说明:本文华算科技介绍了Tafel斜率变大、变小的原因。Tafel斜率反映了电荷转移势垒、速控步骤、界面结构和速率常数对电位的响应。其变化与电子转移、反应路径、界面耦合及催化效率密切相关。此外,温度、pH值和纳米结构、传质限制都会影响Tafel斜率。
Tafel曲线,又称Tafel图,是电化学动力学研究中的一个核心工具,其源于电极反应的过电位与电流密度之间的定量关系。
该曲线以过电位(η)为纵轴,以电流密度(通常取其对数,即log(i))为横轴,在半对数坐标中展现电极反应的动力学特性。Tafel关系最初由Julius Tafel在研究氢析出反应中提出,发展至今已成为表征电极反应机制、计算电化学反应速率常数、以及推导电催化活性的重要理论依据。

图1. Tafel 曲线(Tafel 图)中过电位与电流密度对数关系的典型表现。DOI: 10.1038/srep13801
Tafel图与Tafel方程
在过电位足够大的区域(通常远大于热能RT/F,约25.7 mV at 298K),电极反应的逆反应速率可以忽略不计,此时过电位与电流密度的对数呈现出线性关系。这种线性关系可以通过Tafel方程来描述:
η = a + b log(j)
其中:
η 是过电位,即电极电位与其平衡电位之差,是驱动电化学反应的额外“电压”。
j 是电流密度,表示单位电极面积上通过的电流,直接反映了反应的宏观速率。
a 是Tafel截距,是一个与交换电流密度(j₀)相关的常数,反映了电极在平衡电位下的本征活性。
b 即为 Tafel 斜率,表示过电位每增加一个数量级(10倍)时,电流密度对数的变化量,其单位通常是 mV/dec(毫伏每十倍电流密度)。
Tafel斜率的理论表达式
Tafel斜率(b)的数值并非任意,它与反应的基本热力学和动力学参数紧密相关。其理论表达式如下
b = 2.303 * (RT / αnF)
其中,R是理想气体常数,F是法拉第常数。从该公式可以看出,Tafel斜率与电荷转移系数 α 成反比关系。电荷转移系数 α (通常取值在0到1之间,理想情况下为0.5)描述了电势变化对活化能垒影响的程度。

图2. 传统线性拟合vs.贝叶斯全曲线拟合示意。DOI: 10.1038/s41467-021-20924-y
(1)电荷转移势垒变化
斜率变大通常表示电子转移的激活能升高,跃迁路径势垒增宽或增高,反应对过电位的响应减弱,常与电荷转移系数 α 降低有关,可能由电子结构失配、表面态密度下降或中间态过于稳定引起,导致反应进入高势垒、低耦合的非理想状态。
相反,Tafel斜率减小说明电子转移势垒降低,α增大,体系能在较小驱动力下完成跃迁,耦合增强,反应路径更顺畅。这通常归因于催化剂电子结构优化、界面耦合增强或中间态能级匹配改善,表现为反应路径协同性的提升。

图3. 自由能势垒分布对 Tafel 斜率与线性区结构的影响示意。DOI: 10.1002/elsa.202100037
速控步骤的迁移
斜率增大通常表明速控步骤前移至初始电子转移阶段,说明电子注入受限,需更高过电位克服初始障碍,反应整体动力学变慢。
相反,斜率减小表示速控步骤后移至吸附、成键或脱附等化学步骤,电子转移不再是瓶颈,体系动力学耦合增强,能垒分布优化,有利于提升整体反应速率。

图4. 模拟了在1.0 M H₂SO₄、80 °C条件下,氧析出反应的Tafel关系行为。DOI: 10.1038/srep13801
界面结构与反应耦合能力
界面结构稳定性与电子—离子协同作用显著影响Tafel斜率。斜率增大通常表明界面结构紊乱,协同效应减弱,例如电双层失衡、溶剂极化降低或吸附构型刚性增强,导致界面对电势响应效率下降,反应动力学变慢。
斜率减小则表示界面耦合增强,如活性位点密度提升、溶剂排列有序、电双层优化等,有助于电子与离子协同迁移,提升电场调控能力,实现更高反应效率与电流密度输出。

