说明:本文华算科技系统介绍了电化学阻抗法(EIS)的基本原理、测量方法与数据分析技术,重点阐述了如何通过EIS测量欧姆阻抗、电荷转移阻抗与传质阻抗。
电化学阻抗的测量通常涉及施加一个固定值的已知电压,然后在频率从100 kHz到10 mHz的变化下叠加一个小正弦波形的电压扰动。电流响应对这种施加电压的扰动的幅度和相位变化被测量出来,从而可以推导出阻抗。
激励信号表示为时间函数,通常写成:

Et是时间t处的电势,E0是信号的幅度,ω是径向频率。径向频率a(弧度/秒)与频率f(赫兹)的关系为ω=2πf。

图1 一个以恒定角频率ω旋转的矢量及其对应的正弦信号x(t) = X0 sin(ωt)。DOI:10.1021/acsmeasuresciau.2c00070
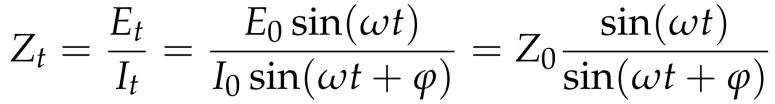
在线性系统中,响应信号It相对于电压扰动有相位偏移(φ):

因此阻抗为:

其中,Z0为阻抗幅度,φ为相位差。
考虑欧拉公式:exp(ix)=cos(x)+isin(x)及sin(ωt)的复相量形式,阻抗可以写成:

可以看出,阻抗可以分为实部和虚部,也可以写成:

阻抗数据通常以复平面图的形式呈现,其中实部Z′在轴上绘制,虚部(Z′′)在轴上绘制,这被称为“奈奎斯特图”(Nyquist Plot)。这种表示方法的优点是,低频下的特征比高频下更为突出,而缺点是频率值不易于直观理解系统的物理模型。

图2 Nyquist图(左)和Bode图(右)的电化学阻抗谱表示。DOI:10.33961/jecst.2019.00528
另一种表示方法是波特图(Bode Plot),其将阻抗幅度和相位角作为对数频率的函数来展示,这样可以显示所有信息,但不如上述方法易于可视化系统在低频下的物理模型。这种波特图表示法主要用于腐蚀研究和材料研究。
电极配置选择
在EIS实验中存在两电极、三电极和四电极配置,最常见的电化学设置是指由工作电极(WE)、参比电极(RE)和对电极(CE)组成的三电极配置。不同电极配置得到代表不同的物理意义的阻抗。
两电极体系通常用于对称电池、超级电容器、全解水或燃料电池等完整器件的性能评估,测量的是整个器件的总阻抗。
三电极体系能够精确控制和测量工作电极的电位,从而分离出工作电极界面的电化学过程,是研究电荷转移和双电层特性的首选。
四电极体系主要用于精确测量电解质的电导率(即欧姆阻抗),通过分离施加电流的电极和测量电压的电极,可以有效消除电极极化和接触电阻的影响。

图3 不同类型的电极装置包括工作电极(WE)、工作感应电极(WS)、对电极(CE)和参比电极(RE)电极的不同连接模式。DOI:10.1021/acsmeasuresciau.2c00070
实验参数设定
交流扰动幅度:EIS技术的一个基本前提是系统响应满足线性关系,为满足此条件,施加的交流扰动幅度必须足够小。
大多数现代电化学分析仪提供的软件可以在阻抗测量期间实时显示Lissajous图形,该图形显示了随时间变化的交流电压和交流电流信号。根据信号的大小以及它们之间的相位差,通常会得到一个椭圆形的图形。当相位差为0°时,图形表现为对角线。
通常,5-10 mV的正弦电压扰动被认为是确保大多数水溶液体系线性响应的安全范围,对于一些高阻抗体系(如有机电解液或涂层),可能需要更大的扰动幅度(例如高达1V)以获得足够的信噪比。

图4 (A)电化学系统对叠加在直流电压Vdc上的低幅值(Vo)正弦信号的响应示意图(B)扰动交流信号与响应交流信号之间相位差分别为0°、45°和90°时对应的李萨如图DOI:10.1021/acsmeasuresciau.2c00070
数据有效性的验证
EIS理论建立在四个基本假设之上:线性、稳定性、因果性和有限性。其线性假设如前所述。

