

什么是电化学阻抗谱?
电化学阻抗谱是一种通过向电化学系统施加一个微小振幅的正弦波电位扰动,并测量其在不同频率下的电流响应,从而获得系统阻抗随频率变化关系的技术。
本质上,它是交流电路理论在电化学领域的延伸,将复杂的电化学系统类比为一个电路,通过测量其电阻来探究内部发生的各种物理化学过程。

DOI: 10.1039/D1RA03785D


EIS为什么重要?
EIS的重要性在于其能够在一个宽广的频率范围内,将电化学体系中速率差异巨大的多个过程进行有效分离和研究。
例如电解液离子迁移、电极/电解液界面电荷转移、固体电极内离子扩散、SEI膜(固体电解质界面膜)的形成与演变等。这些过程具有不同的时间常数,因而响应于不同频率的交流扰动。
高频区:通常对应于快速过程,如电解液电阻。
低频区:则反映了缓慢的过程,最典型的是质量输运,即扩散过程。



Nyquist图与Bode图
EIS测量的核心是阻抗(Z),一个类似于直流电阻但适用于交流电路的复数量。它由实部(Z’)和虚部(Z”)组成:

其中,ω=2πf:角频率;j是虚数单位。

DOI: 10.3390/batteries4030043
Nyquist图
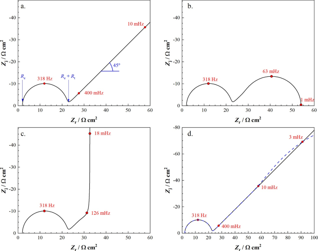
以阻抗的实部(Z’)为横坐标,虚部的相反数(-Z”)为纵坐标绘制的曲线。奈奎斯特图的形状(如半圆的直径、直线的斜率)直观地反映了系统内的不同电化学过程。
例如,一个半圆通常代表一个由电阻和电容并联组成的弛豫过程(如电荷转移),而低频区的斜线则常与扩散过程(Warburg阻抗)相关。

DOI: 10.1021/acsmeasuresciau.2c00070
Bode图
由两部分组成:一部分是阻抗模量(|Z|)与频率的对数作图;另一部分是相位角(φ)与频率的对数作图。Bode图的优势在于它清晰地展示了阻抗和相位角随频率的依赖关系,有助于区分不同时间常数的过程,并能更容易地评估数据的质量。

DOI: 10.1039/D1RA03785D
例如,锂电池的Bode相位图在100Hz和0.1Hz处各有1个相位谷,分别对应电荷转移过程(中频段)和扩散过程(低频段),可精准确定两个过程的频率范围。

为了从抽象的阻抗谱中提取定量的物理化学信息,最常用的方法是构建等效电路模型。
该方法将复杂的电化学系统类比为由简单的电子元件(电阻R、电容C、电感L等)组成的等效电路。通过将实验数据拟合到选定的ECM,可以获得各元件的参数值,这些参数值与具体的物理化学过程直接关联。

DOI: 10.3389/fenrg.2023.1132876
溶液电阻(Rs):代表工作电极和参比电极之间电解质的电阻,通常表现为Nyquist图在高频区与实轴的交点。
电荷转移电阻(Rct):描述电极/电解质界面处电化学反应的阻力。Rct的大小与反应动力学快慢直接相关,其倒数与交换电流密度成正比,是评估电极活性和催化性能的关键参数。
SEI膜电阻(RSEI):特指锂离子电池中SEI膜的离子传导电阻。

DOI: 10.1021/acs.chemrev.1c00876
双电层电容(Cdl):描述电极/电解质界面处形成的双电层的储能特性。
Warburg阻抗(W):用于描述半无限扩散过程,即电化学活性物质在电极内部的质量输运。在奈奎斯特图中,它表现为一条与实轴成45°角的直线。

