终于有人把“塔菲尔(Tafel)曲线”讲清楚了!

说明:塔菲尔曲线是评估催化反应速率与机理的关键手段。本文将系统说明塔菲尔曲线的基础定义、核心公式、典型应用场景、分析方法,并介绍塔菲尔斜率图的构成和解读
终于有人把“塔菲尔(Tafel)曲线”讲清楚了!
终于有人把“塔菲尔(Tafel)曲线”讲清楚了!

一、塔菲尔曲线是什么?

 

塔菲尔曲线描述电催化反应中过电位(η)与电流密度(j)对数关系的曲线,核心指标为塔菲尔斜率(b)。
本质为斜率表示电流密度每提升10倍所需增加的过电位,单位为mV/dec。
斜率越小,催化剂活性越高(只需较小过电位即可达到高电流密度)。满足特定条件时,斜率可直接揭示反应的决速步。
典型应用场景:析氧反应、析氢反应、二氧化碳还原反应、催化剂性能对比。
终于有人把“塔菲尔(Tafel)曲线”讲清楚了!
酸性 HER 在 Pt 上的 Tafel 斜率图。DOI:10.1021/acsenergylett.4c00266
终于有人把“塔菲尔(Tafel)曲线”讲清楚了!
终于有人把“塔菲尔(Tafel)曲线”讲清楚了!

二、塔菲尔曲线的核心公式

 

塔菲尔曲线的定量分析基于经典塔菲尔方程及拓展形式,适用于不同测试技术。

1.基础方程(适用于 LSV/CA/CP 测试)

塔菲尔曲线描述的是电流密度(j)与过电位(η)之间的对数关系,其数学表达式为:
终于有人把“塔菲尔(Tafel)曲线”讲清楚了!
参数含义:η 为过电位(mV),a 为交换电流密度相关常数,j 为电流密度(mA/cm²),b 为塔菲尔斜率(mV/dec)。
计算方式:对 η 与 log (j) 进行线性拟合,拟合直线的斜率即为 b 值,R² 值反映线性相关性(需≥0.99 以上保证可靠性)。
终于有人把“塔菲尔(Tafel)曲线”讲清楚了!
不同电位窗口对Tafel斜率图的影响(OER)。DOI:10.1021/acsenergylett.4c00266

2.核心理论方程

塔菲尔曲线由瑞士化学家 Julius Tafel通过析氢反应实验首次实证推导,后被证实是巴特勒 – 沃尔默方程(Butler–Volmer equation)的简化形式。(巴特勒 – 沃尔默方程在高过电位下可简化为塔菲尔方程)
巴特勒 – 沃尔默方程的方程表达式为
终于有人把“塔菲尔(Tafel)曲线”讲清楚了!
参数含义:i:净电流密度(A/m²),正向反应(氧化)与逆向反应(还原)的电流密度差值。i0交换电流密度(A/m²),过电位为 0 时的电流密度,反映反应本征速率与可逆性。αa、αc阳极、阴极电荷转移系数(无量纲),描述电荷转移过程对称性,通常取值在 0~1 之间,单电子反应中常近似为 0.5。n:反应转移的电子数(无量纲),由具体电极反应决定。F:法拉第常数,表征1摩尔电子的电荷量。η:过电位(V),实测电位与平衡电位的差值(η = E – E₀)。R:通用气体常数。T:绝对温度(K),通常取298 K(常温)。
终于有人把“塔菲尔(Tafel)曲线”讲清楚了!
塔菲尔图(Tafel plot)、塔菲尔方程与 Butler–Volmer 方程。DOI:10.1002/elsa.202260002