图5. 电极/电解质界面电双层结构及势垒分布的示意图。表明界面结构越有序、电双层越合理,越有利于高效电势响应与较小的 Tafel 斜率。DOI: 10.1038/ncomms12695
速率常数对电位的响应性
Tafel斜率本质上反映了反应速率常数 k 对电势的响应强度。斜率升高说明k 对电位变化的敏感性降低,电位调控能力减弱,常见于反应趋于饱和、中间体覆盖过多或活性位钝化,表现为动力学迟滞。
斜率减小则表示k 对过电位更敏感,反应能垒对电场响应增强,电催化过程动态性好,界面电子结构与电场耦合强,有利于提高催化效率。

图6. 不同速率决定步骤与表面覆盖度下Tafel斜率与电位依赖性的模拟关系。DOI: 10.1038/srep13801
环境条件的影响
(1)温度(T)
根据理论公式,Tafel斜率与绝对温度成正比。然而,实验中观察到的关系远比此复杂。温度不仅直接影响公式中的T项,还可能改变电荷转移系数α、反应活化能甚至速率决定步骤。
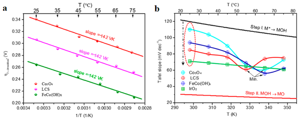
例如,在IrO₂上,Tafel斜率随温度线性变化,表明速率决定步骤(RDS)稳定;而在Co₃O₄上,斜率的显著变化则暗示RDS随温度发生了改变。

图7. 显示三种钴基催化剂在1 M KOH中的过电位与Tafel斜率分别随温度倒数与温度的变化。DOI: 10.1021/acs.inorgchem.7b03168
(2)pH值/电解质
pH的变化会改变反应物的浓度、催化剂表面电荷以及中间体的稳定性,从而可能改变RDS。此外,电解质中的阳离子(如K⁺, Na⁺, Li⁺)也会通过影响双电层结构和与表面物种的相互作用来调节Tafel斜率,尽管其系统性规律仍在研究中,但已有证据表明阳离子类型可以改变反应动力学。

图8. 对应不同 KOH 浓度的 Tafel 斜率值。DOI: 10.1002/ange.202216477
催化剂物理结构的影响
(1)纳米结构(粒径、孔隙度)
催化剂的纳米结构通过影响活性位点暴露、质量传输和电子导电性来间接影响Tafel斜率。
减小粒径/增大孔隙度通常可以增加电化学活性表面积(ECSA),改善反应物和产物的传质。在理想情况下,这会降低表观过电位,但如果本征机理不变,Tafel斜率可能保持不变。
然而,有研究表明,优化的多孔结构可以单调降低Tafel斜率,这可能是由于传质改善和更多高效活性位点的暴露。

图9. 2Ni1Fe-MFS、2Ni1Fe-SiO2sphere-10/100、30/300、30/1000及2Ni1Fe-石英砂碳布电极的Tafel图。DOI: 10.1039/d0ra03111a
(2)传质限制
在多孔或厚催化剂层中,当反应速率非常快时,反应物(如OH⁻)的扩散可能跟不上消耗,导致局部浓度梯度和pH变化,这会使测得的“表观”Tafel斜率增大,掩盖了真实的动力学信息。

图10. 非动力学/传质效应导致的“表观”Tafel斜率增大。DOI: 10.1002/anie.202216477
【高端测试 找华算】
华算科技是专业的科研解决方案服务商,精于高端测试。拥有10余年球差电镜拍摄经验与同步辐射三代光源全球机时,500+博士/博士后团队护航,保质保量!
🏅已助力5️⃣0️⃣0️⃣0️⃣0️⃣➕篇科研成果在Nature&Science正刊及子刊、Angew、AFM、JACS等顶级期刊发表!

