“缺陷”如何表征?HR-TEM、HAADF-STEM、STM、AFM、Raman、XPS、XAS、EPR、XRD、PAS等!

精准表征是揭示缺陷类型、浓度、分布及其与性能构效关系的核心。本文详细介绍了缺陷的10种表征方法HR-TEM、HAADF-STEM、STM、AFM、RamanXPSXAS、EPR、XRD、PAS),包括定义、应用场景、案例,以及不同表征间的互相印证,共同构筑坚实的科学证据链。
“缺陷”如何表征?HR-TEM、HAADF-STEM、STM、AFM、Raman、XPS、XAS、EPR、XRD、PAS等!
“缺陷”如何表征?HR-TEM、HAADF-STEM、STM、AFM、Raman、XPS、XAS、EPR、XRD、PAS等!

1. 高分辨率透射电子显微镜

定义:HR-TEM 利用电子束穿透样品时的相位差成像,空间分辨率可达 0.1 nm 以下,可直接观测晶格条纹的畸变、缺失或错位,从而识别空位、堆垛层错、位错等缺陷。
典型应用场景:晶格缺陷观测;晶格畸变量化。
案例:在 GB-(Fe₀.₆₆Co₀.₃₄)₂B 催化剂中,HR-TEM 显示多取向晶格条纹分布,证实机械球磨引入的大量晶界缺陷,且通过测量(211)晶面间距从 1.99 Å 扩展至 2.06 Å,量化了 Fe 掺杂导致的晶格畸变。
“缺陷”如何表征?HR-TEM、HAADF-STEM、STM、AFM、Raman、XPS、XAS、EPR、XRD、PAS等!
DOI: 10.1039/d4cs00217b

HR-TEM+XRD:联合验证晶格畸变

HR-TEM 观测的晶格畸变可通过 X 射线衍射(XRD)的峰宽化效应间接验证。
根据谢乐公式 “缺陷”如何表征?HR-TEM、HAADF-STEM、STM、AFM、Raman、XPS、XAS、EPR、XRD、PAS等!(其中D为晶粒尺寸,K为形状因子,λ为 X 射线波长,β为半高宽,θ为衍射角),缺陷导致的晶格畸变会使β增大,进而计算出的晶粒尺寸减小,与 HR-TEM 观测的细晶化趋势一致。
“缺陷”如何表征?HR-TEM、HAADF-STEM、STM、AFM、Raman、XPS、XAS、EPR、XRD、PAS等!
DOI: 10.1002/cjce.23747
“缺陷”如何表征?HR-TEM、HAADF-STEM、STM、AFM、Raman、XPS、XAS、EPR、XRD、PAS等!
“缺陷”如何表征?HR-TEM、HAADF-STEM、STM、AFM、Raman、XPS、XAS、EPR、XRD、PAS等!

2. 高角环形暗场扫描透射电子显微镜

定义:HAADF-STEM 通过探测高角度散射电子成像,衬度与原子序数的平方成正比(Z衬度效应),可实现单原子级分辨率,精准定位重原子掺杂位点或缺陷锚定的金属原子。
典型应用场景:单原子缺陷定位;双原子活性中心观测。
案例:在 eFe-N₃/PCF 催化剂中,HAADF-STEM 图像用红色圈标记出孤立的 Fe 原子,直接证明 FeN₃活性位点锚定在石墨烯边缘缺陷处。
在 CoSe₂₋ₓ-Pt 催化剂中,HAADF-STEM 及彩色处理图像显示 Pt 原子均匀分散在 CoSe₂基底表面,证实 Se 空位对 Pt 单原子的锚定作用。
“缺陷”如何表征?HR-TEM、HAADF-STEM、STM、AFM、Raman、XPS、XAS、EPR、XRD、PAS等!
DOI: 10.1039/d4cs00217b

