说明:本文华算科技介绍了电化学阻抗谱(EIS)的原理、实验设计、数据处理及应用。涵盖EIS优势、阻抗定义、实验设置、数据图形表示和等效电路拟合等内容,并通过锂离子电池、金属腐蚀等实例展示其应用,还探讨了误差分析与优化策略。

电化学阻抗谱是一种用于研究材料性质和电极反应动力学的频率域测试技术。它通过向电化学系统施加一个小幅度的正弦交流扰动信号(电位或电流),并测量其响应,从而得到系统的阻抗随频率变化的图谱。
EIS 的优势在于:
(1)微扰性:微小扰动避免了大幅极化引入的副反应与不可逆变化;
(2)多过程解耦:高频区常反映欧姆电阻与界面电容,中频区偏向电荷转移与表面过程,低频区揭示质量传递或动力学;
(3)单次测试覆盖多尺度信息:相比循环伏安等时域方法,EIS 在一次频扫中即可获得广泛机制线索,并与其他电化学手段互补。


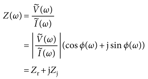
阻抗的定义
阻抗 Z(ω) 是频率 ω 的复函数,定义为:

其中:
Zr:为实部,反映电阻性行为;
Zj :阻抗的虚部,代表能量的存储与释放,表现为电容性(负值)或电感性(正值)行为。
|z|:阻抗的模值,表示信号幅值的衰减程度。
ω(=2πf):角频率,f为频率(Hz)。
j:虚数单位。
φ:相位角,表示响应信号相对于扰动信号的延迟,是判断过程性质(阻性、容性、感性)的关键指标。
V(ω)、I(ω):相量,表示正弦函数的振幅和相位。
线性、稳定性与因果性
EIS 的有效性依赖于三个基本前提:
线性约束指系统对输入扰动的响应须为输入频率的线性响应。因电流与电位呈非线性关系,故须采用小幅扰动使其工作于线性区,此时电流可用泰勒级数的一阶项近似。
稳定性约束要求扰动响应不得时变增长,如对电位阶跃的电流响应终须衰减至新稳态。
因果关系约束则规定响应不得超前于扰动,以保证测得的交流响应仅源于所施扰动。此约束于电化学系统中至关重要,因其测量耗时可达数分钟至小时,系统非稳态行为将导致因果关系失效。
Kramers–Kronig 关系
在现代应用中,直接对电化学阻抗谱测量数据进行Kramers-Kronig关系积分的方法,已被与Kramers-Kronig关系相一致的电路模型拟合法所取代;该方法能提供与电化学系统行为一致的、从零频到无限频率的外推(图2)。


电极配置
二电极系统:仅包含工作电极和对电极。这种配置简单,常用于电池、燃料电池和超级电容器等对称/非对称电池体系。
其缺点是测得的阻抗是工作电极和对电极过程的总和,难以解析。

三电极系统(最常用):包含工作电极、对电极(构成电流回路)和参比电极(提供稳定的电位基准)。
参比电极的存在使得能够精确控制工作电极的电位,并独立研究其界面过程,而无需考虑对电极反应的影响。这是绝大多数基础电化学研究(如电极反应动力学、腐蚀机理)的标准配置。

图4:三电极体系示意图。
四电极系统:包含两对电极:一对用于施加电流,另一对用于测量电位。这种配置主要用于测量电解质本身、自由支撑薄膜或嵌入结构的阻抗,因为它可以消除工作电极/对电极界面阻抗的干扰,直接获得体相材料的性质。

几何结构与布线
工作电极尺寸过大或几何形状不规则会引发高频弥散。应使用较小的工作电极,并采用双绞线、增大电流与电压回路的间距,以抑制因互感耦合产生的测量误差。必要时,可为参比电极并联一个独立的电容,以旁路高频电流,防止其在超过100 kHz时因阻抗升高而导致的电位不稳定。
仪器与接线
现代EIS仪器多采用频率响应分析仪(FRA),其通过正交锁相放大技术提取阻抗的实部与虚部。
关键注意事项:
精度等高线图:用于评估仪器在特定频率与阻抗量程下的测量准确度。
导线布局:长导线会引入寄生电感和电容。建议使用屏蔽双绞线,并尽量减小信号回路的面积。
法拉第笼:在进行低电流测量时,必须使用法拉第笼来屏蔽环境电磁干扰,隔离外部电磁环境。