图5 获取EIS测量所需的步骤DOI:10.1038/s43586-021-00039-w
因果性:系统输入信号与响应之间必须存在纯粹的因果关系,即系统响应应完全取决于所施加的扰动。
稳定性:稳定系统在未受外部影响时能保持稳定状态,且当扰动停止后应能恢复至原始状态。
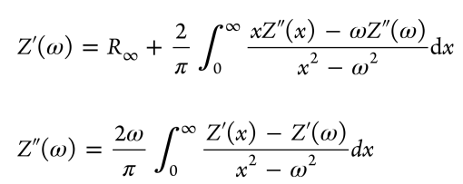
有限性:系统的实部与虚部必须在整个频率范围(0)内具有有限值。这也意味着当频率ω趋近于零或无穷大时,阻抗必须趋近于一个恒定值。
满足K-K关系即可建立阻抗实部和虚部之间的数学联系,其阻抗的实部可以通过虚部在整个频率范围内的积分计算得出,反之亦然。

溶液电阻/欧姆电阻(Rs/RΩ/Ru/Rohm):代表电极之间或工作电极与参比电极之间电解质的电阻。它是一个纯电阻,不随频率变化。
双电层电容(Cdl):描述电极/电解质界面处形成的双电层的储能特性,类似于一个微型电容器。
电荷转移电阻(Rct):描述电极表面发生法拉第反应(即电化学反应)时电子转移的阻力。Rct的大小与反应动力学速率直接相关,Rct越小,反应越快。
Warburg扩散元件(ZW):描述反应物向电极表面或产物从电极表面离开的传质(扩散)过程所遇到的阻力。这是一个频率依赖性元件,在低频区尤为显著。

图6 宽频率范围下的Randles等效电路DOI:10.1021/acsmeasuresciau.2c00070
欧姆电阻RΩ:当频率趋于无穷大时(ω→∞)(对应Nyquist图横坐标左侧),所有电容性元件相当于短路,此时测得的阻抗即为欧姆阻抗。它对应于图谱在高频端与实轴的交点


图7 每个MnO2膜电极的Nyquist图及其对应的RΩ和Rct。DOI:10.32604/jrm.2023.022030
电荷转移阻抗Rct:电荷转移过程通常与双电层电容并联,在奈奎斯特图上表现为一个半圆形。这个半圆在实轴上的直径(或弦长)即为电荷转移阻抗Rct的值。半圆越大,表明Rct越大,反应动力学越慢。


图8 Bare GCE对应着最大的Rct,MWCNTs/Ag-ZnO/GCE对应着最小的Rct。DOI:10.3390/molecules28010049
传质阻抗ZW:在受扩散控制的低频区,Nyquist图通常呈现出一条斜率为1(即与实轴成45°角)的直线,这条直线被称为Warburg阻抗。
通过Nyquist图形解析能够简单识别提供定性信息,即是否存在传质阻抗、其频率范围等,但其定量数值需要通过等效电路拟合得到。如下图所示,从低频区可以发现,LMNC-3(红色线)的斜率最大,说明改性后的材料Li+的扩散速率更大。

图9 LMNC-1、LMNC-2和LMNC-3材料循300圈后的Nyquist曲线。DOI:10.6023/A20070319
虽然图形法直观,但对于复杂的、过程重叠的体系,其精度有限。ECM拟合是一种更强大、更定量的分析方法。它通过构建一个由理想电路元件(电阻、电容、电感等)组成的电路来模拟电化学体系的阻抗行为。

图10(a)自适应Randles等效电路模型(AR-ECM)(b)对应的阻抗谱。DOI:10.3390/en15239251
专业的EIS分析软件有ZView、EC-Lab、MEISP等,他们通过非线性最小二乘法算法(如Levenberg-Marquardt算法)调整模型中各元件的参数值,使模型的模拟曲线与实验数据点之间的误差最小。

