价态变化,XPS峰往哪移?

说明:X 射线光电子能谱(XPS)是一种基于光电效应的表面分析技术,广泛应用于材料科学等多个领域。本文介绍了XPS的基本原理、主要应用,说明了价态变化时XPS峰位移的规律。
价态变化,XPS峰往哪移?
价态变化,XPS峰往哪移?

一、XPS是什么?

 

XPS是一种基于光电效应的表面分析技术,核心用于表征材料表面(~1-10 nm 深度)的元素组成、化学态及电子结构
价态变化,XPS峰往哪移?
DOI: 10.1021/acsbiomaterials.7b00040
基本原理基于爱因斯坦光电效应,即用单色 X 射线照射样品表面,激发原子内壳层电子成为自由光电子;接着测量光电子的动能和强度,结合仪器功函数,通过公式 Eb=hν−Ek−ϕ 计算电子结合能(Eb);并利用不同元素、不同化学态的电子结合能具有特征值的特点,实现定性、定量化学态分析
XPS 凭借表面特异性和化学态分析能力,广泛应用于材料科学、化学、电子、能源、生物等多个领域,核心应用场景包括:材料表面成分与纯度分析、化学态与价态分析(最核心应用)、界面与薄膜分析、生物与软物质分析
价态变化,XPS峰往哪移?
DOI:10.1002/anie.202403023
价态变化,XPS峰往哪移?
价态变化,XPS峰往哪移?

二、XPS峰是什么?

 

XPS 图谱的核心是 “峰”,每个峰对应特定原子、特定能级的电子跃迁,其位置、强度、形状均包含关键信息,本质是光电子的能量分布信号
当 X 射线激发原子内壳层电子(如 1s、2p、3d 等能级)时,不同能级的电子具有不同的结合能,检测器收集到的光电子按能量分布形成信号峰 ——每个峰对应一种 “原子 – 能级” 组合,是元素的 “指纹特征”。
价态变化,XPS峰往哪移?
DOI: 10.1039/c9cs00172g

1. XPS 峰的核心类型

全谱峰:宽能量范围扫描(通常 0-1200 eV),呈现样品中所有元素的特征峰(如 C 1s、O 1s、Fe 2p 等),用于定性识别元素;
高分辨峰:针对特定元素的特定能级扫描(如 Fe 2p、S 2p),峰形更尖锐,可拆分重叠峰,用于化学态分析;
伴峰:包括震激峰、俄歇峰等,是电子跃迁的次级信号,可辅助判断化学环境(如 Cu²⁺的卫星峰、有机分子的 π-π* 跃迁伴峰)。
价态变化,XPS峰往哪移?
BiVO4/Bi2O3和BixOyIz的Bi 4f高分辨XPS谱图。DOI: 10.1039/c9cs00172g

2. XPS 峰的关键信息

峰位(结合能):核心定性依据,不同元素、化学态的峰位固定;
峰强度:与元素含量正相关,峰强度越高表示该元素在表面含量越高;
峰形:反映化学环境均一性,单峰表示单一化学态,宽峰或多峰表示多种化学态共存(需分峰拟合);
峰分裂:部分能级因自旋 – 轨道耦合分裂为双峰,是特征识别依据。
价态变化,XPS峰往哪移?
TiO2的XPS价带谱。DOI: 10.1039/c9cs00172g
价态变化,XPS峰往哪移?
价态变化,XPS峰往哪移?

三、价态变化,XPS峰往哪移?

 

一般来说,价态变化会导致XPS峰位移。
当原子失去电子,发生氧化反应,价态升高,XPS 峰往结合方向移动。
当原子得到电子,发生还原反应,价态降低,XPS 峰往低结合方向移动。
这一规律适用于绝大多数元素(过渡金属、主族元素、非金属元素),是通过 XPS 分析化学态的核心依据,其本质是价态变化改变了原子的核电荷屏蔽效应
价态变化,XPS峰往哪移?
锐钛矿TiO2和金红石TiO2的XPS核心能级(Ti 2p)和价带谱。DOI: 10.1039/c9cs00172g

为什么价态变,峰就移?

