说明:本文华算科技解析了循环伏安曲线(CV曲线)不光滑的成因与优化策略,涵盖仪器参数校准、电极表面处理、实验条件控制及材料专用方法等关键环节。读者可掌握提升CV数据质量的实用技术,有效降低噪声干扰、准确解析电化学信号。
循环伏安技术通过施加线性扫描电位并测量响应电流,实现对电极界面电荷转移动力学、物质传输机制及电化学反应可逆性的定量表征。
CV曲线的光滑性不仅是实验操作规范性的直观体现,更是数据解析精度的前提保障。曲线粗糙度增加将导致峰电位定位偏差、峰电流积分误差及基线漂移放大,严重影响电催化活性评估、电极活性面积计算及反应机理推断的准确性。
现有研究揭示,CV曲线不光滑现象本质上是仪器噪声、环境干扰、电极表面异质性及数据处理缺陷等多因素耦合作用的结果。

图1. 典型的CV曲线(插图为电势–时间曲线)。DOI: 10.3866/PKU.DXHX202212024
电位器作为CV测量的核心设备,其参数配置直接决定原始数据质量。优化策略需遵循奈奎斯特采样定理与信噪比最大化原则,实现硬件层面的噪声源头抑制。
采样率、滤波参数如何协同优化?
采样率设置需满足信号带宽与噪声抑制的双重约束。理论上,采样频率应至少为信号最高频率成分的两倍以避免混叠效应。然而,在CV测量中,过高的采样率会引入高频噪声并导致数据冗余,增加后续处理负担。
实践表明,采样率应由扫描速率、电位窗口及电位步长共同决定,形成动态匹配关系。
当扫描速率较低时,适当降低采样率可有效提升信噪比,因数据采集时间的延长具有统计平均效应。
反之,快速扫描条件下需提高采样率以捕捉瞬态电化学响应,但须同步启用低通滤波器限制噪声频带。

图2. 不同扫速时的CV曲线。DOI: 10.3866/PKU.DXHX202212024
滤波器配置是噪声控制的关键环节。商业电位器通常内置模拟滤波电路,用户需明确其截止频率与增益特性。低通滤波器可有效抑制50/60 Hz工频干扰及高频电磁噪声,但截止频率设置过低将导致峰形畸变与动力学信息损失。
研究表明,滤波器参数应根据扫描速率进行自适应调整:快速扫描时采用较高截止频率以保持峰型锐度,慢速扫描时则降低截止频率以增强噪声抑制。
数字滤波(如移动平均、Savitzky-Golay算法)虽可在后处理阶段实施,但同样面临信号失真风险,滤波窗口宽度与多项式阶数需通过信噪比与峰保真度的权衡确定。

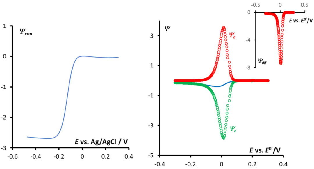
图3. 通过算法分离的阳极(红)与阴极(绿)电流分量及其差值(插图),可在不扭曲峰形的前提下有效提升信噪比。DOI: 10.1038/s41598-024-67840-x
如何正确进行iR补偿与电位控制?
溶液电阻引起的电位降(iR降)是造成曲线变形的系统性误差源,而非随机噪声。然而,iR补偿不当会引入伪影,表现为曲线局部抖动或平台异常。
正反馈iR补偿技术通过实时测量溶液电阻并修正施加电位,可显著改善峰电位分离度与峰形对称性。但补偿过度将导致电位振荡,反而增加曲线粗糙度。
因此,补偿水平应控制在80%-90%之间,并通过电化学阻抗谱(EIS)预先精确测定溶液电阻值。此外,电位器控制精度与数模转换器分辨率密切相关,高分辨率DAC可降低量化噪声,确保电位阶跃的连续性。

