行为。

DOI:10.1038/s41467-019-08506-5
恒电流充放电(GCD)
恒电流充放电(GCD)通过在恒定电流条件下施加电化学扰动,并记录电极电位随时间的演化行为,以评估电极材料在电荷存储与释放过程中的动力学与能量特征。
其原理基于恒定电子通量驱动下界面电荷累积、离子迁移及法拉第反应的耦合过程,电位–时间曲线的线性度、平台区特征及电位偏移反映了电荷传输阻力、电化学可逆性与活性位点利用程度。

DOI: 10.1021/acsaem.4c01839
在理想电容行为中,电位变化速率由电容值与施加电流共同决定;而在存在法拉第过程时,曲线形貌将呈现可辨识的反应区域,从而体现材料的赝电容或嵌入特征。通过对充放电曲线的斜率、滞后与能量效率的分析,可揭示材料结构稳定性、界面反应动力学及循环过程中的电化学响应特征。

DOI:10.1039/C9NR05732C
电化学阻抗谱(EIS)
电化学阻抗谱(EIS)通过在电极体系施加微幅交流电压扰动,并测量不同频率下的电流响应,以解析界面过程的阻抗特征及其频域行为。
其原理基于电化学界面可视为由电荷转移、电解质离子迁移、双电层充电及扩散传质等多种过程构成的复杂电路,各物理过程在频率空间具有特征时间常数,通过阻抗的幅值与相位角随频率的变化可实现分辨。

DOI: 10.1021/acsaem.4c01839
EIS 数据通常表示为 Nyquist 图与 Bode 图,其特征弧线与低频斜率反映了电荷转移电阻、界面电容、扩散阻抗(Warburg 元件)与界面稳定性等关键参数。通过等效电路拟合,可对电极材料的电子/离子传导能力、界面结构调控行为及反应动力学进行定量描述。
原位 XRD
原位 XRD 利用电磁波与晶格周期性散射的相互作用,通过监测衍射峰位置、峰型及强度的实时变化,解析电极材料在充放电或反应进行过程中晶体结构的相变行为、晶胞参数变化与长程有序性的保持程度。

DOI:10.1002/smtd.201900467
由于 XRD 对长程周期结构高度敏感,原位测试能够直接观察电极材料的相界移动、晶相转化动力学及结构稳定性,有助于阐明电荷存储过程中的晶体学调控机制。
其测量本质是外加电化学扰动下晶格对 X 射线弹性散射条件的动态响应,因此能够以时间分辨方式捕获晶体结构在反应过程中的演化路径。

DOI: 10.1002/adfm.202512226
原位SEM/TEM
原位 SEM/TEM基于高能电子束与材料的强相互作用,通过电子散射、衍射及透射信号实现形貌与晶格结构的原子级解析。
在原位条件下,电极材料承受电位驱动、离子迁移及体积变化,电子显微技术使得纳米结构重构、裂纹形成、界面迁移及应力诱导变形等过程可被直接可视化。
原位 TEM 进一步借助高分辨成像、选区电子衍射及电子能量损失谱,实现对晶格扭曲、缺陷生成与局域化学状态的动态捕捉。其原理体现为电子散射截面随材料局域结构与成分变化而发生对应改变。

DOI:10.1021/acs.chemrev.4c00507
原位Raman/FTIR
原位Raman与原位FTIR依托分子振动光谱学原理,通过监测键长、键角变化及振动模式位移,实现对界面化学键演化、反应中间体形成与吸附动力学的实时分析。原位 Raman 利用光子与体系中分子的非弹性散射过程,能够敏感地反映电子结构扰动、局域缺陷及表面活性物种的动态行为。

DOI: 10.1016/j.nanoen.2025.110728
而原位 FTIR 基于分子对红外光的选择吸收特性,通过吸收峰位置与强度变化,揭示反应物、产物及中间体在界面上的吸附–脱附以及电极表面官能团参与反应的过程。
在电化学极化条件下,这两类原位振动光谱能够提供对电极–电解质界面反应路径的实时洞察,包括键断裂/成键行为、反应能垒调控以及局域电场对化学键的影响。
【高端测试 找华算】
华算科技是专业的科研解决方案服务商,精于高端测试。拥有10余年球差电镜拍摄经验与同步辐射三代光源全球机时,500+博士/博士后团队护航,保质保量!
🏅已助力5️⃣0️⃣0️⃣0️⃣0️⃣➕篇科研成果在Nature&Science正刊及子刊、Angew、AFM、JACS等顶级期刊发表!
👉立即预约,抢占发表先机!

