说明:本文华算科技详细阐述了如何识别CV曲线中的氧化峰和还原峰,包括其理论基础、影响因素以及识别方法。通过对CV曲线的形状、位置、面积等特征的分析,可以深入了解电极反应的机理,为电化学研究提供重要的依据。

什么是循环伏安法

循环伏安法(Cyclic Voltammetry,简称CV)是一种电化学分析技术,通过在电极与电解质溶液之间施加一个线性变化的电压,并记录电流响应,从而获得电极反应的信息。
如图1,CV曲线是电流(I)与电极电位(E)之间的关系图,通常呈现出一系列的峰。这些峰反映了电极反应的氧化还原过程。准确识别氧化峰和还原峰对于理解电极反应的性质、确定电极材料的电化学活性以及研究电化学反应机理具有重要意义。

图1:循环伏安图。

什么是氧化峰和还原峰

在CV曲线中,氧化峰是指当电极电位增加时,电极发生氧化反应,电流由负向正变化时出现的峰。氧化反应是电极失去电子的过程,通常对应于电极材料的氧化态增加。
如图2,在实际CV图中,通常会标注氧化峰(Epa, ipa)和还原峰(Epc, ipc)的电位和电流值。在金属电极的氧化过程中,金属原子失去电子形成金属离子进入溶液。
还原峰则相反,当电极电位降低时,电极发生还原反应,电流由正向负变化时出现的峰。还原反应是电极获得电子的过程,通常对应于电极材料的氧化态降低。

图2:循环伏安图的氧化还原峰的表示。

Nernst方程与氧化还原反应

Nernst方程是描述电极反应平衡电位的方程,其形式为:
E=E0+(RT/nf)ln(Ox/Red)
其中,E是电极电位,E0是标准电极电位,R是气体常数,T是绝对温度,n是参与反应的电子数,F是法拉第常数,Ox是氧化态物质的浓度,Red是还原态物质的浓度。
根据Nernst方程,氧化还原反应的平衡电位与反应物和产物的浓度有关。在CV曲线中,氧化峰和还原峰的位置与反应的平衡电位密切相关。
当电极电位达到氧化反应的平衡电位时,氧化反应开始发生,电流开始增加,形成氧化峰;当电极电位达到还原反应的平衡电位时,还原反应开始发生,电流开始减少,形成还原峰。

电极反应的动力学

电极反应的动力学描述了电极反应的速率与电极电位之间的关系。根据Butler-Volmer方程,电极反应的电流密度j与电极电位E之间的关系可以表示为:
j = j0[exp(αnF/RT(E–E0))–exp(–(1–α)nF/RT(E – E0))]
其中,j0是交换电流密度,α是电荷转移系数。从Butler-Volmer方程可以看出,电极反应的电流密度与电极电位的差值(E – E0)呈指数关系。
在CV曲线中,氧化峰和还原峰的形状和大小受到电极反应动力学的影响。当电极反应的动力学较快时,氧化峰和还原峰的形状较为尖锐;当电极反应的动力学较慢时,氧化峰和还原峰的形状较为宽平。

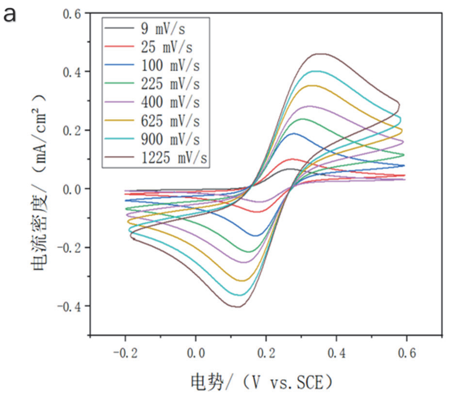
图3:不同扫速下的循环伏安曲线。DOI:10.12461/PKU.DXHX202412024

影响 CV 曲线氧化峰和还原峰的因素

电极材料
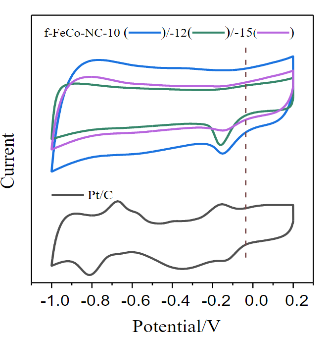
电极材料的性质对CV曲线的氧化峰和还原峰影响显著。金属电极因高电化学活性,氧化峰和还原峰明显;半导体电极活性低,峰较难识别。电极表面状态如粗糙度、氧化层等,也会改变反应路径和速率,影响峰的位置和形状。
如图4,以铁钴氮碳材料(FeCo-NC)作为铝–空气电池阴极催化剂的研究为例,CV测试可揭示不同材料的催化活性差异。通过多次不同速率的反复扫描,得到电流–电势曲线,即CV曲线。观察该曲线,可获取催化剂的电化学性能、电流密度增量及电化学反应可逆性等信息。

