BET 分析完整指南:多层吸附原理、核心方程与催化剂 / 吸附材料应用案例汇总

说明:文章华算科技系统梳理了BET的定义、多层吸附原理与三大核心方程,逐一展示IUPAC六类吸附等温线BET/Langmuir比表面积计算BJH/DFT孔径分布单点/t-plot孔容测定方法,并汇总催化剂筛选、吸附材料研发等应用案例。
一、什么是BET分析
BET分析是基于布鲁诺尔-埃梅特-泰勒(Brunauer-Emmett-Teller)多层吸附理论,通过气体吸附-脱附实验数据计算多孔材料比表面积单层吸附容量的经典表征技术,其核心依赖于对吸附等温线的定量解析。
吸附等温线则是恒定温度下,吸附质在吸附剂表面的吸附量与吸附质平衡压力的关系曲线,它不仅能反映吸附剂与吸附质的相互作用强度,更能直接揭示吸附剂的孔结构特征,如孔径大小、孔容分布等,是多孔材料表征的“基础图谱”。
BET 分析完整指南:多层吸附原理、核心方程与催化剂 / 吸附材料应用案例汇总
10.1002/anie.202518458
二、BET分析的核心原理

(1)BET吸附等温方程(基础形式): 

BET 分析完整指南:多层吸附原理、核心方程与催化剂 / 吸附材料应用案例汇总

(2)BET吸附等温方程(线性形式):

BET 分析完整指南:多层吸附原理、核心方程与催化剂 / 吸附材料应用案例汇总

(3) 比表面积计算公式:

BET 分析完整指南:多层吸附原理、核心方程与催化剂 / 吸附材料应用案例汇总
其中,x = P/P0相对压力,反映吸附质在吸附剂表面的覆盖程度;v:单位质量吸附剂的吸附质体积,代表实际吸附量;vm:单层饱和吸附容量;c:吸附热相关常数;A:比表面积;σ:吸附质分子横截面积;Nav:阿伏伽德罗常数。  
物理意义:基础形式方程描述了“单层吸附→多层吸附”的过程,即低相对压力x0.3时,可能出现孔道凝聚,偏离多层吸附假设。
线性形式通过数学变换将非线性关系转化为直线,通过拟合斜率和截距可快速求解vm和c,最终代入表面积公式得到材料的表面特性参数。
BET 分析完整指南:多层吸附原理、核心方程与催化剂 / 吸附材料应用案例汇总
T. Br- α 的单晶X射线结构及吸附等温线。10.1021/jacs.5c11317
三、吸附等温线类型
国际纯粹与应用化学联合会(IUPAC)将吸附等温线分为六大类,每类对应明确的孔结构和吸附机制,是多孔材料表征的入门指南,各类特征及应用场景如下表:
BET 分析完整指南:多层吸附原理、核心方程与催化剂 / 吸附材料应用案例汇总
I型与IV型的核心区别为I型无滞后环,IV型有滞后环;  II型与VI型的核心区别:II型为连续上升,VI型为阶梯上升; 实际实验中,曲线可能因材料纯度、吸附质种类略有偏差,但核心形态如拐点、滞后环、阶梯不变。
四、比表面积计算

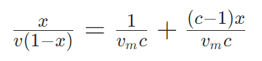
1. BET方程

BET方程基于 “单层吸附→多层吸附” 假设,通过线性拟合求解单层饱和吸附容量vm,进而换算比表面积。适用于 II 型(无孔 / 大孔)、IV 型(介孔)等温线,及 I 型(微孔)等温线的低相对压力区间。
分析时需选择合适的P/P0区间,通常I型曲线P/P0,II型/IV型曲线P/P0范围在0.05-0.3左右,根据上文的线性公式,将x/[v(1-x)]对x作图,拟合直线并根据斜率k=c-1/vmc、截距b=1/vmc,得到vm值,最终代入表面积计算公式求解比表面积;拟合相关系数R需满足R²≥0.999,c>0,若R²0区间。
BET 分析完整指南:多层吸附原理、核心方程与催化剂 / 吸附材料应用案例汇总
10.1021/jacs.3c11260

2. Langmuir方程

Langmuir 方程的核心在于假设 “均匀表面 + 单层吸附 + 无分子间作用”,适用于 I型等温线的低P/P0段(微孔填充前),及溶液吸附体系。其线性形式为:
BET 分析完整指南:多层吸附原理、核心方程与催化剂 / 吸附材料应用案例汇总
其中,qe为平衡吸附量,Ce为平衡浓度,KL为吸附强度常数,KL越大,吸附作用越强,Langmuir 方程可用于微孔材料的单层吸附分析,不适用于多层吸附体系。
BET 分析完整指南:多层吸附原理、核心方程与催化剂 / 吸附材料应用案例汇总
在PyPDA-COF 和 PyPDB-COF上负载 Co(II)前后的 BET 表面积(a)和孔体积(b)的变化情况。10.1002/anie.202510550
五、孔径分布分析