图4. 单晶Pt(111)在低电位区的Hads/des与高电位区的OHads/des过程产生一对尖锐的吸脱附峰;当界面存在瞬态吸附/脱附与位点竞争时,峰形与基线更易受扰动,表现为电流尖峰、局部抖动与电荷积累/释放的不稳定性。DOI: 10.1038/s41467-022-30241-7
电缆连接与电磁屏蔽体系
电磁干扰是CV曲线高频噪声的主要外部来源。电缆的分布电容与电感可构成天线效应,耦合环境噪声。应采用同轴电缆并最大限度缩短引线长度,工作电极、参比电极与对电极的线缆需物理分离以避免交叉耦合。
法拉第笼可提供有效的静电屏蔽,将电化学池置于接地金属罩内可显著降低射频干扰与工频噪声。仪器接地需遵循单点接地原则,避免地环路引入共模干扰。对于低电流测量(采用三同轴电缆并在电位器输入端配置低噪声前置放大器。

图5. 电化学测试系统与法拉第笼示意:屏蔽外界工频/射频干扰、规范引线走线与接地方式,是降低高频噪声、减少CV曲线“毛刺”的关键。DOI: 10.1038/s41598-018-20412-2
电极表面异质性是CV曲线不光滑的内在根源。表面污染物、氧化层及微观粗糙度导致电荷转移电阻空间分布不均,表现为电流响应的随机波动。
机械抛光与表面平整化
机械抛光是传统电极预处理的核心步骤。玻璃碳(GC)、铂(Pt)和金(Au)电极通常采用氧化铝或金刚石抛光悬浮液,配合抛光布进行梯度打磨。抛光过程需遵循从粗到细的原则,最终使用0.05 μm粒径的抛光剂以获得镜面光洁度。
然而,机械抛光存在表面划痕残留与操作者依赖性问题,过度抛光可能导致电极几何形状改变。抛光后需在超纯水中超声清洗以去除嵌入的抛光颗粒,否则将成为表面活性位点,引入局部电流噪声。

图6. 碳与铂电极在处理前后CV/EIS的对比:表面平整化与洁净度提升可显著降低阻抗并改善CV平滑度。DOI: 10.1038/srep40332
化学与电化学活化处理
化学清洗通过强氧化剂去除有机污染物。过氧化氢/硫酸混合液可有效氧化表面吸附杂质,但需严格控制处理时间以避免过度腐蚀。
电化学预处理(ECP)通过在高电位区间循环扫描,利用水电解产生的活性氧物种清洁表面并重构表面官能团。
例如,在酸性介质中对金电极施加+1.6 V(vs. RHE)持续数分钟,可去除表面碳污染并生成有序金氧化物层,显著降低CV曲线的背景电流波动。
电化学活化参数(电位上限、扫描圈数、静置时间)需针对电极材料优化,铂电极通常在0.05-1.4 V(vs. RHE)区间循环至曲线稳定。

图7. 电极表面状态对CV的敏感性:铂电极在强碱中经阴极极化处理前后,其氢吸脱附区峰形/峰位显著改变。DOI: 10.1038/ncomms12653
等离子体处理技术
等离子体处理作为非接触式表面清洁技术,展现出优异的可重复性与高效性。氧气等离子体可在室温下分解有机污染物并氧化表面,处理后CV曲线的峰电位差(ΔEp)显著减小,电荷转移电阻降低。
射频功率、气体流量与处理时间是关键参数,功率过高可能导致表面结构损伤。
研究表明,等离子体处理对碳基电极效果尤为显著,因其可在表面引入含氧官能团,增强电化学反应均一性。与机械抛光相比,等离子体处理避免了物理变形,更适合微电极阵列与图案化电极的批量处理。

