说明:本文华算科技介绍了循环伏安法(CV)的概念、实验装置、参比电极转换、核心参数解读及应用。CV通过改变电极电位监测电流响应,研究氧化还原行为。文中解释了SHE、NHE、RHE等参比电极,讨论了CV曲线的氧化还原峰、可逆性判断,并探讨了CV在电化学活性测试、双电层电容计算及催化剂稳定性评估中的应用。


CV的基本概念与实验基础
Q1:什么是循环伏安法(CV)?原理是什么?
循环伏安法通过线性改变工作电极的电位并监测电流响应,研究电活性物种的氧化还原行为。其核心原理在于:电极电位随时间呈锯齿波形扫描(从初始电位E₀线性增至Eλ后反转回E₀),记录电流随电位的变化形成循环伏安图。

图1 (a)RC电路(b)三角波(单锯齿波形)电位扫描(c)背景电流的电流–时间图(d)背景电流的电流–电位图(CV曲线)。DOI:10.5796/electrochemistry.22-66082
Q2:典型CV实验装置包含哪些核心组件?
电解液中需添加支持电解质(如KOH等)增强导电性,待测物需完全溶解以避免传质限制。部分简易系统可采用双电极设计,但三电极系统可提供更精确的电位控制。
工作电极(WE):发生电化学反应的界面
对电极(CE):提供电流回路,通常为铂丝、碳棒等。
参比电极(RE):稳定电位基准(如Ag/AgCl电极、汞/硫酸亚汞电极、饱和甘汞电极等)。

图2 三电极体系
Q3:电极中常见的SHE、NHE、RHE是什么?
1)标准氢电极(SHE)
镀铂黑的铂电极浸在H+活度为1的溶液中,通入1个标准大气压的高纯氢气。
该电位定义明确(E⁰=0V),是一个理论参考点,是所有标准电极电势(E⁰)定义的基准。SHE是热力学参考点,即SHE是理论定义的,现实中并不存在,因为H离子活度为1的溶液是理想溶液。

图3 标准氢电极
2)一般氢电极(NHE)
它指的是在1 atm(101.325 kPa)氢气分压下,浸在含有单位活度H+(即约1 mol/L H3O+)的水溶液中的镀铂黑的铂电极。
NHE被认为是一个不够精确的术语,因为在此定义中将1M HCl或其他强酸的H+活度定义为1(在实际情况中,1M HCl的H+活度约为0.81),可能导致实际测量的电极电势与严格的理论定义有微小偏差(通常在毫伏级别)。NHE在旧的文献中比较常见。

图4 NHE示意图
3)可逆氢电极(RHE)
并非一种物理上独立的标准参比电极,而是一种标度。可逆氢电极与标准氢电极的差别在于溶液中H+活度。前者和待测电化学体系溶液的H+离子活度一致,后者为固定值(1 M)。
即相对于SHE,RHE的电势会随溶液pH值的变化而发生移动,二者满足如下关系式:ERHE=ESHE-0.05915pH。
Q4:常见的参比电极与可逆氢电极的转换
(1) E(RHE)= E(Hg/HgO)+ 0.0592pH + 0.098
(2) E(RHE)= E(饱和甘汞电极)+ 0.0592pH + 0.241
(3) E(RHE)= E(Ag/AgCl)+ 0.0592pH + 0.197(饱和氯化钾)

图5 Hg/HgO、饱和甘汞、Ag/AgCl电极及其与可逆氢电极的转换
Q5:常见参比电极的适用范围?
酸性溶液:汞/硫酸亚汞Hg/Hg₂SO₄电极
中性溶液:饱和甘汞电极(SCE)、Ag/AgCl电极
碱性溶液:Hg/HgO电极