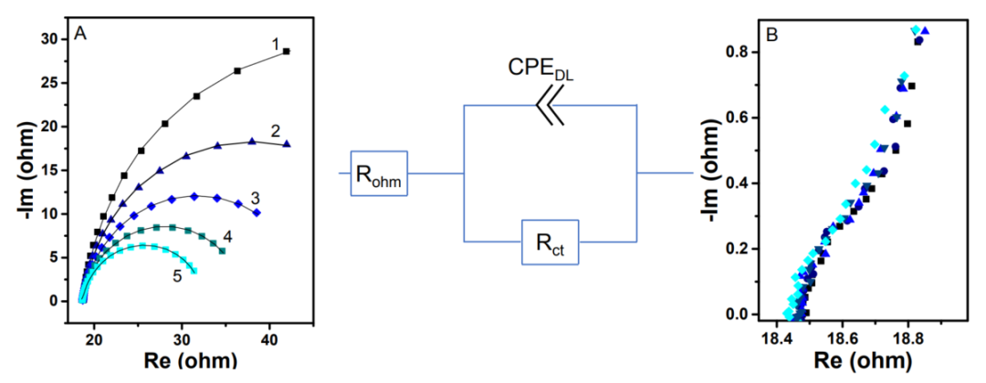
3.阻抗谱(EIS)衍生公式

当稳态电流难以稳定测量时,可通过阻抗数据间接计算斜率,与 LSV/CA 结果交叉验证,阻抗谱(EIS)公式如下:
终于有人把“塔菲尔(Tafel)曲线”讲清楚了!
参数含义:Rct 为电荷转移电阻(Ω),通过 EIS 测试拟合等效电路获得。
终于有人把“塔菲尔(Tafel)曲线”讲清楚了!
扩展区域的电化学阻抗谱(EIS)结果。DOI:10.1021/acsenergylett.4c00266
终于有人把“塔菲尔(Tafel)曲线”讲清楚了!
终于有人把“塔菲尔(Tafel)曲线”讲清楚了!

三、塔菲尔斜率图是什么?

 

要分析塔菲尔曲线,首先要了解塔菲尔斜率图是什么。
塔菲尔斜率图是一种微分形式的塔菲尔分析方法。
传统的方法是在一段较宽的电位区间内,将过电位(η)对电流密度(log|j|)进行线性拟合,得到一个单一的、平均的塔菲尔斜率值。
塔菲尔斜率图绘制方法则是将测试的电位 – 电流数据划分为多个小区间,逐区间计算局部塔菲尔斜率,再以 “局部斜率” 为纵轴“平均电流密度” 或 “平均电位” 为横轴绘制曲线。
终于有人把“塔菲尔(Tafel)曲线”讲清楚了!
Tafel斜率图的构建示意图。DOI:10.1021/acsenergylett.4c00266
相对于传统方法,塔菲尔斜率图突破了单一线性拟合的局限,把 “整体平均斜率” 转化为 “动态变化的局部斜率”,暴露非动力学因素(如传质限制、气泡干扰)对斜率的影响。
研究者可以通过图中的 “水平段” 快速锁定真实动力学斜率,避免将非动力学因素导致的 “伪斜率” 误判为反应本质特征。
终于有人把“塔菲尔(Tafel)曲线”讲清楚了!
不同NaOH浓度下的Tafel斜率图。DOI:10.1021/acsenergylett.4c00266

如何解读塔菲尔斜率图?

解读的关键在于寻找 “水平区域”
存在水平的平台区域:这表明在该电流/电位范围内,塔菲尔斜率是一个常数。
这个常数值被认为是一个具有根本性、有动力学意义的“本征塔菲尔斜率”。从这个水平区域确定的交换电流密度也被认为是可靠的。
终于有人把“塔菲尔(Tafel)曲线”讲清楚了!
OER 在 NiFeOOH 上的 Tafel 斜率图。A/B展示了 Tafel 斜率随电流密度和电位的变化,存在明显水平区域,表明该区域内 Tafel 斜率具有动力学意义。DOI:10.1021/acsenergylett.4c00266
不存在水平区域(斜率持续变化):这表示在整个测量范围内,不存在一个单一的、有明确机理意义的塔菲尔斜率。
斜率的持续上升或下降,直接反映了上述非动力学效应或复杂动力学效应(如中间体覆盖度变化)的影响。
终于有人把“塔菲尔(Tafel)曲线”讲清楚了!
碱性 HER 与 CO₂RR 的 Tafel 斜率图分析。A/B:无水平区域,斜率随电流上升而持续增大,说明其不具明确动力学意义。C/D: 初始可能接近 120 mV/dec,但迅速上升,无稳定区,表明其动力学分析复杂。DOI:10.1021/acsenergylett.4c00266
终于有人把“塔菲尔(Tafel)曲线”讲清楚了!
终于有人把“塔菲尔(Tafel)曲线”讲清楚了!