图8. 氧等离子体对碳基电极表面的刻蚀/活化示意与表征。DOI: 10.1021/acsnano.5b07692
溶液相噪声源于杂质氧化还原反应、气泡吸附及温度波动,需通过体系纯净度维持与环境稳定性控制予以消除。
电解质溶液纯化与除氧
痕量金属离子与有机杂质在电极表面发生副反应,产生宽电位范围的背景电流噪声。电解质盐应选用高纯度(≥99.99%)试剂,并在惰性气氛下重结晶提纯。溶剂(如水、乙腈)需经过去离子与蒸馏处理,电导率应低于0.055 μS/cm。
溶解氧的还原反应在-0.1至-0.8 V(vs. Ag/AgCl)区间产生显著干扰,需通过通入高纯氮气或氩气至少15分钟除氧,并在测量过程中保持溶液上方惰性气体氛围。对于非水体系,需使用分子筛进一步除去微量水分。

图9. 杂质/活性物种引入的“额外峰”干扰。DOI: 10.1038/s41467-022-34303-8
温度与气氛稳定性
温度波动改变扩散系数与反应速率常数,导致峰电流漂移与基线倾斜。电化学池应配备恒温水浴,温度控制精度优于±0.1 ℃。参比电极的电位具有温度依赖性,双盐桥结构可减小温度梯度影响。
此外,溶液pH值漂移会引入噪声,尤其在质子耦合电子转移反应中表现明显,需使用缓冲体系维持pH恒定。

图10. 对比N2与O2饱和条件下的CV曲线表明,溶解氧会引入额外氧化峰并改变基线,从而影响曲线的光滑度与可重现性。DOI: 10.1038/s41467-019-11992-2
不同电极材料的表面化学与物理特性差异显著,需制定针对性预处理方案以实现最佳CV光滑度。
玻璃碳电极(GC)
GC电极表面存在大量边缘平面与缺陷位,易吸附有机物。推荐采用“机械抛光+等离子体处理”组合流程:先用0.3 μm氧化铝抛光至镜面,随后进行氧气等离子体处理(功率50 W,时间2 min),可显著降低ΔEp并提升信噪比。
等离子体处理后表面含氧官能团密度增加,亲水性与电化学均一性同步改善。

图11. GC与Pt电极在电化学窗口、CV与阻抗上的系统对比:经规范预处理后的GC展现更宽电位窗口与低噪声电容性响应,适合作为高信噪比基底。DOI: 10.1038/srep40332
贵金属电极(Au,Pt)
金电极表面易形成自组装单分子层(SAMs),需通过强氧化性酸或电化学氧化去除。预处理后在0.5 M H2SO4中进行循环伏安活化,扫描至氧析出区(+1.6 V)以清洁表面并生成稳定氧化层。
铂电极表面毒化主要由CO类吸附物种引起,通过电位阶跃至高电位(+1.2 V)持续氧化可有效再生。处理后的CV曲线应呈现清晰的氢吸附/脱附峰,峰型尖锐且对称。

图12. 典型Pt电极在酸性介质中的循环伏安特征。DOI: 10.1038/s42004-022-00635-1
碳基复合电极
碳纳米管、石墨烯等碳基电极比表面积高,表面杂质影响更为显著。除传统抛光外,可采用高温退火(400-600 ℃)在惰性气氛中去除无定形碳与含氧基团。
电化学预处理在酸性介质中循环扫描可进一步纯化表面,但需控制电位上限防止结构破坏。对于印刷电极,表面涂覆Nafion或壳聚糖等保护膜可隔离杂质并提升响应均一性。

图13. 等离子/化学路径构筑的三维碳基电极在不同处理参数下的CV响应:改性后界面电荷传递更均一,背景噪声降低,曲线更平滑。DOI: 10.1038/s41598-022-08315-9
【高端测试 找华算】
华算科技是专业的科研解决方案服务商,精于高端测试。拥有10余年球差电镜拍摄经验与同步辐射三代光源全球机时,500+博士/博士后团队护航,保质保量!
🏅已助力5️⃣0️⃣0️⃣0️⃣0️⃣➕篇科研成果在Nature&Science正刊及子刊、Angew、AFM、JACS等顶级期刊发表!
👉立即预约,抢占发表先机!