图11 实验和模拟阻抗谱显示了简化Randles等效电路的电化学系统。DOI:10.3390/s21196578
常用元件及其物理意义
电阻(R):模拟欧姆电阻(Rs或RΩ)和电荷转移电阻(Rct)。
电容(C):理想情况下模拟电极/电解质界面的双电层电容(Cdl)。
常相位角元件(CPE):由于电极表面粗糙、多孔或反应分布不均,实际的双电层行为往往偏离理想电容。CPE被用来描述这种非理想的、频率依赖的电容行为。
Warburg阻抗(W或Zw):专门用于描述一维半无限扩散过程。对于有限空间内的扩散,则需要使用有限长度Warburg元件(FLW)。
等效电路拟合基础知识
容性界面响应:电极–溶液界面可以被建模为一个电容,代表界面区域中的电荷分离,并且是一个电阻,代表跨过界面的电荷(通常是电子)运动的阻力。在非法拉第区域中,没有电荷转移,仅需电容即可。
这些过程是并行发生的,因为当有电子在界面上移动时,并不存在电荷分离。阻抗测量可以直接反映电极或改性电极–溶液界面的情况。
在没有电极过程发生的应用电位下,溶液侧的电荷会在电极界面处形成有序排列,这通常被称为双层,并且这种电荷会通过足够的电极极化补偿。
等效电路元件是一个电容器,在这种情况下,完整的等效电路RΩ是与双层电容Cdl串联。阻抗图是一个垂直的直线,如下图所示,其阻抗分量由以下给出:


图12 容性界面响应电化学等效电路阻抗图。DOI:10.3390/molecules27051497
电容值也取决于电极的面积,面积越大则电容值越高。典型值为50-100μF/cm²。这有时被称为非法拉第阻抗。
全频范围动力学控制:如果在特定的施加电位下发生电极过程,即由整个频率范围内电极–溶液界面的电荷转移速率控制,则电荷转移表现为一个与双层容量Cdl并联的电阻Rct。
由于电荷转移和电荷分离发生在电极表面的不同位置,因此需要使用复平面图来表示阻抗谱中的半圆直径为Rct,如下图。


图13 全频范围内由动力学控制的法拉第电子转移反应电化学等效电路阻抗图。DOI:10.3390/molecules27051497
低频质量转移控制:半圆的最大值对应于ωRctCdl=1。电荷转移的速率取决于电极的电活性面积,因此Rct值会随着面积的增大而减小。归一化的电阻值以Ω cm2表示。
例如,通过纳米材料对电极进行修饰可能会导致电活性面积大幅增加,并且由于此原因,Rct变得更小。在这种情况下,不能仅凭电子转移率的增加来推断是由于纳米材料的引入所致,必须先补偿电活性表面积的增加。
在某些情况下,可以发生高频率的动力学控制,但由于时间尺度较长,在低频下电荷转移速率由溶液中物种的扩散控制。扩散控制表现为Warburg阻抗,Zw,并对应于复平面上相位角为45°的线。

图14 低频下由质量转移控制的电子转移反应。DOI:10.3390/molecules27051497
非理想双电层:复杂的平面图也不通常提供完美的半圆形。这些半圆是“凹陷”的,而预期的垂直直线以小于90°的角度出现。这种现象的原因可以归因于表面不均匀性和粗糙度,甚至孔隙性,因为每个局部亚微观区域都会产生其自身的RC组合,但我们宏观上观察到的是所有这些贡献的总和。
这通常被描述为频率色散,并且可以通过使用常相位角元件(CPE)在描述物理模型的数学方程中加以考虑。对于非理想电容器,这种情况的形式为:

其中a被称为CP指数,其值在1.0(对于纯电容器)和0.5(对于多孔电极)之间变化。实际上,在电容区域中,裸露的、抛光的玻碳电极(GCE)通常具有介于0.85和0.90之间的CPE指数。

图15 选定的电等效电路中理想电容器响应(虚线)被非理想电容常数相位元件(CPE)(实线)替换后的复平面阻抗图。DOI:10.3390/molecules27051497
【做计算 找华算】
🏅 华算科技提供专业的第一性原理、分子动力学、生物模拟、量子化学、机器学习、有限元仿真等代算服务。
🎯500+博士团队护航,累计助力5️⃣0️⃣0️⃣0️⃣0️⃣➕篇科研成果,计算数据已发表在Nature & Science正刊及大子刊、JACS、Angew、PNAS、AM系列等国际顶刊。 👏👏👏