CV曲线的核心参数与解读
Q6:CV曲线的氧化还原峰如何识别?
1)氧化峰
当电位向更正(或更阳极)的方向扫描时,如果电活性物质在工作电极表面失去电子发生氧化反应,会导致电流增加,形成氧化峰。
其峰值电位记为Epa(Anodic Peak Potential),峰值电流记为ipa(Anodic Peak Current)。通常情况下,氧化电流被定义为正值。
2)还原峰
随着电势变负,还原反应速率加快,电流增大;但当反应速率快到使电极表面反应物浓度降至近乎零时(完全浓差极化),反应就完全由反应物从本体溶液向电极表面的扩散速率控制。
由于扩散层厚度随时间增加,扩散速率反而下降,导致电流减小,从而形成还原峰。其峰值电位记为Epc(Cathodic Peak Potential),峰值电流记为ipc(Cathodic Peak Current)。

图6 典型的CV曲线(插图为电势–时间曲线)。DOI:10.3866/PKU.DXHX202212024
Q7:CV曲线的氧化还原峰物理意义是什么?
氧化峰的出现表明体系中的还原态物质(Red)失去电子被氧化成了氧化态物质(Ox)。
还原峰的出现表明氧化态物质(Ox)得到电子被还原成了还原态物质(Red)。
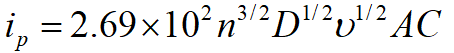
Q8:如何通过CV判断反应可逆性?
通过阴极电流峰与阳极电流峰对称性(即ipa/ipc)、阴极峰电位与阳极峰电位差值ΔEp是否随扫描速度变化、峰电流与V1/2是否为线性关系判断。峰值电流可用Randles-Sevcik方程表示。

图7 CV曲线DOI:10.1002/aenm.201900747
1)可逆体系
电流峰对称性:ipa/ipc≈1,
电位差几乎与扫描速度无关:

峰电流与V1/2线性相关:

图8 Ip为横坐标v1/2为纵坐标的可逆性示意图。DOI:10.5796/electrochemistry.22-66082
2)准可逆体系
电流峰对称性:ipa/ipc≠1
电位差随扫描速度增大而增大:

峰电流与V1/2非线性相关
3)不可逆体系
电流峰对称性:ipa/ipc≠1
电位差随扫描速度增大而增大:

峰电流与V1/2线性相关:
![]()

图9 一个不可逆电化学过程的典型循环伏安图


CV曲线的应用
Q9:CV曲线还有什么用?
CV曲线还可用于电化学活性测试前的活化、反映电催化剂的电流大小、区分法拉第电容/赝电容和双电层电容、计算电化学活性面积(ECSA)、计算双电层电容、评估催化剂的稳定性等。
Q10:如何用CV曲线计算双电层电容?
在非法拉第电位区间进行不同扫描速率的CV扫描。取电位区间中点的阳极扫描电流(ia)和阴极扫描电流(ic)。
计算双电层充电电流:icdl=(ia+ic)/2(在选定电位点)。以icdl为纵坐标,扫描速率为横坐标作图。斜率即为Cdl。

图10 (a)使用不同扫描速率的Cu10Ru-BTC的CV图用于计算ECSA(b)从(a)中的CV获得的电流对扫描速率的图。DO:10.1039/d4mr00021h
Q11:如何用CV曲线评估催化剂稳定性?
常采用稳定性测试前后或多圈(500、1000、2000圈)CV测试后的LSV曲线进行对比,有时也直接将CV曲线重叠对比,比较曲线的重合程度可以说明催化剂是否稳定。

图11 钨改性的镍钴锰三元正极材料CV测试图。DOI:10.11857/j.issn.1674-5124.2020060014
【高端测试 找华算】
华算科技是专业的科研解决方案服务商,精于高端测试。拥有10余年球差电镜拍摄经验与同步辐射三代光源全球机时,500+博士/博士后团队护航,保质保量!
🏅已助力5️⃣0️⃣0️⃣0️⃣0️⃣➕篇科研成果在Nature&Science正刊及子刊、Angew、AFM、JACS等顶级期刊发表!
👉立即预约,抢占发表先机!