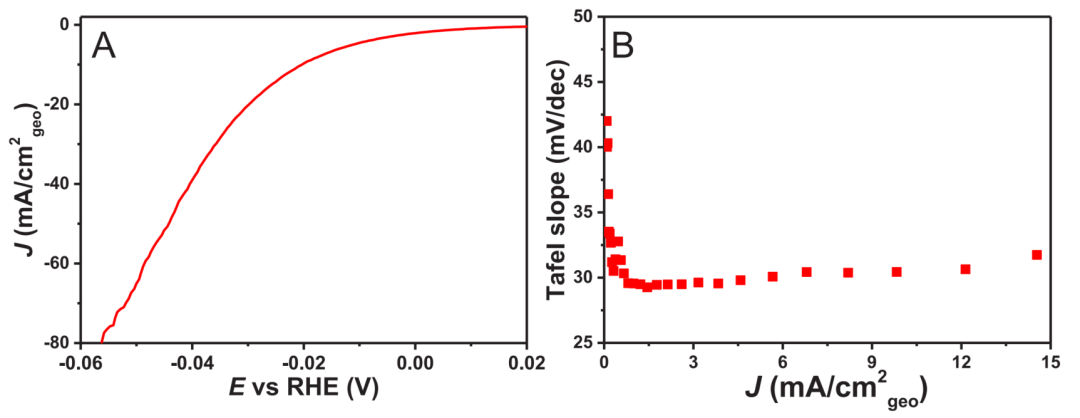
四、如何分析塔菲尔曲线?

 

分析塔菲尔曲线的核心是从 “过电位 – 电流密度对数” 关系中提取可靠动力学参数,排除非动力学干扰,最终关联催化活性与反应机理,需遵循 “数据预处理→参数计算→特征解读→验证确认” 的逻辑流程。

第一步:数据预处理

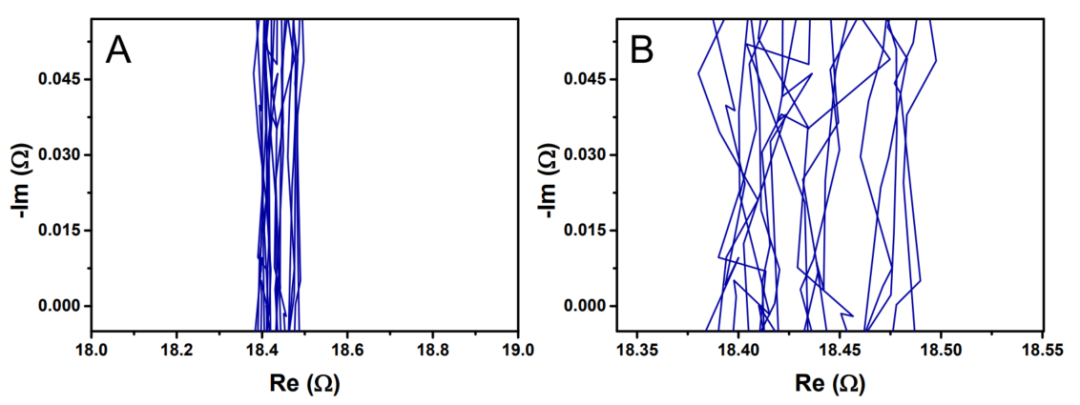
1. 原始数据筛选

研究人员首先需获得 “电位(E)-电流密度(j)” 原始曲线,删除初始电容充电、气泡破裂、催化剂脱落导致的异常峰值或波动数据,保留平稳段数据
终于有人把“塔菲尔(Tafel)曲线”讲清楚了!
气泡对阻抗测量与Tafel斜率的影响。DOI:10.1021/acsenergylett.4c00266

2. 关键校正操作

欧姆电阻(iR)校正:通过EIS测试获得溶液电阻 Rₒₕₘ,计算校正后电位 E(校正) = E(实测) – i×Rₒₕₘ(推荐 85% 原位校正+15% 手动校正,避免过补偿)。
过电位(η)计算:η = E(校正) – E₀(E₀为反应平衡电位)。
电流密度归一化:统一以几何面积或电化学活性面积(ECSA)计算 j(单位:mA/cm²),确保不同催化剂对比的公平性。
终于有人把“塔菲尔(Tafel)曲线”讲清楚了!
欧姆电阻随电位变化(OER)。DOI:10.1021/acsenergylett.4c00266

第二步:参数计算

1. 传统分析方法:全区间线性拟合(适用于简单体系)

对校正后的 j 取常用对数(log (j)),以 η 为纵轴、log (j) 为横轴绘制塔菲尔曲线。
仅选择 “高过电位线性区”(|η| > 0.1 V,且 R²≥0.99)进行线性回归,拟合方程为 η = a + b×log (j)。
塔菲尔斜率b代表拟合直线的斜率,直接反映催化动力学效率
令 η=0 时,通过截距 a 计算交换电流密度 i₀,i₀越大,反应本征速率越快
终于有人把“塔菲尔(Tafel)曲线”讲清楚了!
DOI:10.1021/acsenergylett.4c00266