HAADF-STEM+EXAFS:验证单原子分布

HAADF-STEM 观测的单原子分布,可通过 X 射线吸收精细结构(XAFS)的扩展 X 射线吸收精细结构(EXAFS)验证。
例如,Pt@DG 催化剂的 EXAFS 谱中,仅出现 Pt-C 键峰(无 Pt-Pt 键峰),与 HAADF-STEM 观测的 Pt 单原子分散状态一致。
“缺陷”如何表征?HR-TEM、HAADF-STEM、STM、AFM、Raman、XPS、XAS、EPR、XRD、PAS等!
DOI: 10.1039/d4cs00217b
“缺陷”如何表征?HR-TEM、HAADF-STEM、STM、AFM、Raman、XPS、XAS、EPR、XRD、PAS等!
“缺陷”如何表征?HR-TEM、HAADF-STEM、STM、AFM、Raman、XPS、XAS、EPR、XRD、PAS等!

3.扫描隧道显微镜(STM)

定义:STM 基于量子隧道效应,通过探针与样品表面的电子隧道电流成像,空间分辨率可达原子级,既能观测表面拓扑结构,又能获取电子态密度分布,揭示缺陷对电子结构的影响。
典型应用场景:缺陷电子态分析;原子级缺陷拓扑成像。
案例:在石墨烯缺陷表征中,STM 直接观测到 585 拓扑缺陷的原子排列,结合隧道谱(dI/dV)分析,证实缺陷处存在局部电子态富集,为 ORR 活性提升提供电子结构证据。
“缺陷”如何表征?HR-TEM、HAADF-STEM、STM、AFM、Raman、XPS、XAS、EPR、XRD、PAS等!
DOI: 10.1021/acs.chemrev.9b00551

STM+KPFM:联合验证电子态富集区域

STM 观测的电子态富集区域,可通过开尔文探针力显微镜(KPFM)的表面电势测量验证。
例如,缺陷 HOPG 的 KPFM 测试显示,STM 观测的边缘缺陷处表面电势降低(功函数减小),与 STM 隧道谱反映的电子态密度升高趋势一致;
“缺陷”如何表征?HR-TEM、HAADF-STEM、STM、AFM、Raman、XPS、XAS、EPR、XRD、PAS等!
DOI: 10.1039/d4cs00217b
“缺陷”如何表征?HR-TEM、HAADF-STEM、STM、AFM、Raman、XPS、XAS、EPR、XRD、PAS等!
“缺陷”如何表征?HR-TEM、HAADF-STEM、STM、AFM、Raman、XPS、XAS、EPR、XRD、PAS等!

4. 原子力显微镜(AFM)

定义:AFM 通过探针与样品表面的原子间作用力(范德华力、静电力等)成像,可观测表面形貌、粗糙度及力学性能,尤其适用于研究催化剂表面缺陷的动态演化。
典型应用场景:缺陷动态重构监测;表面粗糙度与缺陷关联。
案例:在 D-HOPG(缺陷高定向热解石墨)的表征中,AFM 图像显示等离子体蚀刻后表面粗糙度显著增加,证实边缘缺陷与孔洞的形成。
“缺陷”如何表征?HR-TEM、HAADF-STEM、STM、AFM、Raman、XPS、XAS、EPR、XRD、PAS等!
DOI: 10.1039/d4cs00217b

AFM+原位XPS:联合验证Co₃O₄表面重构

AFM 监测的 Co₃O₄表面重构,可通过原位 XPS 的 Co 2p 谱验证,即 Co³⁺/Co²⁺比值随反应时间增加,与 AFM 观测的 CoOOH 生成趋势吻合。
“缺陷”如何表征?HR-TEM、HAADF-STEM、STM、AFM、Raman、XPS、XAS、EPR、XRD、PAS等!
XAFS+准原位 XPS 显示,Vo含量下降,Co³⁺/Co²⁺ 比同步上升,活性却保持,证明“自愈”重构生成 CoOOH 活性相。DOI: 10.1039/d4cs00217b
“缺陷”如何表征?HR-TEM、HAADF-STEM、STM、AFM、Raman、XPS、XAS、EPR、XRD、PAS等!
“缺陷”如何表征?HR-TEM、HAADF-STEM、STM、AFM、Raman、XPS、XAS、EPR、XRD、PAS等!

