说明:本文华算科技介绍了电化学阻抗谱(EIS)中的Warburg阻抗,即“斜线”的本质及其表现形式。文章详细解释了Warburg阻抗的分类,包括半无限扩散、有限长度扩散和有限空间扩散,并分析了斜线变陡或变缓的原因,如多孔电极效应、表面粗糙度、受限扩散、各向异性扩散等。
EIS中的“斜线”,即Warburg阻抗 (Warburg Impedance) ,是源于电极表面反应物/产物的浓度梯度所引起的扩散过程 。当交流信号的频率足够低时,电化学反应的速率开始受到离子或分子从电解质本体向电极表面扩散(或反向扩散)速度的限制,这种限制就表现为一种独特的阻抗形式(图1)。

图1. 典型的电池系统模型。DOI: 10.1149/2.1061814jes。
“斜线”主要出现在以下两种图谱中:
Nyquist图 (奈奎斯特图) :在复平面阻抗图(-Z” vs. Z’)中,理想的Warburg阻抗表现为一条斜率为1,与实轴成45°角的直线。这条线通常位于半圆(代表电荷转移电阻和双电层电容)之后的中低频区域(图2)。

图2. 奈奎斯特图。10.1039/d1ra03785d。
Bode图 (波特图) :在Bode图中,理想的Warburg阻抗表现为两个特征(图3):相位角–频率图:相位角会稳定在45°;模量–频率图:阻抗模量 与频率 的对数(log|Z| vs. log(ω))呈线性关系,斜率为-0.5 。

图3. 波特图。
Warburg阻抗并非只有一种形态,根据扩散边界条件的不同,主要分为三类。
半无限扩散Warburg阻抗
半无限扩散Warburg阻抗是最理想、最常见的情况。其假设扩散层厚度相对于低频交流扰动下的扩散长度而言是“无限”的,即离子可以从无限远处补充或扩散到无限远处,通常适用于较厚的电极、高浓度的电解液体系或在相对较高的频率下观察扩散(图4)。
数学表达式:

由于实部和虚部相等,所以在Nyquist图中表现为斜率为1的45°直线。

图4. 半无限扩散层的Nyquist图。DOI: 10.1016/j.jpowsour.2005.10.041。
有限长度扩散Warburg阻抗
当扩散发生在两个边界之间,且电活性物质不能穿透其中一个边界时(例如,在薄膜电极、电池隔膜或有限体积的电解液中),扩散行为会受到限制。
数学表达式:

在Nyquist图当中,高频区会表现与半无限Warburg类似,为45°斜线。随着频率降低,扩散到达边界,斜线会逐渐变陡,趋向于垂直,并最终在极低频区转为与电荷转移电阻并联的Warburg电阻,表现为一个新的半圆(图5)。

图5. 有限扩散层的Nyquist图。DOI: 10.1016/j.jpowsour.2005.10.041。
有限空间扩散Warburg阻抗
适用于当扩散受限于一个封闭空间内,粒子在边界发生反射(例如,多孔电极的孔隙内部)。
数学表达式:

在Nyquist图当中,高频区内同样表现为45°斜线。但随着频率降低,扩散粒子在边界处累积,阻抗行为从扩散控制转为电容控制。斜线会逐渐变陡,最终变为一条垂直线,表现出纯电容特性(图6)。

图6. 有限空间扩散的Nyquist图。DOI: 10.1039/d1ra03785d。
Warburg斜线变缓(斜率
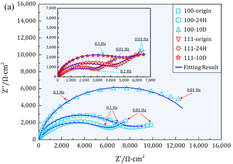
多孔电极效应
这是导致斜线变缓的最主要原因之一。在多孔电极中,电极/电解质界面并非一个平整的二维平面,而是一个复杂的三维网络。在低频时,交流信号能够穿透到多孔结构的更深处,使得电极不仅表现出扩散特性,还同时表现出类似电容器的充电行为。
这种“传输线模型”描述的阻抗行为,在奈奎斯特图上就会表现为一条斜率小于45°的直线。孔隙的曲折度越高,离子在孔道内扩散的路径越长、越曲折,偏离就越明显(图7)。


