自旋是电子、质子等微观粒子固有的角动量,与粒子的空间运动无关,是量子力学特有的内禀属性。类比经典力学中的角动量,自旋态用于描述粒子自旋角动量的量子化状态。
对于电子而言,其自旋角动量的取值是量子化的,自旋量子数s=1/2,对应的自旋角动量大小为S=√[s(s+1)]ħ(其中ħ=h/(2π),h为普朗克常数)。

图1:电子自旋量子态的布洛赫球(Bloch sphere)示意图 DOI:10.3390/ma16072561
电子自旋在空间某一方向(如外磁场方向z轴)的投影同样量子化,其取值由自旋磁量子数mₛ决定,mₛ=±1/2,对应两个自旋态:自旋向上(|↑⟩)和自旋向下(|↓⟩)。这两个正交的自旋态构成了二维希尔伯特空间的一组基矢,是自旋电子学与量子计算中信息载体的核心单元。
如图球面北极和南极分别对应基态|0⟩与激发态|1⟩,两极可类比电子的自旋“向上”和“向下”态,球面上任意一点表示两自旋本征态的量子叠加,自旋态矢量的极角和方位角分别对应态的幅度和相位。
这一几何表示直观体现了自旋态的二维希尔伯特空间结构和“二能级体系”本质。

图2 :自旋 1/2 粒子(自旋量子比特)的 Bloch 球表示示意图。DOI:10.1038/s41534-023-00716-6
自旋态的演化遵循量子力学规律,其核心由自旋角动量算符描述。自旋角动量算符Ŝ=(Ŝₓ, Ŝᵧ, Ŝz)满足角动量对易关系:
[Ŝₓ, Ŝᵧ]=iħŜz,[Ŝᵧ, Ŝz]=iħŜₓ,[Ŝz, Ŝₓ]=iħŜᵧ
为便于计算,通常采用泡利矩阵(Pauli matrices)表示自旋角动量算符,即Ŝ=(ħ/2)σ,其中σ=(σₓ, σᵧ, σz)为泡利矩阵,其矩阵形式为:
σₓ=⟮0 1; 1 0⟯,σᵧ=⟮0 -i; i 0⟯,σz=⟮1 0; 0 -1⟯
泡利矩阵是自旋态分析的核心工具,例如自旋向上态|↑⟩=(1; 0)是σz的本征态,本征值为+1;自旋向下态|↓⟩=(0; 1)的本征值为-1。
当自旋粒子处于外磁场中时,会产生自旋磁矩与磁场的相互作用(塞曼效应),其哈密顿量为:ĤZ = -μₛ·B。
其中μₛ=-gₛ(qₑ/2mₑ)Ŝ为电子自旋磁矩,gₛ≈2为电子自旋g因子,qₑ和mₑ分别为电子电荷和质量,B为外磁场强度。若外磁场沿z轴方向(B=Bz ẑ),则塞曼哈密顿量可简化为:
Ĥz= (gₛ qₑ ħ / 4mₑ) Bz σz = μB gₛ Bzσz / 2
其中μB=qₑ ħ/(2mₑ)≈9.27×10^-24 J/T为玻尔磁子,是磁矩的自然单位。塞曼效应导致自旋能级分裂,分裂能为ΔE=gₛ μB Bz,这是磁场调控自旋态的物理基础。

图3 :自旋 1/2 电子在外磁场作用下发生 Zeeman 能级分裂的示意图。DOI:10.1038/ncomms8230
自旋态的调控本质是通过外部场或内部相互作用改变自旋系统的哈密顿量,从而实现自旋态在不同本征态之间的转换或相干操控。目前主流调控方法可分为以下几类:
磁场调控
磁场调控基于塞曼效应,是最早且最成熟的自旋调控方法。根据磁场的时间特性,可分为静磁场调控和脉冲磁场调控。
静磁场调控通过施加恒定磁场改变自旋能级分裂大小,实现自旋态的能级排列控制。脉冲磁场调控则利用短脉冲磁场实现自旋态的快速操控。
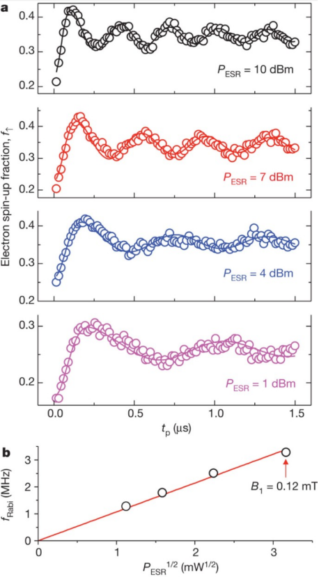
例如静磁场 B₀决定自旋塞曼能级分裂,谐振微波脉冲实现 |↑⟩ 与 |↓⟩ 之间的 Rabi 振荡,π/2、π脉冲对应自旋在布洛赫球上的精确定向,是基于磁场与脉冲序列实现自旋态翻转和相干控制的典型范例。