图6:d:精度等高线图:A线,最大可测阻抗;B线,电容极限;C线,最大可测频率;D线,感应极限;E线,最低可测阻抗。 e:导线电容、电阻和电感对测量阻抗影响的电路表示。f:电化学电池的导线连接示意图。g:绞合线可以抑制互感。 A₁, A₂,电流连接器;Cwire,电线的电容;CE,对电极;EIS,电化学阻抗谱;f,频率;Lwire,电线的电感;RE,参比电极;Rwire,电线的电阻;V₁, V₂,电压连接器;WE,工作电极;WSE,工作参比电极;Zcell,电池阻抗。
测试参数选择
扰动模式:恒电位模式:适用于高阻抗体系。恒电流模式:适用于低阻抗体系,或当体系极化较大(即电流-电位曲线斜率极大)时;采用此模式可避免恒电位模式下可能出现的电流过载。
扰动幅度:需在保证系统线性响应与获得足够信噪比之间取得平衡。可通过观察测得的电压-电流响应(Lissajous图形)是否为标准的直线或椭圆来判断线性与否。
频率范围与采样密度:典型的电化学阻抗测量频率范围为10 kHz至10 mHz。通常,在每个十倍频程内对数均匀地采集7至10个数据点,即可清晰表征频谱特征。测量顺序建议从高频开始,逐步扫描至低频。

Bode图与Nyquist图是宽频(100 kHz ~ 10 mHz)EIS数据的两种主要表示方法。Bode图呈现频率(f)对模值(|Z|)与相角(φ)的关系;Nyquist图则呈现虚部对实部的关系。二者最为常用,可对体系涉及的基本过程进行初步研判。
Nyquist 图(复平面图)
该图以阻抗实部 Zr 为横轴,-Zj 为纵轴(频率为隐含参数)。这是最常用的谱图表示形式,能直观展示体系时间常数的数量与大小。(图7)
高频区与实轴的截距:对应于溶液的欧姆电阻。
半圆形容抗弧:通常代表一个电荷转移过程,其直径等于电荷转移电阻。弧顶对应的特征频率 fc 满足关系式,即与电荷转移电阻和双电层电容构成的时间常数相关。

低频区的45°斜线:是Warburg阻抗的特征,表明过程受半无限线性扩散控制。
多个容抗弧或发生扭曲的弧:表明存在多个弛豫过程,或因电极表面不均匀性等导致的频散效应,常使用常相位元件进行描述。

图7:Nyquist 图,在以频率为参数的复平面中,阻抗的虚部Zj作为实部Zr的函数。
Bode 图
图8为典型Bode图,其相角与模值由阻抗实/虚部算得,直观反映阻抗频响特性。
模值图:显示了系统总阻抗随频率的变化,可以看出哪个频率区间阻抗起主导作用。
相位角图:相位角接近0° 表示电阻行为;接近-90° 表示电容行为;出现正相位角则可能表示感性行为。Bode图对于识别重叠的时间常数比Nyquist图更为敏感。

图8:Bode图,阻抗的模量和相位作为频率的函数。
其他辅助表示方式
导纳图:导纳Y=1/Z。在分析主要是电容性的系统(如介电材料)时非常有用,高频区的平台值可以直接读出电容。
复数电容图:特别用于强调系统的介电或电容特性,常用于超级电容器和多孔电极的研究。

常用电路元件及其物理意义
R:电阻,代表纯能量耗散,如溶液电阻 Re,电荷转移电阻 Rct。
C:电容,代表能量存储,如双电层电容 Cdl。
L:电感,较少见,可能由吸附过程或导线布局引起。
W(Warburg元件):描述由扩散控制的阻抗。
CPE(常相位元件):这是EIS中最重要也最常见的非理想元件。其阻抗为 ZCPE = 1/[Q(jω)α]。其中Q是一个常数,α是一个指数(0≤α≤1)。
当α=1时,CPE表现为理想电容;当α=0时,表现为理想电阻;当α=0.5时,表现为Warburg扩散。α1表示存在表面或时间常数的分布,通常由电极表面几何不均匀性、表面粗糙度或涂层/膜的性质分布引起。