5. 拉曼光谱(Raman)

定义:Raman 光谱基于光子与分子振动模式的非弹性散射,通过特征峰的位置、强度及半高宽,分析材料的晶体结构与缺陷程度,对碳材料缺陷的表征尤为经典。
典型应用场景:碳材料缺陷量化;缺陷类型识别。
案例:在氧修饰缺陷石墨烯中,Raman 谱通过 585 缺陷对应的特征峰(~1620 cm⁻¹),结合 DFT 计算的理论 Raman 谱,确认五边形缺陷上的羰基基团(-C=O)为 2e⁻ ORR 活性中心。
“缺陷”如何表征?HR-TEM、HAADF-STEM、STM、AFM、Raman、XPS、XAS、EPR、XRD、PAS等!
(c) 缺陷石墨烯表面三种可能的氧原子结构及相关物质的理论拉曼光谱。DOI: 10.1039/d4cs00217b

Raman+XRD:联合验证晶体有序度

Raman 的 ID/IG 值可通过 XRD 的峰宽化效应验证。
例如,缺陷碳材料的 XRD 谱中,(002) 峰半高宽增大(从 0.8° 增至 1.5°),与 Raman 观测的 ID/IG 值升高一致,证明缺陷导致的晶体有序度降低。
“缺陷”如何表征?HR-TEM、HAADF-STEM、STM、AFM、Raman、XPS、XAS、EPR、XRD、PAS等!
DOI: 10.1039/d4cs00217b
“缺陷”如何表征?HR-TEM、HAADF-STEM、STM、AFM、Raman、XPS、XAS、EPR、XRD、PAS等!
“缺陷”如何表征?HR-TEM、HAADF-STEM、STM、AFM、Raman、XPS、XAS、EPR、XRD、PAS等!

6.X 射线光电子能谱(XPS)

定义:XPS 基于光电效应,通过分析光电子的结合能,确定材料的化学组成、元素价态及化学环境,是表征缺陷化学状态的核心技术。
核心公式为光电子结合能公式 Eb=hν−Ek−ϕ(其中Eb为结合能,hν为光子能量,Ek为光电子动能,ϕ为功函数)。
典型应用场景:缺陷化学态分析;掺杂缺陷表征。
案例:VO-InOOH 催化剂的 O 1s XPS 谱中,新增 531.5 eV 峰(对应氧空位),与 EPR 观测的 g=2.001 信号(氧空位未成对电子)一致。
“缺陷”如何表征?HR-TEM、HAADF-STEM、STM、AFM、Raman、XPS、XAS、EPR、XRD、PAS等!
DOI: 10.1039/d4cs00217b

XPS+XANES:联合验证元素价态

XPS 分析的元素价态,可通过 XANES 验证。
例如,CoN₄-PC 催化剂的 Co 2p XPS 拟合 Co 价态为 1.55,与 XANES 白线峰强度(反映价态)的分析结果一致。
“缺陷”如何表征?HR-TEM、HAADF-STEM、STM、AFM、Raman、XPS、XAS、EPR、XRD、PAS等!
DOI: 10.1039/d4cs00217b
“缺陷”如何表征?HR-TEM、HAADF-STEM、STM、AFM、Raman、XPS、XAS、EPR、XRD、PAS等!
“缺陷”如何表征?HR-TEM、HAADF-STEM、STM、AFM、Raman、XPS、XAS、EPR、XRD、PAS等!

7.X射线吸收光谱(XAS)

