说明:本文华算科技系统阐述了循环伏安法(CV)中氧化峰与还原峰的识别方法与分析原理,内容涵盖实验装置、关键参数设定、峰的定义与物理意义、定量分析模型(如Randles-Sevcik方程与Laviron方程)、反应可逆性判断标准以及高级数据处理技巧。
循环伏安法是一种电位动态测量技术。在该技术中,施加在工作电极上的电位以一个恒定的速率(扫描速率,v)从起始电位(E0)线性扫描至设定的转换电位(Eλ),然后以相同的速率反向扫描回到起始电位(或另一个终点电位)。
在此过程中,记录流经工作电极的电流(I)随施加电位(E)的变化,最终得到一张电流–电位曲线,即循环伏安图。这张图谱是揭示电活性物质在电极表面氧化还原行为的“指纹”。

图1 典型的CV曲线(插图为电势–时间曲线)。DOI:10.3866/PKU.DXHX202212024

图2 三电极体系
一个标准的CV实验通常在三电极体系中进行,该体系能精确控制工作电极的电位并测量其电流。
工作电极(Working Electrode,WE):研究的电化学反应发生的核心场所。

图3 Fe3O4/MoS2、Fe3O4和MoS2修饰的玻璃碳电极与裸露玻璃碳电极的循环伏安测试图DOI:10.3390/nano13162288
参比电极(Reference Electrode,RE):提供一个稳定、已知的电位基准,使工作电极的电位可以被精确测量。常用的参比电极有银/氯化银(Ag/AgCl)电极和饱和甘汞电极(SCE)。
辅助电极(Auxiliary/Counter Electrode,CE):也称对电极,通常由惰性导体(如铂丝或石墨棒)构成。它的作用是与工作电极构成电流回路,确保大部分电流流经辅助电极,从而避免对参比电极产生影响。
电解液(Electrolyte):由溶剂和支持电解质组成。支持电解质(如KOH、HClO4、KNO₃用于提供良好的离子导电性,降低溶液电阻(IR降)带来的影响。

图4 在电解液中分别加入分别加入2.2 mM TFA(三氟乙酸)(蓝色)、4.4 mM TFA(红色)、6.6 mM TFA(绿色)和8.8 mM TFA(紫色)后的CV曲线 DOI:10.1073/pnas.1120757109
在进行CV测试时,几个关键参数的设定直接决定了图谱的形态和可解析性。
电位窗口:指电位扫描的范围,即从起始电位到转换电位再返回的区间。这个窗口的选择必须足够宽,以覆盖目标物质的氧化和还原过程,但又必须在电解质和溶剂的稳定电位范围内,以避免背景信号的干扰。
扫描速率:指电位随时间变化的速率,单位通常为mV/s或V/s。扫描速率是研究电极过程动力学的重要变量。它决定了实验的时间尺度,可以影响峰电流的大小、峰电位的位置以及反应的可逆性判断。常规实验通常在10-200 mV/s的范围内进行。

图5 Fe3O4/MoS2、Fe3O4、MoS2修饰玻碳电极及裸玻碳电极的电子转移动力学与循环伏安扫描速率关系图DOI:10.3390/nano13162288
定义与物理意义:何为“峰”?
峰的出现本质上是电极表面液层中传质过程与电子转移过程竞争的结果。
氧化峰(Anodic Peak):当电位向更正(或更阳极)的方向扫描时,如果电活性物质在工作电极表面失去电子发生氧化反应,会导致电流增加,形成一个峰,这个峰就是氧化峰。其峰值电位记为Epa,峰值电流记为ipa。
通常情况下,氧化电流被定义为正值。氧化峰的出现表明体系中的还原态物质(Red)被氧化成了氧化态物质(Ox)。

图6 CV曲线DOI:10.1002/aenm.201900747
还原峰(Cathodic Peak):随着电势变负,还原反应速率加快,电流增大;但当反应速率快到使电极表面反应物浓度降至近乎零时(完全浓差极化),反应就完全由反应物从本体溶液向电极表面的扩散速率控制。
由于扩散层厚度随时间增加,扩散速率反而下降,导致电流减小,从而形成一个峰。其峰值电位记为Epc,峰值电流记为ipc。还原峰的出现表明氧化态物质(Ox)被还原成了还原态物质(Red)。
仅仅识别出峰的位置是不够的,对峰的高度、位置和形状进行定量分析,才能深入挖掘电化学反应的内在信息。
Randles-Sevcik方程:扩散控制过程的“标尺”
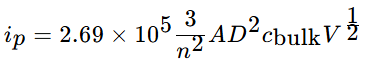
Randles-Sevcik方程是CV分析中最重要的定量关系式之一,它描述了对于一个能斯特(Nernstian)可逆且受半无限线性扩散控制的电极过程,峰值电流(ip)与多个参数之间的关系。
在可逆条件下,氧化和还原峰电流的比值(分别为ipa和ipc)相等(ipa/ipc=1)。在可逆和不可逆极限下,峰值电流(ip)与扫描速率的平方根(v1/2)成正比,尽管比例常数不同,如果电活性物质溶解在溶液中并且处于扩散控制状态。这种效应在图7中得到了证明,并且通过Randles-Sevcik方程描述了峰值电流对扫描速率的依赖性。

描述在25°C下,可逆过程在扩散控制条件下电压扫描速率v与峰电流ip关系的Randles-Sevcik方程。ip是峰值电流(A);n是电极反应中转移的电子数;A是电极表面积(cm²);D是电活性物质的扩散系数(cm²/s);C*是电活性物质的本体浓度(mol/cm³);v是扫描速率(V/s)。