图4:f-FeCo-NC-X和Pt/C催化剂在氧气饱和0.1 M KOH电解液中的CV曲线。
电解质溶液
电解质溶液的组成和性质对循环伏安(CV)曲线的氧化峰和还原峰影响显著。电解质溶液的浓度、离子强度、pH值等会改变电极反应的平衡电位和动力学。
浓度增加会提高离子迁移速率,影响氧化峰和还原峰的电流大小;pH值则会改变氧化峰和还原峰的位置。此外,杂质或添加剂也会干扰CV曲线,影响氧化峰和还原峰的识别。
如图5研究了不同电解质溶液对循环性能的影响。在1 M DME电解液中,固态–固态氧化还原反应的阴极峰和阳极峰分别为1.57 V和2.35 V,与使用LP57电解质时的峰值(分别为1.59 V和2.40 V)相比,极化程度较低。
使用LP57和1 M DME电解质时,中间电子转移步骤的转化动力学较慢,导致每个电子转移步骤的电压难以区分,最终形成单一的固态–固态氧化还原峰。DME电解质的溶解能力较弱,会导致有害的多硫化物生成,破坏电池性能。相比之下,THP电解质的溶解能力较弱,不会发生固液相变。

图5:不同电解质的CV曲线,扫描速率为0.1 mV s-1。DOI:10.1002/aenm.202403733
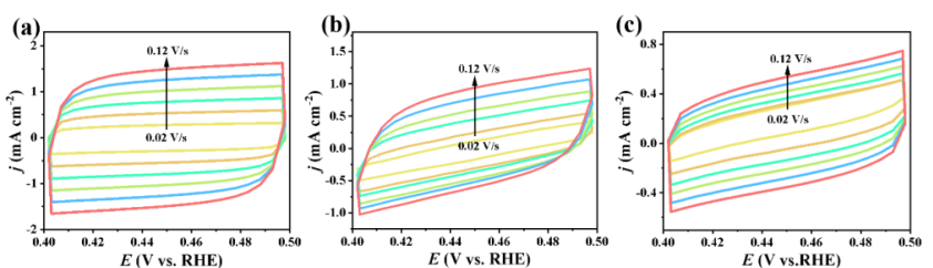
扫描速率
扫描速率是CV实验中的一个重要参数,它表示电极电位随时间的变化速率。扫描速率的大小会影响CV曲线的形状和氧化峰、还原峰的位置。
如图6,扫描速率越大,氧化峰和还原峰的电流越大,峰形越尖锐;扫描速率越小,氧化峰和还原峰的电流越小,峰形越宽平。
这是因为扫描速率越大,电极电位变化越快,电极反应的动力学条件越接近非平衡状态,电流响应越强烈;扫描速率越小,电极电位变化越慢,电极反应的动力学条件越接近平衡状态,电流响应越弱。

图6:Cu9S5 SNWs的CV测试及ECSA值。DOI:10.1002/aenm.202403354

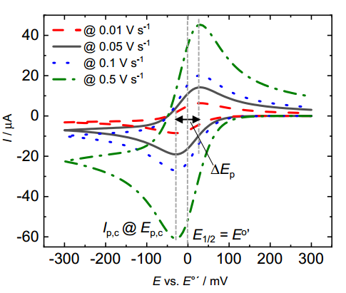
氧化峰与还原峰的特征及区分

基本区分特征
准确识别CV曲线中的氧化峰和还原峰需要系统性地考察多个特征指标。
扫描方向:氧化峰通常出现在正向扫描时(或高电势区域),而还原峰则出现在反向扫描时(或低电势区域) 。
电位位置:氧化峰通常出现在较高的电位,还原峰出现在较低的电位 。
电流方向:氧化过程是阳极过程(电流为正值),还原过程是阴极过程(电流为负值) 。
如图7的CV图中,标注氧化峰(Epa,ipa)和还原峰(Epc,ipc)的电位和电流值 。这种标注规范有助于研究者快速识别峰位性质。值得注意的是,一个化合物或体系可能有多个氧化峰和还原峰,这可能对应于不同的氧化还原步骤、中间产物或不同物种的反应 。这种多峰现象增加了识别复杂度,需要结合体系化学知识进行综合分析。

图7:不同扫速下的循环伏安图。
可逆性判断指标
峰位的对称性与分离程度为判断反应可逆性提供了重要信息。
如图8,对于可逆体系,氧化峰和还原峰的峰电位差(ΔEp)约为59/n mV(25℃时),且峰电流比(ipa/ipc)接近1 。准可逆体系的峰电位差大于59/n mV,但仍能观察到明显的氧化还原峰对。完全不可逆体系则可能只观察到一个峰(氧化峰或还原峰),另一个峰完全消失或极其微弱 。
若反应为可逆,则氧化峰与还原峰的峰高大致相等,曲线呈现上下对称;
若反应不可逆,则氧化峰与还原峰的高度存在差异,曲线的对称性明显较差。

图8:A:可逆反应;B:准可逆反应;C:不可逆反应

结论

准确识别CV曲线中的氧化峰和还原峰是电化学研究的关键。通过理解其理论基础、分析影响因素,并结合观察曲线形状、分析位置、计算面积及其他电化学分析方法,可深入了解电极反应性质,为电极材料研究提供重要参考。随着电化学分析技术的不断发展,未来识别氧化峰和还原峰的方法将更精确高效,为电化学研究和应用开辟更广阔前景。
【高端测试 找华算】
华算科技是专业的科研解决方案服务商,精于高端测试。拥有10余年球差电镜拍摄经验与同步辐射三代光源全球机时,500+博士/博士后团队护航,保质保量!
🏅已助力5️⃣0️⃣0️⃣0️⃣0️⃣➕篇科研成果在Nature&Science正刊及子刊、Angew、AFM、JACS等顶级期刊发表!
👉立即预约,抢占发表先机!

