说明:本文华算科技主要介绍了循环伏安曲线(CV曲线)的定义、分类、作用及其在电化学研究中的应用。文中详细分类了扩散控制型、吸附控制型、不可逆型和多电子转移型CV曲线,并阐述了其在判断反应可逆性、提供电子转移速率信息以及探测反应路径等方面的重要作用。
循环伏安曲线(CV曲线)基于线性扫描伏安法,通过在一定的电位窗口内以线性速率扫描电极电位,并在达到设定的终点电位后反向扫描,使电极经历一个往返的电位过程,从而获得电流–电位响应曲线。
CV曲线的横轴为施加电位(E),纵轴为响应电流(I)。当系统中存在氧化还原活性物质时,随着电位的扫描,系统中会出现阳极峰和阴极峰,分别对应氧化反应和还原反应。
这些峰的出现与其对应电位的大小、峰电流的大小、峰形的对称性及峰电位间的差异均反映了电极过程的动力学与热力学属性(图1)。

图1. 循环伏安法基本原理图。
循环伏安曲线的形貌不仅反映了电极过程的本征特征,也受到扫描速率、溶液组分、电极材料、电极几何形状、电解质浓度、界面结构等多种因素的影响。因此,在电化学实验设计与数据分析中,对CV曲线的系统性理解与合理解释成为解析电化学行为的前提。
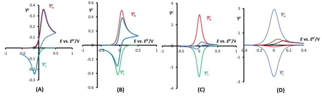
根据电流响应与反应控制机制的不同,可将CV曲线分为若干主要类型:扩散控制型、吸附控制型、不可逆型、多电子转移型等。
扩散控制型
扩散控制型循环伏安曲线是最常见的一种类型,其电流主要受活性物质从溶液主体扩散至电极表面的过程所限制。
在该类型中,反应物未与电极表面发生显著吸附,体系近似符合半无限线性扩散假设。其最主要的特征在于峰电流(Ip)与扫描速率平方根(v0.5)之间呈线性关系,符合Randles–Ševčík方程:

其中,n为电子转移数,A为电极有效面积,D为扩散系数,C为浓度,v为扫描速率。
该类型CV曲线的峰形对称,峰电位差(ΔEp)接近理论值59/n mV(在25°C时),峰电流对称性好,常用于验证可逆性体系(图2)。

图2. 扩散过程控制。DOI: 10.20964/2021.01.65。
吸附控制型
当电活性物种在电极表面具有显著吸附行为时,体系的电流响应将主要受表面吸附过程所限制。在此类型中,峰电流与扫描速率成正比,而非与扫描速率的平方根成正比,说明反应物不再依赖扩散供给,而是由电极表面的覆盖量决定。
该类型的CV曲线通常表现为尖锐的对称峰,且峰形无明显扩散尾。电极过程中的电子转移发生在吸附层上,反应动力学受吸附动力学和表面浓度的双重调控。
此类曲线的电流大小直接反映了电极表面与反应物之间的相互作用强度,可用于研究分子识别、配位行为或界面结构变化(图3)。

图3. 吸附控制型。DOI: 10.1016/j.matlet.2020.127333。
不可逆型
在某些体系中,电子转移过程的速率极慢,或者反应后产物不再还原至初态,形成不可逆电极反应。在该情形下,CV曲线将呈现出单向峰(只有氧化或只有还原),或峰电位显著偏移,无法形成对称氧化–还原峰对。
不可逆过程中的峰电位依赖于扫描速率,并随着v的增加而向更正/负电位方向偏移。此类现象反映了反应的动力学滞后,通常用于分析半电极反应的转移系数(α)、电子转移速率常数(k₀)等动力学参数,适用于缓慢反应体系、固相反应、介面电荷障碍等研究场景(图4)。

图4. 不可逆型。DOI: 10.20964/2022.06.32。
多电子转移型
在涉及多个电子参与的电极反应中,CV曲线通常呈现出两个或多个峰,分别对应于连续的氧化或还原过程。若电子转移过程是分步进行的,每一步都会在不同电位下发生,从而在图谱中形成多个清晰分离的峰。
这些多电子反应可能呈现出两类行为:其一为连续电化学反应,每一步电子转移均在不同电位下发生。其二为协同反应,多个电子同步转移,形成一个高强度但位置偏移的单峰(图5)。

图5. 多电子转移型。DOI: 10.1016/j.inoche.2023.111010。
判断电化学过程的可逆性
通过分析氧化峰与还原峰的对称性、峰电位差以及峰电流的大小与比例关系,可以明确反应是可逆、准可逆还是不可逆。
例如,可逆反应中,氧化还原峰电流近似相等,且峰电位间距接近理论值。
而在不可逆反应中,峰电位差增大,峰形不对称,峰电流比值偏离。这种对反应可逆性的判定对于后续电催化剂设计、电极材料筛选及界面调控等研究具有重要指导价值(图6)。

图6. 可逆性模拟。DOI: 10.1002/elan.201900698。
提供电子转移速率的信息
在不同扫描速率下获取的CV曲线可用于构建峰电流与扫描速率的关系图,通过拟合得出扩散系数、电荷转移速率常数(k₀)及交换电流密度等参数。这些动力学参数在评估催化剂活性、电极反应速控步骤、电荷转移效率等方面发挥着不可替代的作用(图7)。

图7. 动力学参数提取。DOI: 10.1038/s41598-024-67840-x。
探测中间产物和反应路径
通过对CV曲线在不同扫描速率、电解质条件、pH值、温度等变量下的响应变化进行对比分析,可推断反应过程中是否存在电化学/化学偶联机制(如EC、ECE、DISP等),进一步揭示反应机理。
此外,对于多步电子转移过程,CV曲线中出现的多个峰可反映其多级氧化还原行为,为复杂反应体系的路径解析提供依据。

图8. 氧化反应的ECE机理。DOI: 10.1016/j.jelechem.2019.01.069。
【高端测试 找华算】
华算科技是专业的科研解决方案服务商,精于高端测试。拥有10余年球差电镜拍摄经验与同步辐射三代光源全球机时,500+博士/博士后团队护航,保质保量!
🏅已助力5️⃣0️⃣0️⃣0️⃣0️⃣➕篇科研成果在Nature&Science正刊及子刊、Angew、AFM、JACS等顶级期刊发表!
👉立即预约,抢占发表先机!