XPS 结合能反映的是 “原子内壳层电子与原子核的相互作用力”, 作用力越强,激发电子所需能量越高,结合能越大(峰右移)作用力越弱,结合能越小(峰左移),而价态变化通过改变 “核电荷屏蔽程度” 直接影响这种作用力
价态变化,XPS峰往哪移?
DOI: 10.1021/acsbiomaterials.7b00040

1. 价态升高,峰右移

原因:原子失去外层电子后,核外电子总数减少,电子云对原子核正电荷的 “屏蔽作用” 减弱。
原子核的正电荷更 “裸露”,对剩余内壳层电子的吸引力显著增强,激发这些电子需要更高的能量,表现为结合能升高,XPS 峰向高结合能方向(右)移动。
价态升高越多,失去的电子数越多,屏蔽效应减弱越明显,右移幅度通常越大(同一种元素内对比)。
例如,Fe 元素从 Fe²⁺(FeO)氧化为 Fe³⁺(Fe₂O₃),失去 1 个 3d 外层电子,核外电子云密度降低,对 2p 内壳层电子的屏蔽效应减弱,原子核对 2p 电子的库仑吸引力增强,激发电子需更高能量,导致结合能升高、Fe 2p₃/₂峰右移。
价态变化,XPS峰往哪移?
三元复合物:出现第二磷物种(134.9 eV),占比40%,归因于HAS硫酸根通过Ca²⁺桥接与磷酸根竞争配位,使磷原子电子云密度降低。DOI: 10.1021/acsbiomaterials.7b00040

2. 价态降低,峰左移

原因:原子获得电子后,核外电子总数增加,电子云对原子核正电荷的 “屏蔽作用” 增强。
原子核的正电荷被更多电子包裹,对内部电子的吸引力被削弱,激发电子所需能量降低,表现为结合能降低,XPS 峰向低结合能方向(左)移动。
价态降低越多,获得的电子数越多,屏蔽效应增强越显著,左移幅度通常越大(同一种元素内对比)。
例如,Ti 元素从 Ti⁴⁺(TiO₂)还原为 Ti³⁺(Ti₂O₃),Ti 从 + 4 价降至 + 3 价时,获得 1 个 3d 外层电子,核外电子云密度升高,对 2p 内壳层电子的屏蔽效应增强,原子核对 2p 电子的吸引力减弱,激发电子需更低能量,导致结合能降低、Ti 2p₃/₂峰左移。若存在氧空位,额外电子进一步增强屏蔽效应,加剧左移。
价态变化,XPS峰往哪移?
Bi⁰/Bi₂O₃的Bi 4f高分辨XPS谱,显示金属Bi⁰和Bi³⁺的峰位差异。DOI: 10.1039/c9cs00172g

不同类型常见元素的详细实例

1. 过渡金属元素

过渡金属(最常用,位移规律最清晰)价态变化(如 Fe²⁺↔Fe³⁺、Cu⁰↔Cu²⁺)时,电子得失直接改变核电荷屏蔽,位移幅度明显,是 XPS 分析的重点对象。
价态变化,XPS峰往哪移?
价态变化,XPS峰往哪移?
LFP电极的XPS核心能级谱图对比。DOI: 10.1021/acsami.9b01761

2.主族金属元素

主族金属(如 Al、Mg、Zn)价态变化以 “失去电子” 为主(常见+1、+2、+3价),位移规律与过渡金属一致,位移幅度相对固定。
价态变化,XPS峰往哪移?
价态变化,XPS峰往哪移?
DOI: 10.1021/acsbiomaterials.7b00040

3. 非金属元素

非金属元素(如 S、P、C、O)价态变化可 “得电子”(还原态)或 “失电子”(氧化态),位移规律同样遵循 “价态升高,峰右移”,且氧化态越高,右移幅度越大。
价态变化,XPS峰往哪移?
价态变化,XPS峰往哪移?
全谱扫描显示样品含有C、N、O、P(来自siRNA)及Ca、Cl(来自CaCl₂)。DOI: 10.1021/acsbiomaterials.7b00040

特殊情况:价态位移不明显或异常的场景

并非所有元素的价态变化都会产生显著位移,需结合元素特性、电子组态等判断,避免误判。

1. 价态差异小,位移可忽略

典型案例:Cu⁰(金属 Cu,932.6 eV)与 Cu⁺(Cu₂O,932.4 eV)的 Cu 2p₃/₂结合能仅差 0.2 eV,几乎无法通过峰位区分。
原因:Cu⁰和 Cu⁺的电子组态差异小(Cu⁰:[Ar] 3d¹⁰4s¹;Cu⁺:[Ar] 3d¹⁰),失去的电子数仅差 1 个,且均为外层电子,对内核电子的屏蔽效应影响极小。
解决方法:结合卫星峰(Cu²⁺有,Cu⁰/Cu⁺无)或俄歇电子峰(Cu LMM Auger 峰,Cu⁰与 Cu⁺相差约 2 eV)辅助判断。
价态变化,XPS峰往哪移?
PVDF基LFP电极的XPS化学成像图。DOI: 10.1021/acsami.9b01761

