说明:这篇华算科技文章详细介绍了循环伏安法(CV)与线性伏安法(LSV)这两种电化学分析技术的定义、作用、区别及应用实例。深入了解它们在判断电极反应可逆性、评估电极材料性能等方面的应用,以及二者在扫描方式、电流-电位曲线特征等多方面的差异,从而更好地选择适合的分析方法来研究电极反应和材料性能。
循环伏安法(CV)、线性伏安法(LSV)
循环伏安法(CV)
循环伏安法是一种电化学分析技术,用于研究电极反应的机理和动力学。在该方法中,电极电位在两个电位极限之间以线性方式反复扫描。
如图1,电极电位从一个初始电位开始,以一定的扫描速率线性地增加或减少至一个转折电位,随后电位方向反转,回到初始电位,形成一个循环。这一过程可以重复多次,通常记录电极电流与电位之间的关系曲线,即伏安曲线。
循环伏安法广泛应用于电化学研究,如电极反应的可逆性判断、电极过程的动力学参数测定以及电极材料的电化学性能评估等。

图1:1mm Fc+溶液可逆还原为Fc的伏安图。DOI:10.1021/acs.jchemed.7b00361
线性伏安法(LSV)
线性伏安法也是一种电化学分析方法,其核心在于电极电位以线性方式从一个初始电位变化到一个终止电位。
如图2,与循环伏安法不同,线性伏安法的电位扫描过程仅进行一次,不涉及电位的反转。在扫描过程中,电极电流随电位的变化而变化,通过记录电流–电位曲线来分析电极反应的性质。
线性伏安法主要用于研究电极反应的电化学行为,如电极反应的可逆性、电极过程的控制步骤以及电极材料的电化学活性等。

图2:NiS2@CC的HER反应中的LSV图。DOI:10.1016/S1872-2067(24)60286-X
CV与LSV的作用
CV的作用
1)判断电极反应的可逆性
在循环伏安曲线中,可逆电极反应的电流峰值在电位反转时会出现在与正向扫描相同的电位处,且正反向扫描的电流峰值比接近1。峰位的对称性和分离程度是判断反应可逆性的重要依据。
如图3所示,可逆体系的氧化峰和还原峰的峰电位差(ΔEp)约为59/n mV(25℃时),且峰电流比(ipa/ipc)接近1。
准可逆体系的峰电位差大于59/n mV,但仍可见明显的氧化还原峰对。
完全不可逆体系可能仅观察到一个峰(氧化峰或还原峰),另一个峰则完全消失或极其微弱。可逆反应的氧化峰与还原峰峰高大致相等,曲线对称;
不可逆反应则峰高不同,对称性较差。

图3:可逆、准可逆、不可逆循环伏安图。
2)评估电极材料的电化学性能
通过反复扫描电极电位并记录电流–电位曲线,可观察材料的氧化还原行为。峰电流大小反映活性物质的量和反应速率,峰电位位置与反应的热力学性质相关,曲线形状和面积体现材料的可逆性和电荷存储能力。
高活性材料的 CV 曲线通常有明显对称的氧化还原峰,且循环稳定性好,是评估电极材料性能的重要依据。
如图4通过双电层电容法测定Cu10Ru-BTC的电化学表面积(ECSA),可深入了解其在OER和超电容性能中的氧化还原活性。ECSA越高,催化剂的有效活性位点越多,OER性能越好。
该方法通过在非法拉第范围内以不同扫描速率收集样品电流,绘制1.10 V处的电流与扫描速率图,其斜率即为Cdl,进而计算出 ECSA。

图4:Cu10Ru-BTC的CV图和Cdl图。DOI:10.1039/D4MR00021H
LSV的作用
1)研究电极反应的电化学行为
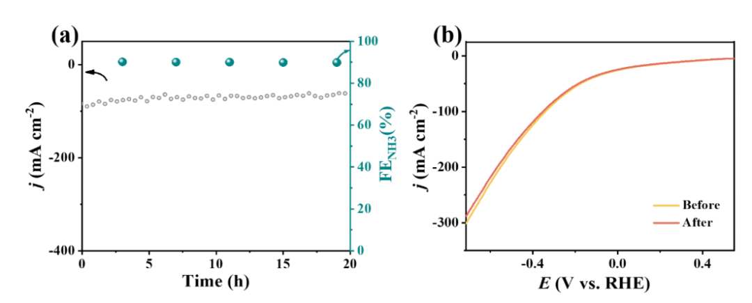
线性伏安法能够提供电极反应的电流–电位关系,从而判断电极反应的稳定性。如图5在100 mA cm-2的高电流密度下连续电解20小时后,Cu9S5 SNWs电催化剂的电流密度和FENH3均无显著下降,表明其在NO3–RR中具有优异稳定性。
此外,电解前后LSV曲线变化微小,进一步印证了该结论。