DOI: 10.1021/acs.chemrev.1c00876
恒相元件(CPE):由于电极表面的不均匀性、粗糙度或多孔性,实际的双电层行为往往偏离理想电容。CPE被用来更精确地描述这种弥散效应。其阻抗表达式为:

其中,Q是一个与电容相关的参数,n为弥散系数(0≤n≤1)。
当n=1时,CPE等效于一个理想电容;当n=0时,CPE等效于一个理想电阻;当 n 介于0.5和1之间时,它描述了一个有弥散效应的电容;当 n=0.5 时,它描述了一个扩散过程。

DOI: 10.3389/fenrg.2023.1132876


电化学阻抗的应用
电池
EIS是研究锂离子电池性能衰减机制的利器。通过对不同充放电状态(SOC)和循环寿命下的电池进行EIS测试。
(1)监测SEI膜的演化:SEI膜的阻抗通常在Nyquist图的中频区表现为一个半圆,其大小和演化趋势反映了SEI膜的厚度、电导率和稳定性。
(2)评估电荷转移电阻:中高频区的半圆与电荷转移电阻(Rct)相关,其变化可以揭示电极材料的活性衰退情况。

DOI: 10.1002/ente.201600154
(3)分析离子扩散:低频区的斜线(Warburg阻抗)用于计算锂离子在电极材料中的扩散系数,这是评估电池倍率性能的关键参数。
(4)状态诊断电池状态:电池的阻抗谱特征与荷电状态(SOC)和健康状态(SOH)密切相关。例如,随着电池老化,通常会观察到SEI膜增厚和电荷转移动力学变慢,这在奈奎斯特图上表现为高频和中频半圆的显著增大。

DOI: 10.3390/batteries9070351
(5)老化机理分析:EIS能够解耦不同的老化机制。例如,锂损失和活性物质损失虽然都会导致容量衰减,但在EIS上表现不同。RSEI的增加主要与锂损失有关,而Rct的增加和双电层电容的减小则更多地指向电极材料的结构破坏或表面失活。

DOI: 10.3389/fenrg.2023.1132876
金属腐蚀与防护
EIS是腐蚀科学中应用最广泛的技术之一。它可以在不干扰腐蚀过程的情况下,原位、实时地监测金属的腐蚀行为。
(1)腐蚀速率测量:通过拟合低频区的阻抗数据,可以得到极化电阻(Rp)。根据Stern-Geary方程,Rp与腐蚀电流密度(icorr)成反比,因此可以定量计算腐蚀速率。

其中,icorr腐蚀电流密度;Rp极化电阻,由电化学阻抗谱(EIS)或极化曲线测得,反映电极过程偏离腐蚀电位时的电阻性极化阻力,Rp越大,腐蚀电流越小,腐蚀速率越慢。βa:阳极Tafel斜率;βc:阴极Tafel斜率。

DOI: 10.1007/s00604-024-06550-7
(2)评估涂层性能:对于带有防护涂层的金属,EIS可以穿透涂层,探测涂层/金属界面。通过监测涂层电容和孔隙电阻随时间的变化,可以评估涂层的吸水率、缺陷产生以及防护失效过程。

DOI: 10.1021/acs.chemrev.1c00876
(3)缓蚀剂机理研究:通过比较添加缓蚀剂前后EIS谱图的变化,可以判断缓蚀剂是通过吸附在金属表面增加电荷转移电阻(抑制反应),还是通过形成致密膜层来起作用。

DOI: 10.1016/j.molliq.2023.122242
【高端测试 找华算】
华算科技是专业的科研解决方案服务商,精于高端测试。拥有10余年球差电镜拍摄经验与同步辐射三代光源全球机时,500+博士/博士后团队护航,保质保量!
🏅已助力5️⃣0️⃣0️⃣0️⃣0️⃣➕篇科研成果在Nature&Science正刊及子刊、Angew、AFM、JACS等顶级期刊发表!
👉立即预约,抢占发表先机!