2. 混合价态,峰形叠加而非单一位移

典型案例:Fe₃O₄(含 Fe²⁺和 Fe³⁺)的 Fe 2p₃/₂峰是宽峰(710.8-712.0 eV),而非单一峰位。
原因:样品中存在两种价态,各自的特征峰叠加,表现为峰形宽化、不对称,无法直接观察 “单一位移方向”。
解决方法:通过分峰拟合(使用 Gaussian-Lorentzian 函数),将混合峰拆分为 Fe²⁺和 Fe³⁺的独立峰,再分别对照标准峰位判断价态和位移。
价态变化,XPS峰往哪移?
DOI: 10.1021/acsami.9b01761

3. 电子组态特殊,价态与位移不完全匹配

典型案例:Mn 元素的 Mn²⁺(MnO,Mn 2p₃/₂≈640.8 eV)与 Mn⁴⁺(MnO₂,≈642.5 eV)的位移幅度(+1.7 eV)小于 Fe²⁺与Fe³⁺的位移(+1.2 eV),但价态差异更大。
原因:Mn 的 3d 电子组态为半满(Mn²⁺:3d⁵)或半满附近(Mn⁴⁺:3d³),电子屏蔽效应受组态稳定性影响,并非单纯依赖价态变化。
解决方法:参考同体系文献的标准峰位,结合峰形、伴峰特征综合判断,而非仅看位移幅度。
价态变化,XPS峰往哪移?
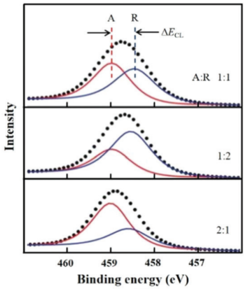
不同比例的锐钛矿/金红石异质结构的XPS Ti 2p3/2谱。DOI: 10.1039/c9cs00172g

4. 物理效应掩盖价态位移(需先校正)

典型案例:绝缘样品(如氧化物、聚合物)的 XPS 峰整体右移,与价态变化无关。
原因:绝缘样品激发光电子后,表面积累正电荷(无法快速中和),导致光电子动能降低,根据公式Eb=hν−Ek−ϕ,计算出的结合能偏高(右移),属于 “物理位移” 而非化学位移。
解决方法:通过电子枪中和、样品表面喷金(薄导电层)等方式校正电荷效应,再分析价态导致的位移。
价态变化,XPS峰往哪移?
三元复合物(红色)相比二元复合物(蓝色)结合能正向偏移0.9 eV,表明磷原子化学环境更电负性。DOI: 10.1021/acsbiomaterials.7b00040
价态变化,XPS峰往哪移?
价态变化,XPS峰往哪移?

四、如何判断价态?

 

1.先定基准态:每种元素选择 “金属态” 或 “完全还原态” 作为基准(如 Fe⁰、Cu⁰、S²⁻),再对比目标峰位的位移方向,判断价态升高 / 降低。
2.结合位移幅度:同一种元素的价态位移幅度相对固定,例如 Fe²⁺→Fe³⁺约 + 1.2 eV,S²⁻→SO₄²⁻约 + 6.6 eV,若位移幅度超出常规范围,需排查物理效应或配位环境影响。
价态变化,XPS峰往哪移?
S 2p谱检测到169.8 eV信号,证实HAS的硫酸基团参与Ca²⁺配位。DOI: 10.1021/acsbiomaterials.7b00040
3.峰形辅助判断:价态变化常伴随峰形变化(如 Cu²⁺的卫星峰、混合价态的宽峰),比单一峰位更可靠。
4.多能级交叉验证:若某一能级峰位模糊(如 Ni 2p 峰有多重分裂),可参考其他能级(如 Ni 3p)的峰位位移,交叉确认价态。

 

本文源自微信公众号:材料有干货

原文标题:《价态变化,XPS峰往哪移?》

原文链接:https://mp.weixin.qq.com/s/yVILzaRq7EVuH-GPhiZ7ow

本转载仅出于分享优质测试干货,旨在传递更多观点,并不代表赞同其全部观点或证实其内容的真实性。文章中所包含的图片、音频、视频等素材的版权均归原作者所有。如有侵权请告知删除。

(0)
上一篇 2025年11月7日 上午10:21
下一篇 2025年11月13日 下午2:59

相关推荐