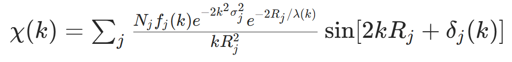
定义:XAS 包括 XANES 和 EXAFS,XANES 通过吸收边形状与强度分析元素价态、对称性及配位环境,EXAFS 通过振荡曲线拟合获取配位原子种类、配位数(N)和键长(R),核心公式为 EXAFS 振荡函数
“缺陷”如何表征?HR-TEM、HAADF-STEM、STM、AFM、Raman、XPS、XAS、EPR、XRD、PAS等!
其中k为波矢,fj为散射振幅,σj为 Debye-Waller 因子,λ为电子平均自由程,δj为相移。
典型应用场景:配位环境与价态分析;单原子缺陷验证。
案例:CoN₄-PC 催化剂的 Co K边 XANES 显示,白线峰强度高于 CoN₄-C,证实 P 掺杂导致 Co 价态升高;EXAFS 拟合显示 Co-N 键长从 1.99 Å 增至 2.06 Å,揭示缺陷导致的配位环境重构。
“缺陷”如何表征?HR-TEM、HAADF-STEM、STM、AFM、Raman、XPS、XAS、EPR、XRD、PAS等!
DOI: 10.1039/d4cs00217b

XAS+HR-TEM:联合验证配位数与键长

XAS 拟合的配位数与键长,可通过 HR-TEM 的晶格间距测量验证。
例如,(Fe₀.₆₆Co₀.₃₄)₂B 的 EXAFS 拟合 Co-B 键长为 2.06 Å,与 HR-TEM 观测的(211)晶面间距(2.06 Å)一致。
“缺陷”如何表征?HR-TEM、HAADF-STEM、STM、AFM、Raman、XPS、XAS、EPR、XRD、PAS等!
DOI: 10.1039/d4cs00217b
“缺陷”如何表征?HR-TEM、HAADF-STEM、STM、AFM、Raman、XPS、XAS、EPR、XRD、PAS等!
“缺陷”如何表征?HR-TEM、HAADF-STEM、STM、AFM、Raman、XPS、XAS、EPR、XRD、PAS等!

8.电子顺磁共振(EPR)

定义EPR 基于电子自旋磁矩在磁场中的共振吸收,仅检测含未成对电子的物种(如空位、自由基),通过共振峰的 g 因子、线宽及强度,定量分析缺陷浓度,核心公式为共振条件 hν=gμBB0(其中hν为微波能量,g为 g 因子,μB为玻尔磁子,B0为共振磁场)。
典型应用场景:未成对电子缺陷检测;缺陷动态演化追踪。
案例:VO-InOOH 催化剂的 EPR 谱中,g=2.001 处出现强信号,对应氧空位中的未成对电子,信号强度与 XPS 观测的 O 1s 缺陷氧峰面积正相关,可量化氧空位浓度。
“缺陷”如何表征?HR-TEM、HAADF-STEM、STM、AFM、Raman、XPS、XAS、EPR、XRD、PAS等!
DOI: 10.1039/d4cs00217b

EPR+PAT:联合验证未成对电子浓度

EPR 检测的未成对电子浓度,可通过正电子湮灭技术positron annihilation technology,PAT)验证。
例如,K-defect-C 催化剂的 PAT 测试显示,EPR 观测的 V₁₂碳空位浓度(~1.8×10¹³ cm⁻²)与 PAT 测量的正电子寿命(~350 ps)正相关,证明缺陷对正电子的捕获作用。
“缺陷”如何表征?HR-TEM、HAADF-STEM、STM、AFM、Raman、XPS、XAS、EPR、XRD、PAS等!
DOI: 10.1021/acscatal.7b02952
“缺陷”如何表征?HR-TEM、HAADF-STEM、STM、AFM、Raman、XPS、XAS、EPR、XRD、PAS等!
“缺陷”如何表征?HR-TEM、HAADF-STEM、STM、AFM、Raman、XPS、XAS、EPR、XRD、PAS等!

9. X 射线衍射(XRD)

定义XRD 基于 X 射线的晶体衍射现象,通过衍射峰的位置、强度及半高宽,分析晶体结构、晶粒尺寸及晶格畸变。
核心公式为布拉格方程 2dsinθ=nλ(其中d为晶面间距,θ为衍射角,n为衍射级次,λ为 X 射线波长)及谢乐公式(见 HR-TEM 部分)。
典型应用场景:晶格畸变与晶粒尺寸分析;晶界缺陷表征。
案例:MoS₂在 H₂氛围下 600℃退火的 XRD 谱中,(002) 峰强度降低且宽化,证实 S 空位导致的晶体有序度下降;谢乐公式计算的晶粒尺寸从 20 nm 降至 8 nm,与 HR-TEM 观测的细晶化一致。
“缺陷”如何表征?HR-TEM、HAADF-STEM、STM、AFM、Raman、XPS、XAS、EPR、XRD、PAS等!
DOI: 10.1002/cjce.23747

