说明:本文华算科技介绍了活性位点的概念及作用,强调其独特电子结构和几何构型对反应的决定性影响。同时,详细阐述了电化学阻抗谱(EIS)的原理及其在分析活性位点中的应用,包括通过频率响应分析识别活性位点、判断位点活性、区分多类型位点响应机制、解耦不同位点的频率响应,以及原位EIS追踪位点演化等方法。


电化学阻抗谱(EIS)是一种基于频率响应分析原理的表征技术,广泛应用于探测电极/电解质界面处的物理与化学过程。
其核心思想是通过在工作电极上施加小幅度交流扰动电压,测量对应的电流响应,并以复阻抗(Z)表示整个体系对外加扰动的响应能力。
该复阻抗可表示为实部Z’与虚部Z”的组合,分别代表能量耗散与能量储存过程,其随频率变化的特性反映了体系中不同过程的动力学行为。

图1. A) 等效电路A。对应于电路A的Bode图和Nyquist图分别如(C)和(E)所示。B) 等效电路B。对应于电路B的Bode图和Nyquist图分别如(D)和(F)所示。DOI: 10.1039/d1cp02370e
在电化学体系中,不同的界面过程(如电荷转移、电容充放、电解质扩散等)具有不同的响应时间常数,对应于阻抗谱图中不同频率区域的特征。
高频区域通常反映溶液电阻与双电层电容行为,中频区域与电荷转移过程密切相关,而低频区域则反映扩散过程或伪电容行为。
通过对Nyquist图、Bode图或频率相位响应图的解析,EIS能够实现对复杂电化学系统中多个耦合过程的时域分离与定量分析。

图2. EIS 阻抗谱在Nyquist图与Bode图中的典型表示及频率区间含义。DOI: 10.33961/jecst.2019.0052


在电催化、能源转化及表界面科学等多个研究领域中,活性位点(Active Site)是指材料表面或界面中能够直接参与反应、决定反应路径与反应速率的微观结构单元。
其本质是一类具备独特电子结构、几何构型和表面配位环境的局域区域,能够对反应物分子的吸附、活化及转化过程产生决定性影响。
活性位点的性质决定了整个材料体系的催化性能,其电子密度分布、能级结构以及与反应物之间的相互作用决定了反应的动力学参数,包括反应速率常数、反应路径选择性以及活化能屏障等。

图3. 过渡金属–氮–碳(M–N–C)体系中单原子活性位点的结构示意图。DOI: 10.1038/s41467-019-10622-1
从原子尺度来看,活性位点通常表现为晶格缺陷、边缘结构、配位不饱和原子、掺杂异质原子或金属簇等多种形式,其结构特征导致其局部电子态发生偏离体相平均态的行为。
这种局域电子结构的扰动使其具有与反应物分子之间形成强相互作用的能力,从而诱导反应物在该位点处发生电荷转移、键断裂或键重组等关键反应步骤。


频率响应解析中的活性位点识别原理
活性位点的电化学行为表现为界面电荷转移动力学的差异,EIS通过对频率域响应的高分辨率解析,实现对活性位点存在性、分布状态及动力学参数的间接提取。
其主要依赖于对中频区与低频区电荷转移阻抗(Rct)、双电层电容(Cdl)以及扩散阻抗(Zw)的变化规律进行建模与拟合。

图4. 展示了实验与模拟的阻抗谱图,并给出了用于描述该电化学系统的简化Randles等效电路。DOI: 10.3390/s21196578
电荷转移阻抗与电容如何判断位点活性?
电荷转移阻抗是反映界面电子迁移难易程度的关键参数。高催化活性的活性位点常伴随Rct的下降,在Nyquist图中体现为半圆弧半径的缩小,代表电子转移加快。双电层电容的变化则可反映表面活性位点的电荷积累能力与局部吸附能力,其升高通常与表面极化位点的密度增加相关。

图5. 不同电荷转移电阻与电容参数对 Nyquist 图半圆特征的影响示意。DOI: 10.1038/s41598-021-00001-6
非理想电容建模揭示活性位点分布特征
由于活性位点通常分布不均,表现出界面非均一性,EIS需引入分布参数模型加以表征。CPE所反映的非理想电容行为,其指数 n 的偏离程度可视为活性位点分布均匀性的度量。
在此基础上,可利用分数阶模型建立更贴近实际的非均匀界面模型,对不同位点之间的反应行为进行差异化分析。

