说明:本文华算科技主要介绍了电化学双电层研究的多种方法,包括电容测量法、循环伏安法与计时电流法、吸附质量的测定以及扫描隧道显微镜(STM)及相关方法,并详细阐述了这些方法的原理、操作过程及应用实例。
电容测量已成为电化学中的重要方法。电阻与电容元件组合形成的等效电路,可描述双电层的电化学特性。对于理想极化电极,其等效电路由双电层电容与欧姆电解质电阻线性组合而成(图1a)。

图1. (a)理想极化电极的等效电路,其中Rel为电解质电阻,Cdl为电极电容;(b)复阻抗随频率变化的奈奎斯特图表示,ω表示角频率。
非理想极化电极的等效电路则具有额外双电层电荷转移电阻,电极等效电路如图2a所示。当需要考虑更多因素时,则需要更复杂的等效电路。例如沃伯格阻抗代表扩散限制作用。最通用的方法可定义传递函数。等效电路元件的确定在电化学研究中至关重要。
电阻与电容组合会产生复阻抗:
Z=Zre+iZim(1)

图2. (a)具有电荷转移过程的电极等效电路,其中Rel为电解质电阻,Cdl为电极电容,Rct为电荷转移电阻;(b)复阻抗随频率变化的奈奎斯特图表示,ω表示角频率。
任何阻抗点都可在复平面中表示(图3)。对于电容而言,其阻抗虚部为负值。

图3. 复平面中阻抗值Z(ω)的图示。
阻抗还可以用指数形式表示为:
Z=|Z|eiϕ(2)
其中|Z|为阻抗模量,φ表示输出与输入之间的相移。两种表示形式的换算关系如下:

Tanϕ=Zre/Zim(4)
欧姆电阻的阻抗为实数量:
ZR=R(5)
电容的阻抗为虚数量:
ZC=-i/ωC(6)
电阻与电容串联组合的阻抗为:
ZS=R-i/ωC(7)
电阻与电容并联组合的阻抗由下式给出:
1/ZP=1/R+i·ωC(8)
图2a中等效电路的阻抗通过ZR和ZC的倒数组合获得。其结果与Zel=Rel进行线性(串联)组合,由此分别得到以下实部与虚部阻抗项Zre和Zim:
Zre=Rel+(Rct/ω2Rct2Cdl2)(9)
Zim=-ωRct2Cdl/(1+ω2Rct2Cdl2)(10)
电化学系统的阻抗测量结果通常采用两种图示法表示。
在奈奎斯特图中,以负虚部(y轴)对实部(x轴)作图。图1a和图2a中等效电路的奈奎斯特图示分别见图1b和图2b。
在伯德图中,以log∣Z∣和∣ϕ∣(y轴)对频率ω的对数(x轴)作图。图4展示了带有电荷转移的双电层等效电路(图2a)的伯德图。

图4. 图2a中等效电路阻抗的伯德图表示。
测量阻抗值随电位变化的标准方法是采用惠斯通电桥(图5)。电化学池置于电桥的一个支路中,第二个支路则接入可变电阻和可变电容。向恒电位仪施加交流电流,在参考电路中通过调节电容和电阻值,直至用交流仪器或示波器测得的电桥电流为零。
现代“阻抗谱仪”可实现在至少五个频率量级范围内自动记录阻抗测量数据。该设备能够分析非常复杂表面结构的电响应特性。

图5. 用于电容测量的惠斯通电桥。电化学池包含工作电极WE、对电极CE和参比电极RE。通过可变电阻RX和可变电容CX平衡电化学池阻抗。R3、R4为固定电阻,Pot表示恒电位仪,AC表示施加的交流电势,Osc表示用于电桥平衡(零电流检测)的示波器。
研究电极-电解质体系电流电位依赖关系的主要方法是循环伏安法。该方法通过恒电位仪以恒定扫描速率ν(单位Vs–1或mVs-1)从电位E1扫描至电位E2,随后反转扫描方向并测量相应电流(图6)。
在能发生电化学过程的电位区间(图6示例如硫酸溶液中的铂电极),可观察到特征峰。峰电位、峰高和峰宽是其关键特征参数。
循环伏安法的显著优势在于能检测表面过程,如吸附、氧化层形成等。
图6阳极扫描中,弱吸附氢(a峰)和强吸附氢(b峰)的氧化反应后,依次出现氢氧根吸附(c峰)和氧化层形成(d峰)。
阴极扫描中,氧化物还原(e峰)后出现铂原子强吸附氢(f峰)和弱吸附氢(g峰)的吸附过程。这些应用使得循环伏安法与表面科学中的热脱附谱学具有高度相似性。
除电流-电位依赖关系外,还可通过对电位峰值在时间尺度上(与电位标度相关联)进行积分,获得电化学过程相关的电荷量。这种应用称为库仑法。