图5:Cu9S5 SNWs在1 M KOH和0.1 M NO3–条件下的耐久性试验和试验前后的LSV比较曲线。DOI:10.1002/aenm.202403354
2)电极材料的电化学活性研究
线性伏安法可用于研究电极材料的电化学活性,通过观察电流响应的大小和电位范围,评估电极材料的活性。在研究新型催化剂材料时,线性伏安法可确定催化剂的催化活性。
如图6为评估不同尺寸电催化剂的实际催化活性,分别在含0.1 M NO3–和不含NO3–的1 M KOH电解液中,测试了Cu9S5 SNWs、Cu9S5 NWs、Cu9S5 NCs的NO3–RR性能,以PTA作为空白对照样品。
LSV结果显示,Cu9S5 SNWs在含NO3–电解液中表现出高活性,主要体现在相同还原电位下,其电流密度远高于其他两种催化剂,突显了其在电催化NO3–方面的优越性能。
此外,在含NO3–的电解质中,三种材料的电流密度均高于不含NO3–的电解液,表明这三种电催化剂的电流密度主要源于NO3– RR而非HER,证实了它们能有效抑制HER。

图6:Cu9S5 SNWs及对比样催化剂的LSV图。DOI:10.1002/aenm.202403354
CV与LSV的区别

电位扫描方式
CV:电极电位在两个极限之间反复扫描,形成循环。这种方式可充分研究电极反应的可逆性和动力学特性,通过多次循环扫描观察不同电位区间的反应变化。
LSV:电极电位从初始值线性变化到终止值,用于研究某一电位范围内的电化学行为,如快速提供电极材料初始电化学活性的电流-电位关系。
电流-电位曲线特征
CV:CV曲线通常呈峰状或环状。可逆反应中,正反向扫描电流峰值出现在相同电位,比值接近1;准可逆或不可逆反应中,比值偏离1,反向峰值滞后。例如,有机化合物氧化还原反应的CV曲线有明显氧化峰和还原峰。
LSV:LSV曲线形状取决于电极反应性质。可逆反应时,曲线呈S形,电流随电位渐变;不可逆反应时,曲线呈线性或非线性。
应用实例
CV的应用实例
在锂离子电池电极材料的研究中,循环伏安法用于评估材料的电化学性能。对于一些新型的锂离子电池正极材料,通过循环伏安法可以观察到材料在充放电过程中的氧化还原反应行为。
图7显示了三电极的二次循环CV曲线。g-PNMC@LBPO的氧化还原峰初始电压低于g-PNMC和g-NMC,说明精心设计的浓度梯度结构和LBPO涂层有效地减缓了电极极化。

图7:扫速为0.2 mV s-1的CV曲线。DOI:10.1021/acsnano.5c00974
LSV的应用实例
在研究金属离子的还原反应时,线性伏安法是一种常用的分析方法。在研究离子的还原反应时,通过线性伏安法可以观察到铜离子在电极表面的还原过程。在电–电位曲线上,会出现一个明显的还原电流峰,该峰的位置和大小可以反映铜离子的还原电位和还原反应的动力学特性。
如图8的结果表明,含金属态催化剂的NO3–RR活性明显高于氧化态催化剂。主对照组Cu NW与CuCo NW相比表现出明显的电化学行为。根据LSV曲线,可以观察到两个明显的还原峰,分别为S1和S2,每一个峰对应反应过程的一个步骤,对应方程如下:
S1:NO3–+H2O+2e–→NO2–+2OH–
S2:NO2–+5H2O+6e–→NH3+7OH–

图8:在H型电解槽中CuCo纳米线和Cu纳米线的电位-电流曲线。DOI:10.1002/adfm.202405179
【高端测试 找华算】
华算科技是专业的科研解决方案服务商,精于高端测试。拥有10余年球差电镜拍摄经验与同步辐射三代光源全球机时,500+博士/博士后团队护航,保质保量!
🏅已助力5️⃣0️⃣0️⃣0️⃣0️⃣➕篇科研成果在Nature&Science正刊及子刊、Angew、AFM、JACS等顶级期刊发表!
👉立即预约,抢占发表先机!