图4:单原子电子自旋在静磁场与微波/射频脉冲作用下的相干操控示意及 T₁、T₂ 测量结果。DOI:10.1038/nature11449
电场调控
与磁场调控相比,电场调控具有功耗低、易集成的优势,是自旋电子学器件实用化的关键。其核心机制是通过电场调控材料的自旋–轨道耦合强度或磁各向异性,进而改变自旋态的演化。
一种典型的电场调控方式是利用栅极电压调控Rashba自旋–轨道耦合(SOC)。Rashba SOC源于结构反演不对称性,其哈密顿量为:
ĤR = αR(σₓ kᵧ – σᵧ kₓ)
其中αR为Rashba耦合强度,kₓ, kᵧ为电子波矢在x、y方向的分量。通过栅极电压改变材料的界面电场,可调控αR的大小,从而改变自旋分裂的能级结构,实现自旋态的操控。
另一种电场调控机制是磁电耦合效应,即通过电场改变材料的磁各向异性。
下图的栅极电压改变界面电场,从而调控 Rashba 耦合强度与有效自旋磁场 BSO 的大小与方向,引起量子环中自旋几何相位和电导振荡的可控位移,体现了利用电场对自旋能级结构与演化动力学进行低功耗调控的典型路径。

图5: 半导体量子环中 Rashba 自旋–轨道耦合与几何相位的电场调控示意。
光调控
光调控利用光与自旋的相互作用实现自旋态的操控,具有时间分辨率高(飞秒量级)、空间选择性好的优势,是实现超快自旋电子学和量子信息处理的重要手段。其主要机制包括圆偏振光激发、飞秒激光脉冲调控等。
圆偏振光激发基于光的角动量与电子自旋角动量的耦合。当圆偏振光照射到磁性材料时,光子的角动量可转移给电子自旋:左旋圆偏振光(σ⁺)携带+ħ的角动量,倾向于将自旋向下的电子激发到自旋向上态;右旋圆偏振光(σ⁻)携带-ħ的角动量,则倾向于激发自旋向上的电子到自旋向下态。
通过选择不同偏振态的光,可实现自旋态的选择性制备,这种效应被称为“光学取向”。飞秒激光脉冲调控则利用超短脉冲激光的强场效应或热效应改变自旋系统的哈密顿量。
σ⁺/σ⁻ 圆偏振光分别选择性激发不同自旋–谷–层组态的激子,实现自旋与层自由度的协同定向,并在外加垂直电场下表现出可调的自旋分裂与偏振发光,是利用光场实现高选择性、超快自旋态制备与读出的典型实例。

图6:双层 WSe₂ 中基于圆偏振光的自旋/层赝自旋光学取向示意。DOI:10.1038/nphys2848
交换作用调控
交换作用是磁性材料中自旋–自旋之间的固有相互作用,分为铁磁交换(使相邻自旋平行排列)和反铁磁交换(使相邻自旋反平行排列)。通过调控交换作用,可实现自旋体系的集体态操控。
在稀释磁性半导体(DMS)中,磁性离子(如Mn²⁺)的自旋与载流子自旋之间存在sp-d交换作用,其哈密顿量为:
Ĥex = JexS·s
其中Jex为交换耦合常数,S为磁性离子的自旋,s为载流子的自旋。通过调控载流子浓度(如栅极电压或化学掺杂),可改变Jex的大小,进而操控磁性离子的自旋排列,实现铁磁态与顺磁态的转换。
在反铁磁材料中,利用交换偏置效应可实现自旋态的调控。当反铁磁层与铁磁层接触时,反铁磁层的自旋会对铁磁层的自旋产生钉扎作用,通过改变外磁场或温度,可调节交换偏置场的大小和方向,从而操控铁磁层的自旋态。
通过设计 Pinning 层、Free 层与 Control 层之间的交换耦合,并施加外磁场循环或局域调控,可在纳米尺度上重构反铁磁自旋取向,实现基于交换作用的自旋体系集体态操控,为自旋阀、反铁磁自旋逻辑与高密度存储提供结构范式。