图7. 在不同循环后于测得的电化学阻抗谱的奈奎斯特图。DOI: 10.1016/j.jpowsour.2010.08.070。
表面粗糙度与非理想电容:
真实电极的表面并非原子级平滑。表面的粗糙度和不均匀性会导致双电层电容表现出“频率弥散效应”,使其行为更像一个常相角元件(CPE)而非纯电容。CPE的阻抗表达式为:

其中n值(0 )反映了偏离理想电容的程度。当CPE与扩散过程耦合时,尤其是在多孔结构中,会导致低频斜线的斜率从45°向更低角度偏移(图8) 。


图8.镁合金样品的EIS及相应的等效电路。DOI: 10.20964/2017.05.23。
受限扩散:
当扩散层的厚度达到一个物理边界时,扩散就不再是半无限的。在这种情况下,奈奎斯特图在极低频区会从45°斜线转变为趋向于垂直的直线(容性行为),而在转变区域,斜率会发生连续变化,可能出现小于45°的过渡段。
Warburg斜线变陡(斜率 > 45°)
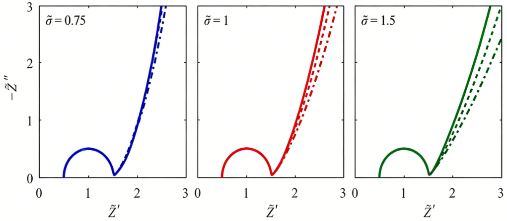
各向异性扩散:
在某些材料中,离子沿不同晶体学方向的扩散能力差异巨大。例如,在层状结构的材料中,离子在层内的扩散(二维扩散)远快于穿过层间的扩散(一维扩散)。
这种扩散的各向异性会使EIS响应偏离简单的菲克定律模型。当测量方向上混合了快慢不同的扩散路径时,综合的阻抗响应可能呈现出大于45°的斜率。(图9)。

图9. 经过不同充放电循环后的纳米复合材料电极的奈奎斯特图。DOI: 10.3389/fchem.2018.00442。
颗粒几何形状与尺寸分布的影响:
传统的Warburg模型假设扩散发生在一个半无限的平面上。现代电极多由纳米级别的球形、棒状或片状颗粒组成。离子的扩散发生在这些有限的几何体内。考虑到颗粒的几何形状(球形、柱状等)和尺寸分布不均时,总的阻抗响应是大量不同尺寸颗粒阻抗的叠加(图10)。
这种叠加效应,特别是当存在宽泛的粒径分布时,会导致拟合出的Warburg斜线偏离45°,通常会变得更陡。

图10. 不同颗粒几何形状的纳米颗粒电极的奈奎斯特图。
耦合的化学反应或相变过程:
在某些电化学体系中,扩散过程可能与缓慢的表面化学反应、电荷转移后的吸附/脱附过程、或缓慢的固相相变过程耦合。例如,一个反应物扩散到表面后,需要先经过一个缓慢的吸附步骤才能参与电荷转移(图11)。
这种串联的慢过程会在EIS上产生影响。如果该过程的弛豫时间与扩散过程的弛–豫时间相近,它们的阻抗谱会发生耦合,可能导致低频斜线的斜率大于45°。

图11. Cu(100)/Cu(111)在不同腐蚀阶段的EIS。DOI: 10.3390/ma16041740。
【高端测试 找华算】
华算科技是专业的科研解决方案服务商,精于高端测试。拥有10余年球差电镜拍摄经验与同步辐射三代光源全球机时,500+博士/博士后团队护航,保质保量!
🏅已助力5️⃣0️⃣0️⃣0️⃣0️⃣➕篇科研成果在Nature&Science正刊及子刊、Angew、AFM、JACS等顶级期刊发表!