2. 进阶分析方法:分段微分拟合(适用于复杂体系)

绘制塔菲尔斜率图,找到斜率稳定的 “水平段”,该段斜率即为真实动力学斜率

3. 阻抗谱辅助计算(适用于稳态难维持体系)

通过 EIS 拟合获得电荷转移电阻 Rct,利用关系 η ∝ b×log (1/Rct),以 η 为纵轴、log (1/Rct) 为横轴拟合,间接计算 b 值。
优势:可规避电流波动干扰,与 LSV/CA 结果交叉验证,提升可靠性。
终于有人把“塔菲尔(Tafel)曲线”讲清楚了!
用于Tafel斜率分析的阻抗谱与拟合电路。DOI:10.1021/acsenergylett.4c00266

第三步:特征解读

1. 塔菲尔斜率b的解读:看 “大小” 与 “理论匹配度”

活性判断:b 越小,催化剂活性越高。
机理推导:结合反应电子转移数(n)和电荷转移系数(α),通过理论斜率验证,公式为b = 2.303RT/(αnF)。
直接证据:HER(n=2)反应中,b≈30 mV/dec意味着α≈1(快速电子转移);b≈40 mV/dec意味着α≈0.75;b≈120 mV/dec意味着α≈0.25(对应不同决速步)。
终于有人把“塔菲尔(Tafel)曲线”讲清楚了!
不同碱液对碱性HER的影响(KOH vs LiOH)。DOI:10.1021/acsenergylett.4c00266

2. 交换电流密度 i₀的解读:反映本征活性

i₀是反应可逆性的核心指标,与 b 共同评估催化剂:
理想催化剂:b 小且 i₀大,例如酸性 HER 中 Pt 的 i₀≈1 mA/cm²,动力学快且可逆性好。但注意,单独以 b 或 i₀判断活性不全面
终于有人把“塔菲尔(Tafel)曲线”讲清楚了!
氢气气氛对酸性HER Tafel斜率图的影响。DOI:10.1021/acsenergylett.4c00266

3. 曲线非线性的解读:识别非动力学干扰

若 η-log (j) 无明显线性区,需分析干扰来源。
低电流区非线性是电容电流、催化剂活化过程导致。高电流区非线性是由于传质限制(如反应物扩散不足)、气泡覆盖电极表面。全程非线性则是因为多步反应决速步变化、中间物种吸附 / 脱附竞争。
终于有人把“塔菲尔(Tafel)曲线”讲清楚了!
LSV、CA与EIS在扩展区域的Tafel图对比(OER)。三种方法(LSV、CA、EIS)在相同电流密度附近开始偏离线性,表明该点为动力学区域的上限,之后受非动力学因素(如传质、气泡等)影响增强。DOI:10.1021/acsenergylett.4c00266

第四步:验证与对比

1. 重复性验证:同一催化剂重复测试3次以上,b 值波动≤2 mV/dec、i₀波动≤10%,方可确认数据可靠。
2. 多技术交叉验证:对比 LSV、CA、EIS 三种方法的 b 值,偏差≤2 mV/dec,排除单一技术的系统误差。
终于有人把“塔菲尔(Tafel)曲线”讲清楚了!
分别通过 LSV、CA、EIS 三种方法在该区域计算 Tafel 斜率,结果非常接近,验证了方法的一致性与可靠性。DOI:10.1021/acsenergylett.4c00266
3. 变量控制对比:改变实验条件(如 RDE 转速、电解质浓度、催化剂载量),动力学斜率 b 应基本不变。若 b 随转速变化,说明存在传质限制,需优化测试条件。
4. 文献数据对标:与相同反应、相似条件下的文献数据对比,若 b 值处于合理范围,则机理推导更具说服力。

 

本文源自微信公众号:材料有干货

原文标题:《终于有人把“塔菲尔(Tafel)曲线”讲清楚了!?》

原文链接:https://mp.weixin.qq.com/s/Cpp0VLWIcPfo9DuGuNpNpQ

本转载仅出于分享优质测试干货,旨在传递更多观点,并不代表赞同其全部观点或证实其内容的真实性。文章中所包含的图片、音频、视频等素材的版权均归原作者所有。如有侵权请告知删除。

(0)
上一篇 2025年11月13日 上午10:49
下一篇 2025年11月15日 上午9:00

相关推荐