说明:本文华算科技主要介绍了XRD峰位偏移的定义、原因、量化方法及其影响因素。峰位偏移源于晶格应变、成分变化、晶体缺陷、外部因素等。通过sin²ψ方法可测定残余应力,Vegard’s定律用于成分计算,Williamson-Hall图法分析微观应变。这些方法有助于深入理解材料的结构和性能变化。

XRD峰位偏移,是指在XRD图谱中,一个或多个衍射峰的峰顶位置(2θ角)相对于其在理想、无应力、纯相状态下的标准参考位置发生的移动。
这一现象的物理本质根植于晶体衍射的基本原理——布拉格定律(Bragg’s Law)。
nλ = 2dsinθ
其中,n是衍射级数(通常为1);λ 是入射X射线的波长(一个固定值);d 是发生衍射的晶面族对应的晶面间距;θ 是衍射角(实验中测量的是2θ)。

DOI: 10.1007/s43994-024-00165-7
从该公式可以看出,衍射峰的位置(通常以2θ表示)与晶面间距d存在唯一的对应关系。
所谓XRD峰偏离标准值,即指实验测得的衍射峰的角与标准数据库(如ICDD-PDF数据库)中对应物相的理论角不一致的现象。这种角度的偏移,根据布拉格定律,直接反映了材料内部晶面间距发生了变化。
若晶面间距d增大,sinθ减小,导致θ角减小,衍射峰向低角度(左侧)移动。若晶面间距d减小,sinθ增大,导致θ角增大,衍射峰向高角度(右侧)移动。

DOI: 10.1039/D1RA06192E

晶格应变与残余应力
这是引起峰位偏移最常见也最重要的原因。当材料内部存在应力时,其晶格会发生弹性变形,即产生应变,从而导致晶面间距d发生变化。
1)拉应力:当材料受到拉应力时,晶格在垂直于该应力方向的晶面间距会增大(d > d0,其中d0为无应力状态的晶面间距)。这会导致衍射峰向低角度方向移动 。

DOI: 10.1016/j.actamat.2020.02.056
(2)压应力:当材料受到压应力时,晶格在垂直于该应力方向的晶面间距会减小(d )。这会导致衍射峰向高角度方向移动。

DOI:10.1039/D1RA06192E
值得注意的是,应变可以分为两类,它们对XRD图谱的影响不同:
3)均匀应变/宏观应变:指在整个衍射体积内,晶格的伸长或压缩是均匀一致的。这种应变是导致峰位整体偏移的直接原因。

DOI: 10.1007/s11664-022-09813-2
4)非均匀应变/微观应变:指晶格的变形在微观尺度上(如位错、晶界附近)是不均匀的。这种不均匀性导致d值在一个小范围内波动,从而引起衍射峰的展宽,而不是峰位的系统性偏移。

DOI:10.1039/D1RA06192E
成分变化
在多组分材料体系中,如合金、掺杂半导体、固溶体陶瓷等,当一种元素的原子被另一种不同尺寸的原子替代时,会引起整个晶格的系统性膨胀或收缩,从而改变平均晶面间距d。

DOI: 10.1007/s41779-024-01032-8
这一现象通常可以用Vegard’s Law来描述。该定律指出,在理想的替代式固溶体中,其晶格常数与各组分的浓度成线性关系。例如,对于A、B二元固溶体,其晶格常数a可以表示为:
aAB = aA(1 – xB) + aBxB
其中,aAB为是A、B二元固溶体的晶格常数;aA、aB是纯组分A和B的晶格常数;xB是组分B的摩尔分数。

DOI: 10.1007/s41779-024-01032-8
当溶质原子尺寸大于溶剂原子时,会引起晶格膨胀,晶格常数增大,导致所有衍射峰系统性地向低角度偏移。当溶质原子尺寸小于溶剂原子时,会引起晶格收缩,晶格常数减小,导致所有衍射峰系统性地向高角度偏移。

晶体缺陷与其他结构不完整性
高浓度的本征点缺陷(如空位、填隙原子)也可以改变材料的平均晶格常数。例如,填隙原子的引入通常会引起晶格膨胀,而空位的形成则可能导致晶格收缩。这些效应累积起来,会造成衍射峰的微小偏移。
然而,相比于应力和成分变化,由点缺陷引起的峰位偏移通常较小,并且往往与微观应变导致的峰展宽同时存在。