图7 不同扫描速率(v)下可逆单电子氧化的模拟CV曲线,以及b) 表明峰值电流(ip)与平方根扫描速率(v1/2)线性关系的Randles-Sevcik图。Developing hydrogen oxidation electrocatalysts using a frustrated Lewis pair approach
使用条件与应用:该方程严格适用于可逆的、反应速率由扩散步骤控制的电化学体系。如何使用:该方程最常见的应用是判断反应的控制步骤。通过进行一系列不同扫描速率(v)的CV实验,测量对应的峰值电流(ip)。如果绘制ip对v1/2的图,得到一条通过原点的直线,则表明该电极过程是典型的扩散控制过程。这条直线的斜率可以用来计算扩散系数D,前提是n,A,C*已知。
Laviron方程:表面吸附过程的“探针”
当电活性物质被吸附在电极表面时,其行为不再受扩散控制,Randles-Sevcik方程不再适用。此时,峰值电流ip与扫描速率v成正比关系(ip∝v),而不是与v1/2成正比。Laviron理论和相关方程则用于分析这类表面吸附物种的电化学行为。通常指峰电位(Ep)与扫描速率对数(log v)的关系图。
通过分析该图,可以估算电极反应的动力学参数:电子转移速率常数(ks)、电荷转移系数(α)。对于不可逆的表面过程,峰电位Ep与log(v)呈线性关系,可以从该线性关系的斜率和截距中求解α和ks。

图8 峰电位Ep与log(v)呈线性关系Developing hydrogen oxidation electrocatalysts using a frustrated Lewis pair approach
峰电位分析:揭示反应的热力学与可逆性
形式电位(E°’):对于一个电化学可逆体系,其形式电位可以通过氧化峰电位和还原峰电位简单计算得出:E°’≈(Epa+Epc)/2。形式电位是体系在特定条件下的一个热力学平衡参数,与能斯特方程相关。
峰电位差(ΔEp)是判断电极过程可逆性的一个标准。
ΔEp=|Epa-Epc|
可逆体系:对于一个快速的、可逆的n电子转移过程,ΔEp在理论上是一个不依赖于扫描速率的常数。
准可逆体系(Quasi-reversible):当电子转移速率有限时,体系表现为准可逆。此时ΔEp随着扫描速率v的增加而增大。
不可逆体系(Irreversible):当电子转移速率非常慢时,体系是不可逆的。此时,反向扫描时可能完全观察不到对应的还原/氧化峰,或者ΔEp非常大,并随扫描速率显著变化。
峰电流比:对于一个简单的可逆过程,且反应产物稳定,氧化峰电流的绝对值应约等于还原峰电流的绝对值,即|ipa/ipc|≈1。

图9 不同可逆性电极体系的循环伏安图DOI:10.3866/PKU.DXHX202212024
在实际研究中,获得的CV曲线往往不完美,可能包含噪声、背景电流倾斜或峰重叠等问题,此时需要借助一些数据处理技巧来准确提取信息。
基线校正(Baseline Correction):由于双电层充电等非电解反应的存在,CV曲线的电流基线通常不是零,且可能倾斜。在计算峰电流(ip)之前,必须扣除这部分背景电流。常用的方法包括切线法、多项式拟合或使用专门的算法进行校正。

图10 在消除法拉第电流和电阻影响后的循环伏安曲线(蓝色虚线和红色虚线曲线在插图中被放大显示)DOI:10.1109/TIM.2023.3341125
导数分析(Derivative Analysis):对于宽化或不明显的峰,可以通过求导来精确定位峰电位。CV曲线的一阶导数在峰值点处穿过零点;二阶导数则在峰值点处达到一个极小值。这种方法对于分辨肩峰或重叠峰特别有效。
峰反卷积(Peak Deconvolution):当CV曲线上存在多个相互重叠的氧化或还原过程时,单一的峰看起来会很宽或不对称。反卷积技术可以通过数学方法,将这个复合峰拟合为多个独立的峰(如高斯或洛伦兹函数)的叠加,从而解析出每个独立过程的峰电位和峰电流。
IR降(Ohmic Drop):溶液电阻或电极接触不良会导致未补偿电阻(Ru)。这会使CV峰变宽、峰电位差ΔEp增大、峰位移动,严重时甚至会掩盖真实的动力学信息。解决方法包括:使用高浓度支持电解质、采用三电极体系、使用IR补偿功能、或减小工作电极尺寸。
电极表面状态:电极表面的清洁度、粗糙度甚至吸附的杂质都会极大地影响实验结果。每次实验前对电极进行标准化的抛光和清洗是必须的步骤。
除氧:在水溶液或许多非水体系中,溶解的氧气会发生还原反应,产生明显的还原峰,干扰目标信号。因此,实验前通常需要向电解液中通入高纯氮气或氩气至少15-30分钟以除去溶解氧。

图11 [Ru(Hedta)NO]在水溶液(左)和非水溶液DMSO(右)中的循环伏安图DOI:10.21833/ijaas.2016.10.007
显示出相同的[Ru(Hedta)NO]的单电子还原和多电子还原结果。在这种情况下,使用水溶剂是优选的,因为氧气容易溶解在DMSO中,这将对[Ru(Hedta)NO]产生其他影响,因此,在溶液中至少吹扫Ar 20分钟。
【高端测试 找华算】
华算科技是专业的科研解决方案服务商,精于高端测试。拥有10余年球差电镜拍摄经验与同步辐射三代光源全球机时,500+博士/博士后团队护航,保质保量!
🏅已助力5️⃣0️⃣0️⃣0️⃣0️⃣➕篇科研成果在Nature&Science正刊及子刊、Angew、AFM、JACS等顶级期刊发表!
👉立即预约,抢占发表先机!