图6. 铂电极在0.5mol·dm-3硫酸溶液中循环伏安法的电位变化及其响应电流。
研究人员开发了薄层电池以降低本体电解质体积与界面体积之比。该方法特别适用于金属离子吸附研究。
下面将详细描述双电极薄层电池(图7):薄层腔室两端分别设置工作电极和发生电极(由吸附在工作电极上的金属构成),参比电极用于控制工作电极电位E和发生电极电位Eg。

图7. 用于测定金属离子吸附等温线的薄层电池原理结构。WE工作电极,GE发生电极,RE参比电极(对研究的金属离子不可逆),V薄层腔室,C保持薄层腔室与外部电解质电接触的通道,E工作电极与参比电极间电位,Eg发生电极与参比电极间电位(需保持恒定),ig工作电极电位阶跃后流经发生电极的电流。
发生电极(金属Me)的电位由金属离子浓度(Mez+)控制。发生电极相对于参比电极保持恒定电位。当改变工作电极电位使金属离子吸附于工作电极时,薄层腔室内的金属离子浓度降低。
此时保持原平衡电位的发生电极将持续生成金属离子,直至恢复平衡。当再次达到平衡浓度时,通过发生电极的电流通量时间积分即表示工作电极上吸附的离子总量。
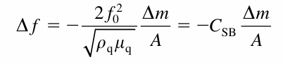
测量吸附质量最有效的方法是石英晶体微天平(QCMB)。其应用基于以下方程:石英晶体共振频率f0的偏移量Δf与晶体质量变化Δm除以面积A的关系式为:

ρq和μq分别表示石英的密度和剪切模量,CSB为索雷布雷常数。
需对石英晶体进行特殊圆片切割才能获得适用的石英晶片,该常数值取决于切割方式——对于AT切割方式,CSB值为226.01Hz·cm²·µg-1。随后在晶片表面镀覆待研究吸附特性的金属层(图8),为增强金属薄膜与石英基底的附着力,需先蒸镀极薄铬层。
该方法受限于蒸镀金属薄膜,因此对结构敏感性表面过程的研究存在不足,但在研究导电聚合物等表面薄膜方面具有极高价值。

图8. 在石英晶体微天平(QCMB)中用作工作电极的石英晶体及石英晶片。
该方法质量变化常伴随次级效应,例如表面粗糙度增加或溶液粘度变化、表面膜的粘度变化等因素。因此除频率偏移外,还会出现共振频率的阻尼和展宽现象,如图9所示。

图9. 石英晶体微天平共振频率的偏移与变化,导纳实部随频率变化关系。f0、w0:初始金电极的共振频率和半峰全宽(FWHM);fa、Wa:形成刚性光滑表面膜(无阻尼)后金电极的共振频率和FWHM;fb、Wb:形成粘弹性/粗糙表面膜(强阻尼)后金电极的共振频率和FWHM。
为测定频率偏移和阻尼,需使用频率分析仪。这种附加阻尼可通过复频移表示,其值由半峰全宽(FWHM)的变化量Δω确定。
Δf*=Δf+i(Δω/2)(12)
随着扫描隧道显微镜(STM)的发展,对固体电极界面进行原位结构研究已成为可能。该方法基于金属探针与电极之间的隧道电流,通过该电流在原子尺度上控制探针与电极表面的距离。
当探针与表面间距近至电子轨道开始重叠时,隧道电流开始产生,因此该方法原则上能在原子尺寸范围内扫描表面(图10)。
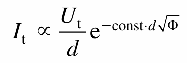
隧道电流It与最近端探针原子和表面原子间距d呈指数关系:

Ut为施加电压。该函数:
Φ=1/2(φt+φm)(14)
此为探针与金属样品功函数的平均值。

图10. 扫描隧道显微镜的基本工作原理。
在电化学领域,原子力显微镜是是STM的重要替代技术,尤其在研究非金属样品时更具优势。该方法利用探针与表面间的原子吸引力来控制间距,通过如图11所示的激光装置检测悬臂梁的偏转。

图11. 原子力显微镜的基本工作原理:悬臂梁探针在表面进行扫描,通过光学检测装置追踪表面原子吸引力引起的探针位置变化。
电化学扫描显微镜采用超微电极在表面进行扫描并测量电化学电流。如图12所示,电极直径处于10微米量级。
该方法的优势在于可对电极表面反应活性进行局部成像,并揭示其与表面形貌的依赖关系——特别是当与STM同步成像技术联用时更具价值。

图12. 电化学扫描显微技术:将绝缘处理的微电极以恒定距离在电极表面扫描,并监测局部电化学电流。(1)微电极,(2)绝缘层,(3)活性电极区域,(4)非活性电极区域。
【高端测试 找华算】
华算科技是专业的科研解决方案服务商,精于高端测试。拥有10余年球差电镜拍摄经验与同步辐射三代光源全球机时,500+博士/博士后团队护航,保质保量!
🏅已助力5️⃣0️⃣0️⃣0️⃣0️⃣➕篇科研成果在Nature&Science正刊及子刊、Angew、AFM、JACS等顶级期刊发表!
👉立即预约,抢占发表先机!