外部与系统因素
除了材料本身的原因,一些实验因素也会导致峰位偏移,这些因素在分析时必须被识别和校正,以避免错误解读。
1)温度效应:材料的热胀冷缩会直接改变晶格参数。在进行高温或低温原位XRD实验时,观察到的峰位偏移是温度效应的直接体现。若室温测试环境与标准温度(通常为25°C)有较大差异,也可能引入微小偏移。

DOI: 10.1007/s11837-025-07344-9
2)仪器误差
样品高度误差:这是最常见的系统误差。如果样品表面不与衍射仪的测角仪转轴共面,会导致系统性的峰位偏移,且偏移量与2θ角相关。
仪器零点误差:衍射仪2θ刻度的零点不准,会导致所有峰产生一个固定的偏移量。

DOI: 10.1007/s10904-022-02238-8

测定残余应力:sin²ψ方法
sin²ψ方法是目前应用最广泛的、通过XRD无损测量材料表面残余应力的标准技术。其基本原理是,在应力作用下,晶面间距d不仅与晶面指数(hkl)有关,还与晶面相对于样品坐标系的方向有关。
该方法通过倾斜样品,改变入射X射线与样品表面法线的夹角ψ,测量在不同ψ角下一组特定(hkl)晶面的d值。根据弹性力学理论,dhkl与sin²ψ之间存在线性关系。

DOI: 10.1107/S1600576719008744
通过在不同样品倾斜角(ψ角)下测量某一衍射峰的位置,绘制d(或2θ)vs. sin²ψ关系图。若图中数据点呈现线性关系,则表明存在宏观应力,其斜率与应力大小直接相关。
该方法是区分机械应力与其他因素(如化学成分变化)导致峰位偏移的有力工具。

DOI: 10.1134/S0036024425700025
成分计算:Vegard’s定律
如前所述,通过维嘉定律可以建立成分与晶格常数之间的关系。具体分析步骤如下:
1)精确测量峰位:对固溶体样品的多个衍射峰进行精确拟合,确定其2θ值。
2)计算晶格常数:利用测得的多个(hkl)峰的d值,通过最小二乘法精确计算出样品的晶格常数a。

DOI: 10.3390/nano12142320
3)应用Vegard’s定律:将计算出的晶格常数a代入Vegard’s定律公式,即可求解出未知组分的浓度xA。

DOI: 10.3390/nano12142320
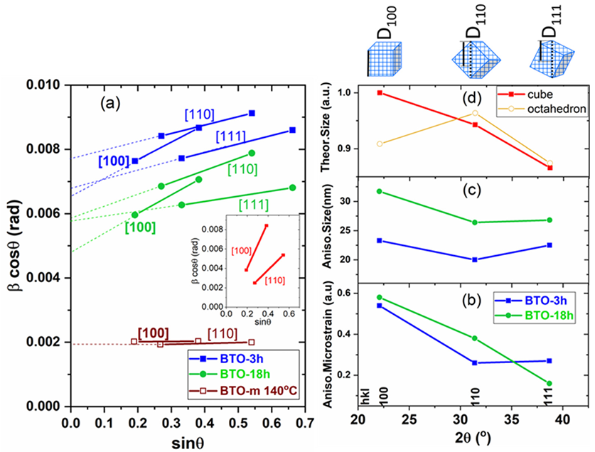
Williamson-Hall(W-H)图法
该方法主要用于分离晶粒尺寸和微观应变对峰宽的贡献。虽然它不直接分析峰位偏移,但其计算出的微观应变值(非均匀应变)可以与由峰位偏移计算出的宏观应变(均匀应变)进行对比,从而更全面地理解材料的应变状态。其核心公式为:

其中,β是扣除仪器展宽后的物理展宽;D是平均晶粒尺寸。ε是微观应变。K是谢乐常数;θ是布拉格衍射角;λ是入射X射线的波长。

DOI: 10.3390/nano11051121
通过绘制βcosθ对4sinθ的关系图(即W-H图),可以得到一条直线。直线的斜率对应于微观应变ε。直线在y轴上的截距对应于晶粒尺寸D。

DOI: 10.3390/nano11051121
【高端测试 找华算】
华算科技是专业的科研解决方案服务商,精于高端测试。拥有10余年球差电镜拍摄经验与同步辐射三代光源全球机时,500+博士/博士后团队护航,保质保量!
🏅已助力5️⃣0️⃣0️⃣0️⃣0️⃣➕篇科研成果在Nature&Science正刊及子刊、Angew、AFM、JACS等顶级期刊发表!
👉立即预约,抢占发表先机!