图7:层状反铁磁/铁磁多层结构中侧向交换偏置实现 Néel 矢量可控调节的示意图。DOI:10.1038/s41467-025-64700-8
相较于传统的电荷自由度,自旋态作为信息载体具有诸多不可替代的优势,这些优势正推动量子计算、自旋电子学、能源等领域的革命性进展。
量子计算中的高保真信息载体
自旋态的量子叠加性和相干性使其成为理想的量子比特。电子或核自旋的两个能级可直接对应量子比特的|0⟩和|1⟩态,而叠加态可同时承载两种信息,实现并行计算。
与超导量子比特相比,自旋量子比特具有 decoherence 时间长、尺寸小的优势。例如,英特尔公司已实现基于硅自旋量子比特的128比特阵列,为通用量子计算机的研发奠定了基础。
该器件实现了六个自旋量子比特的集成与高保真操控,直观体现了自旋态作为量子比特信息载体时的能级分裂、读出通道与脉冲控制框架,对理解自旋态在量子计算中的高保真与可扩展性具有代表性。

图8: 硅量子点自旋量子比特阵列及其读写控制结构示意图。DOI:10.1038/s41586-022-05117-x
自旋电子器件的低功耗与高速特性
传统电子器件基于电荷的输运,存在焦耳热损耗问题。而自旋电子器件利用自旋态的操控实现信息的存储和处理,无需电荷的大量迁移,功耗可降低1-2个数量级。
图中展示了不同自旋转移扭矩和自旋轨道扭矩存储单元在能量–速度二维参数空间中的分布,突出体现自旋电子器件在低写入功耗与高速开关方面相对传统 CMOS 存储的优势。

图9: 各类自旋存储单元(包括 STT-MRAM、SOT-MRAM 等)的写入能量与开关时间性能对比。DOI:10.1038/s43246-020-0022-5
新型能源转换与存储
图中以自旋流为核心纽带,串联了热(自旋塞贝克效应)、光(自旋光伏效应)、机械振动与声(磁弹性效应、自旋–转动耦合)等多种能量输入,并通过自旋–电荷转换实现对信息与能量的协同管理,形象展示了自旋在新型能源转换与存储中的潜在应用场景。

图10: 基于电子自旋自由度的多能量形式互相转换示意图。DOI:10.1038/s43246-020-0022-5
磁光克尔效应(MOKE)
MOKE是一种光学表征技术,利用磁性材料对偏振光的反射或透射特性与自旋态的关联来探测自旋排列。当线偏振光照射到磁性材料表面时,反射光的偏振面会发生旋转,旋转方向和大小与材料的自旋取向相关。
MOKE具有非接触、高灵敏度的优势,空间分辨率可达微米量级,常用于磁性薄膜的自旋态分布和磁畴结构观测。
图中克尔旋转角随外磁场变化的曲线与磁畴对比度显著依赖层数,直观展示了 MOKE 对自旋取向和磁性层结构的高灵敏探测能力。

图11:利用磁光克尔效应测量二维磁性材料 CrI₃ 的磁滞回线与层数依赖行为。DOI:10.1038/nature22391
电子自旋共振谱(ESR)
ESR通过探测自旋在微波场作用下的共振跃迁来分析自旋态的能级结构和弛豫过程。当外磁场满足塞曼能级分裂与微波光子能量相等时,自旋会吸收微波能量,产生共振信号。
通过分析ESR谱线的位置、强度和线宽,可获得自旋g因子、自旋–自旋相互作用强度、自旋弛豫时间等关键参数,是自旋态动力学研究的重要手段。
其中图 (b) 为 Li₂Ru₀.₇₅Sn₀.₂₅O₃//Li 半电池在开路电位(OCV)和充电至 3.6 V 时的 X-band ESR 谱。
随着外加磁场扫描,当塞曼分裂能量与微波光子能量匹配时,自旋体系发生共振吸收,谱线位置对应 g 因子,峰形和线宽反映自旋–自旋相互作用与弛豫过程,直观展示了 ESR 通过谱线位置、强度与线宽提取自旋动力学信息的基本原理。

图12:电子自旋共振(ESR)谱线的典型特征示意。DOI:10.1038/ncomms7276
【做计算 找华算】
🏅 华算科技提供专业的第一性原理、分子动力学、生物模拟、量子化学、机器学习、有限元仿真等代算服务。
🎯500+博士团队护航,累计助力5️⃣0️⃣0️⃣0️⃣0️⃣➕篇科研成果,计算数据已发表在Nature & Science正刊及大子刊、JACS、Angew、PNAS、AM系列等国际顶刊。 👏👏👏