图9:恒相位元件(CPE)在阻抗数据拟合中的应用及其与时间常数分布的关系。
拟合策略
基础算法:最常用的是复合非线性最小二乘法,它同时最小化模型对实部和虚部数据的拟合残差。
Levenberg–Marquardt 算法:收敛快,并能提供参数的置信区间,但对初始值敏感。
Simplex 算法:对初始值不敏感,更稳健,但不提供置信区间。
推荐策略:首先使用Simplex算法进行初步拟合,以获得一组较好的参数估计值,然后将这些值作为初值,使用Levenberg-Marquardt算法进行精拟合,从而获得具有置信区间的精确参数。

图10:不同时间点下铁氰化物在旋转铂盘上的阻抗数据及其等效电路模型。

锂离子电池
EIS是电池研究不可或缺的工具。一个典型的锂离子电池EIS谱可能包含:
1)超高频:导线电感。
2)高频:与实轴的第一个截距,代表电池的总内阻(包括电解质、隔膜、电极材料的欧姆电阻)。
3)中高频半圆:对应于锂离子穿过固体电解质界面膜 和/或在电极-电解质界面的电荷转移过程。
4)低频斜线:反映锂离子在电极活性颗粒内部的固态扩散。

图11:锂离子电池、PEMFC 等典型谱线示意图。
金属腐蚀研究
EIS可以无损地评估腐蚀速率和机制。
1)高频区:溶液电阻。
2)中频容抗弧:其直径与电荷转移电阻成反比,而电荷转移电阻与腐蚀速率成反比。这是评估涂层防护性能或缓蚀剂效率的关键参数。
3)低频区:如果存在第二个容抗弧,可能表示表面存在腐蚀产物膜;如果出现感抗弧(在Nyquist图中出现在第四象限),则往往揭示了中间吸附物种的存在,为判断腐蚀反应机理提供了重要线索。

电化学生物传感器
在生物传感领域,EIS因其高灵敏度和无需标记而备受青睐。
其基本原理是:当目标生物分子(如抗原、DNA、细胞)特异性结合到修饰在电极表面的识别元件(如抗体、探针)上时,会改变电极-溶液界面的性质,从而导致阻抗(尤其是电荷转移电阻)发生变化。通过监测这种变化,可以实现对疾病标志物、病原体等的超灵敏检测。

图13:利用EIS检测乳腺癌细胞浓度。

误差结构
阻抗数据的误差结构可以用模型对阻抗数据回归的残差来考虑,残差表示为:

其中,Z 代表测量得到的阻抗值,Ẑ 为阻抗的模型拟合值,εfit 表示由模型不完善导致的残差,εstoch 为随机误差分量,εbias 则为系统误差分量。
系统误差包括测试线缆的寄生电感/电容、接触电阻不稳、参比电极极化、屏蔽不足、工频干扰,以及温漂和电解液挥发引起的系统非平稳性;
模型误差则来自等效电路拓扑错误、传质边界条件误设(如将有限扩散误作半无限扩散),以及过度使用常相位元件掩盖电极几何不均匀性或物化性质分布等本质物理特征;
随机误差主要由单频点积分时间不足、低频总测量时长受限,以及宽频噪声与直流漂移叠加所导致。
为提升数据质量与解析可靠性,需采取系统校准与数据验证相结合的策略:在实验层面,应采用四线制连接与标准件校准,实施重复测量与往返扫频验证,并对高、低频异常点进行剔除与重测;
在数据处理中,应在关键频段增强积分时间以提高信噪比,并进行IR校正、K–K关系检验与加权回归,同时辅以不同偏压或环境条件下的谱图一致性对比,确保模型推论具备物理普适性。

图14:阻抗数据的测量模型以识别误差结构。
华算科技是专业的科研解决方案服务商,精于高端测试。拥有10余年球差电镜拍摄经验与同步辐射三代光源全球机时,500+博士/博士后团队护航,保质保量!
🏅已助力5️⃣0️⃣0️⃣0️⃣0️⃣➕篇科研成果在Nature&Science正刊及子刊、Angew、AFM、JACS等顶级期刊发表!
👉立即预约,抢占发表先机!

