说明:本文华算科技主要讲解电化学阻抗谱(EIS)相关知识,理清阻抗、电容、扩散三大核心参数的定义、关键公式,包含Nyquist图与Bode图的系统性解读方法,帮助读者掌握EIS曲线的核心分析逻辑与实际应用要点。

电化学阻抗谱(EIS)是一种通过向电化学系统施加一个微小的正弦交流电压或电流扰动,并测量其相应的电流或电压响应来研究电极过程动力学、界面结构和材料特性的电化学测量技术。
其核心思想是,电化学系统对于不同频率的交流信号会表现出不同的响应行为。这种响应不仅仅是简单的电阻,而是一个包含电阻和电抗的复数阻抗。通过在很宽的频率范围内扫描,可以得到一个描述系统阻抗与频率关系的频谱图,即电化学阻抗谱。


阻抗(Z)
电化学体系对交变电流的总阻碍,以复数形式(Z= Z’+ jZ″)表示,实部Z’反映欧姆电阻(电解质、电极、导线)和电荷转移电阻(反应动力学),虚部jZ″反映容抗(界面双电层)或感抗,单位Ω cm²。与纯电阻不同,其数值随频率动态变化,且包含相位信息。

电容(C)
体系存储电荷的能力,核心关联电极–电解质界面双电层(Cdl)或薄膜介电特性,理想电容在Nyquist图中表现为半圆,实际体系因非理想性需用常相位元件(CPE)描述,需通过参数转换获得有效电容(Ceff),单位μF cm⁻²。

DOI: 10.3390/s21196578
扩散(传质过程)
反应物/产物在电解质中的迁移行为,对应EIS中的Warburg阻抗(Zw),反映传质速率限制,其是多步电化学过程的关键限速步骤之一。

DOI: 10.1016/j.electacta.2021.139460
重要性
EIS曲线的阻抗、电容、扩散参数,分别对应电化学系统的电荷传输能力、界面结构特性及质量传输效率,三者的组合分析能完整勾勒系统的动态行为。
阻抗:直接反映体系总阻力,比如电池的内阻、腐蚀体系的反应阻力,是评估性能的核心指标。

DOI: 10.1016/j.est.2025.119127
电容:关联界面完整性,比如电极表面成膜会导致Cdl变化(例如铂电极浸泡后Ceff从14.4μF cm⁻²升至21.4μF cm⁻²,对应表面膜形成)。
扩散:揭示传质限制,比如电池高倍率放电时的容量衰减、生物传感器的检测灵敏度,均与扩散速率直接相关。

DOI: 10.1016/j.jpowsour.2025.237665
以锂电池为例:SEI膜生长会导致Re和Rt增大,Cd减小;锂离子扩散受阻会使低频区Warburg阻抗斜率偏离45°,这些变化可提前预警电池衰减。

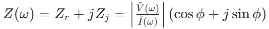
阻抗核心公式

ω=2πf(f为频率),ϕ为相位角(反映电流与电压的相位差)。Nyquist图中实部Z’-虚部jZ″的轨迹直接对应不同频率下的阻抗特性。高频区反映电解质欧姆电阻(Rs);中频区半圆直径对应电荷转移电阻(Rct),直接关联电极反应动力学;低频区反映扩散表现为斜线。

DOI: 10.5796/electrochemistry.22-66071
电容核心公式
理想电容(特征频率法):

fc是Nyquist图高频半圆顶点对应的频率,Re是欧姆电阻,可直接从高频截距读取。

DOI: 10.5796/electrochemistry.22-66071
实际体系(CPE转换,Brug公式):

Q和α是CPE的拟合参数,α=1时退化为理想电容,Rt是电荷转移电阻,CPE是解决非理想电容的关键,如多孔电极、表面不均匀体系。

DOI: 10.5796/electrochemistry.22-66071
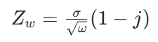
扩散核心公式
半无限扩散:电解液体积足够大,扩散无边界限制,Nyquist图表现为低频区45°直线。

ω为角频率,σ为Warbur系数,与扩散系数D成反比,45°线的斜率反映扩散阻力大小,斜率越大扩散越慢。
有限扩散:扩散受限于薄膜或多孔结构,低频区45°线偏离。

DOI: 10.5796/electrochemistry.22-66071

看阻抗
(1)Nyquist图识别
高频区:与Z’轴的截距=欧姆电阻Re(体系固有阻力,不含界面和扩散)。
中频区:半圆的直径=电荷转移电阻Rt(反映电极反应难易,直径越大反应越慢)。
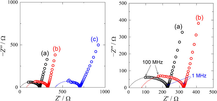
低频区:若为直线,对应扩散控制;若为圆弧,可能是有限扩散或二次界面反应。