XRD+SEM:联合验证晶粒尺寸

XRD 确定的晶粒尺寸,可通过 SEM 观测的颗粒尺寸进一步佐证,如机械球磨的(Fe₀.₆₆Co₀.₃₄)₂B 的 XRD 晶粒尺寸(~15 nm)与 SEM 观测的颗粒尺寸(~10-20 nm)一致。
“缺陷”如何表征?HR-TEM、HAADF-STEM、STM、AFM、Raman、XPS、XAS、EPR、XRD、PAS等!
DOI:10.1016/j.jmst.2025.07.020
“缺陷”如何表征?HR-TEM、HAADF-STEM、STM、AFM、Raman、XPS、XAS、EPR、XRD、PAS等!
“缺陷”如何表征?HR-TEM、HAADF-STEM、STM、AFM、Raman、XPS、XAS、EPR、XRD、PAS等!

10.正电子湮没谱(PAS)

定义: PAS通过追踪正电子在材料中的湮没行为,间接揭示缺陷的类型、浓度与尺寸,尤其擅长检测原子级空位、位错等难以通过直接成像观测的缺陷。
典型应用场景:空位浓度量化;空位团尺寸估算。
案例:陷阱深度最深,正电子寿命最长(如多孔碳的 τ≈500-1000 ps)。例如,KOH 蚀刻的缺陷碳材料,PAS 出现 τ₄=850 ps 的组分,对应孔径 > 10 nm 的孔洞。
“缺陷”如何表征?HR-TEM、HAADF-STEM、STM、AFM、Raman、XPS、XAS、EPR、XRD、PAS等!
正电子湮没寿命谱仪和测量两种NiS的寿命谱

PAS+HR-TEM:联合验证晶界缺陷

机械球磨的 (Fe₀.₆₆Co₀.₃₄)₂B 催化剂,PAS 拟合出 τ₃=420 ps(晶界空位团)的 I₃=25%;HR-TEM 显示多取向晶格条纹(晶界),晶界密度统计为≈8×10⁴ cm⁻¹,通过晶界体积分数计算的空位团浓度与 PAS 结果一致,证明晶界缺陷的信号归属正确。
“缺陷”如何表征?HR-TEM、HAADF-STEM、STM、AFM、Raman、XPS、XAS、EPR、XRD、PAS等!
DOI: 10.1039/d4cs00217b
“缺陷”如何表征?HR-TEM、HAADF-STEM、STM、AFM、Raman、XPS、XAS、EPR、XRD、PAS等!
“缺陷”如何表征?HR-TEM、HAADF-STEM、STM、AFM、Raman、XPS、XAS、EPR、XRD、PAS等!

总结

十大表征技术各有侧重:HR-TEM/HAADF-STEM 提供原子级结构证据,XAS/XPS 揭示电子态与化学环境,Raman/EPR 实现缺陷浓度量化,原位技术追踪动态演化,PAS 填补原子级空位检测的空白。
未来,随着多技术联用与人工智能数据分析的发展,将进一步突破缺陷表征的精准性与效率瓶颈,提供更强大的技术支撑。

 

本文源自微信公众号:材料有干货

原文标题:《“缺陷”如何表征?HR-TEM、HAADF-STEM、STM、AFM、Raman、XPS、XAS、EPR、XRD、PAS等!》

原文链接:https://mp.weixin.qq.com/s/iFSQn3TvEP3WVINvtVfO7w

本转载仅出于分享优质测试干货,旨在传递更多观点,并不代表赞同其全部观点或证实其内容的真实性。文章中所包含的图片、音频、视频等素材的版权均归原作者所有。如有侵权请告知删除。

(0)
上一篇 2025年11月12日 下午3:59
下一篇 2025年11月14日 下午2:29

相关推荐