1. BJH模型

BJH模型基于 “毛细管凝聚理论”,是介孔材料推导孔径分布的经典方法,假设介孔为圆柱形,通过脱附分支等温线计算孔半径,根据脱附时孔内凝聚液气化压力与孔径成反比即Kelvin 方程,进而推导孔径分布。BJH模型不适用于微孔结构,介孔
使用BJH模型进行模拟时,首先进行分支选择,避免吸附时的孔道堵塞假象,优先选脱附分支,但墨水瓶孔材料,如部分MOF需选吸附分支。其次根据材料类型选择吸附层厚度模型,介孔硅首选 Kruk-Jaroniec-Sayari(KJS)模型,碳材料选 Carbon Black STSA 模型;
注意当孔径 脱附无液化气化时需进行 Fass 修正;最后输出结果,绘制 “孔径 – 孔容微分分布曲线”,峰值对应材料的主要孔径。
BET 分析完整指南:多层吸附原理、核心方程与催化剂 / 吸附材料应用案例汇总
MOF-808及一系列MOF@PCC复合材料的吸附等温线与孔径分布。10.1002/anie.202416884

2. DFT模型

DFT模型基于密度泛函理论模拟吸附质分子在孔道内的密度分布,通过拟合实验与理论等温线反推孔径分布,支持狭缝形、圆柱形、球形等复杂孔形假设,是全孔径范围的高精度计算方法。其模型分类与适配场景如下:
NLDFT(非局部密度泛函理论):适用于微孔 – 介孔复合体系(如多级孔 MOF),孔径范围 0.4-50nm;
QSDFT(准谐密度泛函理论):针对狭缝形孔(如活性炭),精度高于 NLDFT,孔径范围 0.7-100nm;
GCMC(巨正则蒙特卡洛模拟):结合 DFT 的高级方法,适用于有序孔材料(如 MCM-41),可输出孔道结构三维分布图。
六、孔容测定方法
孔容是材料 “储纳能力” 的直接体现,需通过单点法测定总孔容、t-plot 法测微孔孔容来分层测定。使用单点法计算总孔容时,首先取高相对压力(P/P0=0.99)下的吸附量,假设吸附质完全填充孔道,计算式:
BET 分析完整指南:多层吸附原理、核心方程与催化剂 / 吸附材料应用案例汇总
其中。v0.99为P/P0=0.99时的吸附量(STP),M为吸附质摩尔质量,ρ为吸附质液体密度,m为样品质量。
得到总孔容后需要进一步结合t-plot 法测定微孔孔容,首先需要根据标准厚度方程——Harkins-Jura方程,来计算得到标准吸附层厚度t(单位Å),方程如下:
BET 分析完整指南:多层吸附原理、核心方程与催化剂 / 吸附材料应用案例汇总
根据Harkins-Jura 方程,计算各P/P0对应的标准吸附层厚度t值,以 “标准吸附层厚度t” 为横坐标,“吸附量v”为纵坐标作图,直线段截距对应微孔孔容Vmicro。介孔孔容Vmeso=Vtotal−Vmicro
七、应用

1. 催化剂表征

催化剂的比表面积和孔径分布直接影响活性位点数量和反应物扩散效率:通过BET分析筛选高表面积催化剂(如纳米金属氧化物、MOF基催化剂),通过BJH/DFT分析优化介孔结构(确保反应物快速到达活性位点);例如,汽车尾气催化剂需高表面积以提升催化效率,BET分析可量化其表面活性位点数量。
下图为孔纳米片无Pt催化剂(FeAC-N-SC)的合成与结构表征。其中BET测试显示高比表面积(1020.3 m²/g)和分级孔结构(微孔/介孔),促进质量传输;拉曼光谱(ID/IG=1.16)和XPS表明高缺陷密度,有利于活性位点暴露。
BET 分析完整指南:多层吸附原理、核心方程与催化剂 / 吸附材料应用案例汇总
10.1021/jacs.5c03499

2. 吸附材料研发

吸附材料的性能(如吸附容量、选择性)与比表面积、孔径密切相关:通过BET分析筛选高表面积吸附剂(如活性炭、分子筛),通过等温线类型判断吸附机制(如I型等温线适合低浓度污染物吸附,IV型适合中高浓度吸附);例如,水处理用活性炭需微孔-介孔复合结构(I型+IV型等温线),既保证吸附容量,又利于污染物扩散。
BET 分析完整指南:多层吸附原理、核心方程与催化剂 / 吸附材料应用案例汇总
左边为不同金属三聚体的2,6-ndc-tpmob PACs(上)和NiV-bpdc-tpmob(下)在77 K下的N2吸附等温线,右边是对应的DFT孔径分布。10.1021/jacs.5c14861
【做计算 找华算】
🏅 华算科技提供专业的第一性原理、分子动力学、生物模拟、量子化学、机器学习、有限元仿真等代算服务。
🎯500+博士团队护航,累计助力5️⃣0️⃣0️⃣0️⃣0️⃣➕篇科研成果,计算数据已发表在Nature & Science正刊及大子刊、JACS、Angew、PNAS、AM系列等国际顶刊。 👏👏👏

声明:如需转载请注明出处(华算科技旗下资讯学习网站-学术资讯),并附有原文链接,谢谢!
(1)
上一篇 2025年11月12日 下午2:54
下一篇 2025年11月13日 上午10:17

相关推荐