DOI: 10.1038/s43586-021-00039-w
(2)Bode图识别
模量|Z|:随频率降低而增大,低频区|Z|越大,扩散或界面阻力越强。
相位角ϕ:高频区ϕ→0°(纯电阻),中频区ϕ→-90°(纯电容),若出现-45°平台,对应扩散控制(Warburg区)。

DOI:10.33961/jecst.2019.00528
看电容
(1)Nyquist图识别
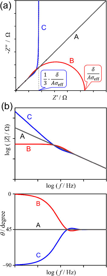
理想电容:在Nyquist图上表现为一条垂直于横轴的直线。这是因为其阻抗实部为0,只有虚部。

DOI: 10.5796/electrochemistry.22-66080
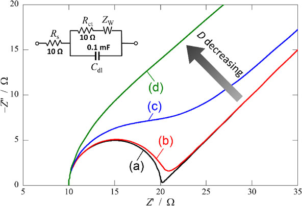
RC并联电路(Randles模型):这是最经典的电化学界面模型,其Nyquist图是一个标准的半圆形。半圆的顶点频率(fmax):半圆最高点对应的频率满足关系ωmax=1/(Rct·Cdl)。因此,一旦从图中读出Rct和fmax,就可以计算出双电层电容Cdl。
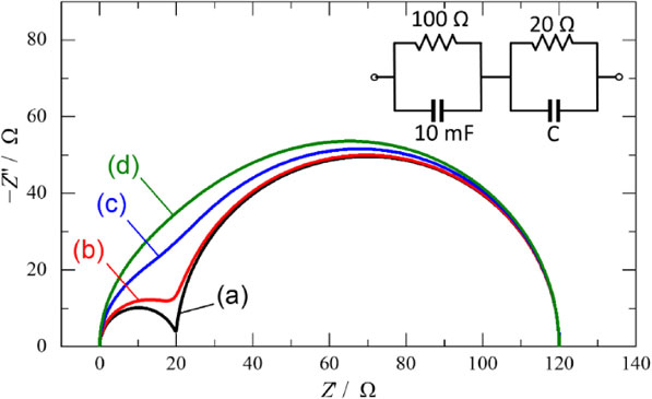
CPE的影响:当系统中存在CPE时,Nyquist图中的半圆会变成一个压扁的或下沉的半圆。半圆的圆心会沉降到横轴下方,压扁的程度与n值相关,n值越小,半圆越扁。

DOI: 10.5796/electrochemistry.22-66080
(2)Bode图识别
Bode模量图(log|Z| vs. logf):在一个由电容主导的频率区间,log|Z| vs. logf图会呈现一条斜率为-1的直线。通过这条斜率为-1的直线,可以估算电容值。
Bode相位角图(φvs. logf):理想电容:相位角在所有频率下都恒为-90°。
RC并联电路:相位角会呈现一个V形或U形的峰。在极高频和极低频时,电阻行为占主导,相位角趋近于0°。在中间频率,电容效应最显著,相位角趋近于-90°。
CPE的影响:相位角的峰值将不会达到-90°,而是达到一个与n值相关的最大值。

DOI: 10.5796/electrochemistry.22-66080
看扩散
(1)Nyquist图识别
45°斜线:半无限扩散的典型标志(Warburg阻抗)。
垂直尾线:有限扩散层导致离子在边界积累,形成容性响应。
压缩半圆:异常扩散或非均匀离子传输引起(如固态电解质界面SEI层)。

DOI: 10.1021/acsmeasuresciau.2c00070
(2)Bode图识别
相位角曲线:在低频区,通常,相位角趋近于-45°半无限扩散;或-90°有限扩散。
多体系区分:电解质扩散与固相扩散在Bode图中可通过相位角拐点分离,例如:电解质扩散主导频率:10-100mHz;固相扩散主导频率:。

DOI: 10.21577/1984-6835.20220114
【高端测试 找华算】
华算科技是专业的科研解决方案服务商,精于高端测试。拥有10余年球差电镜拍摄经验与同步辐射三代光源全球机时,500+博士/博士后团队护航,保质保量!
🏅已助力5️⃣0️⃣0️⃣0️⃣0️⃣➕篇科研成果在Nature&Science正刊及子刊、Angew、AFM、JACS等顶级期刊发表!
👉立即预约,抢占发表先机!