图6. 典型体系在不同处理条件下的Bode图。DOI: 10.1038/s41598-020-74925-w
如何区分多类型活性位点响应机制?
进一步的分析工具如分布松弛时间(DRT)方法可对阻抗谱中的多时间常数进行反卷积处理。该方法通过构建阻抗贡献对松弛时间的分布图谱,实现不同类型活性位点在频域中的分离,揭示其对应的动力学特征。
这一方法对包含多种催化中心的体系尤其有效,可区分协同催化、串联反应路径或竞争性吸附等机制。

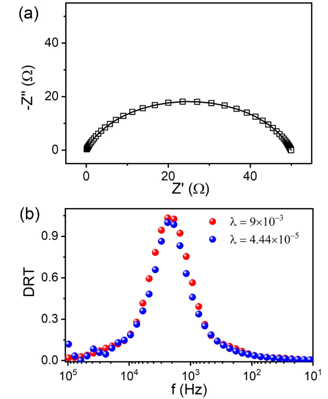
图7. 单一松弛过程的Nyquist阻抗谱及其对应的DRT谱图示例。DOI: 10.1038/s41598-021-91871-3
如何解耦不同位点的频率响应?
在多相复合材料体系中,EIS亦可通过多频率分析与主成分提取(如PCA、FA等多变量方法),实现不同相中活性位点对整体阻抗谱的贡献分离。
各相之间因电导率、电容行为与吸附特性差异,在频谱图中具有区分度,结合频率响应趋势与建模参数变化可反推出各结构组分的界面性质与电化学活性。

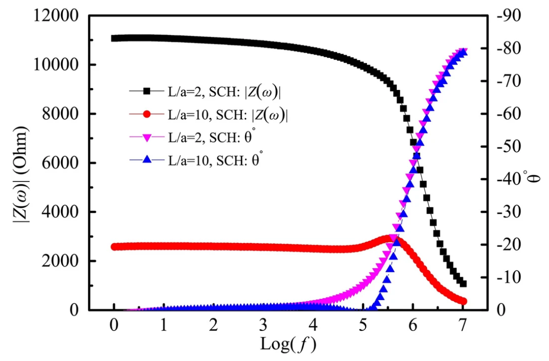
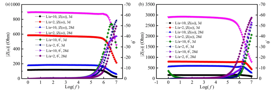
图8. 不同几何参数(L/a值)下测得的Bode图,对应多种结构构型下体系阻抗随频率的响应差异。DOI:10.1038/s41598-020-74925-w
原位EIS追踪位点演化
EIS还可用于表征活性位点的动态变化过程。通过原位或准原位的EIS测试,在不同偏压、电解质条件或反应状态下捕捉阻抗谱图的演变,可实时追踪活性位点的结构重构、电荷耗散变化与稳定性特征,反映其在工作状态下的可逆性与响应性能。

图9. 用于动态活性位点研究的“表征工具箱”示意图,其中包含原位/准原位EIS、时间分辨谱学及同步辐射技术等多种手段。DOI: 10.1039/d4ee02365j
实验与理论结合
为实现对活性位点的准确解析,EIS实验需辅以高稳定性的测量平台、低噪声的数据采集系统及高保真度的频率扫描策略。同时,在模型构建过程中,应以反应机理为导向,结合第一性原理计算或同步辐射表征等手段对拟合参数进行物理意义约束,以确保对活性位点行为的合理解释。

图10. 原位/操作条件下光谱电化学表征与理论拟合相结合解析活性位点的示意。DOI:10.1038/s41467-025-57563-6
【高端测试 找华算】
华算科技是专业的科研解决方案服务商,精于高端测试。拥有10余年球差电镜拍摄经验与同步辐射三代光源全球机时,500+博士/博士后团队护航,保质保量!
🏅已助力5️⃣0️⃣0️⃣0️⃣0️⃣➕篇科研成果在Nature&Science正刊及子刊、Angew、AFM、JACS等顶级期刊发表!

