说明:本文华算科技介绍了电子局域化现象的定义、物理机制、定量判断方法,解释了电子局域化如何导致材料从导体转变为绝缘体,并讨论了安德森局域化和莫特局域化两种主要机制。同时,介绍了电子局域函数(ELF)、逆参与率(IPR)和局域化长度等理论工具,以及通过测量材料电导率变化来间接探测电子局域化的实验方法。
在理想的周期性晶体中,根据布洛赫定理,单电子的本征态是扩展到整个晶格的布洛赫波,这构成了传统能带理论的基础,并成功解释了金属的导电性。然而,在真实材料中,电子并非总是处于这种理想的离域状态。电子局域化现象的出现,标志着对这一理想图像的根本性修正。
从量子力学的角度看,电子局域化指的是描述电子行为的波函数ψ(r)在空间分布上的质变。一个离域的波函数在整个宏观系统中具有非零的振幅,而一个局域化的波函数则集中在某个有限的空间区域内,其振幅会随着远离该区域中心而呈指数级衰减。

图1. 无序介质中波函数从扩展态向局域态转变的概念图:入射波经多次散射后形成相干叠加,导致能流受限并空间束缚,对应电子体系的局域化极限。DOI: 10.1038/nphoton.2013.30
这种波函数的空间受限,直接导致了电子无法在宏观尺度上进行迁移以响应外部电场,从而使材料表现出绝缘体特性。
因此,电子局域化不仅仅是电子空间位置的“固定”,更是一种深刻的量子干涉效应的体现。它代表了电子从波动的、可自由传播的粒子行为,向量子化的、被束缚在势阱中的粒子行为的转变。理解电子局域化的本质,就是要揭示导致这种波函数坍缩和空间约束的内在物理原因。
电子局域化现象主要由两大类物理机制驱动:晶格的无序性和电子之间的强相互作用。这两种机制分别对应着凝聚态物理中两个重要的理论分支——安德森局域化和莫特局域化。
无序驱动的局域化:安德森局域化理论
1958年,P.W. Anderson开创性地指出,晶格中的无序足以导致电子波函数的局域化,这一现象被称为安德森局域化。该理论的核心在于,即使不考虑电子间的相互作用,仅由晶格势的随机性就能引发金属–绝缘体转变。
安德森局域化的物理图像根植于电子波的干涉效应。在含有杂质、缺陷或非晶态结构的材料中,周期性势场被随机的势场所取代。当电子波在这些随机分布的散射中心之间传播时,会发生多重散射。
如果无序程度足够强,来自所有可能散射路径的电子波将发生相干叠加,并产生系统性的相消干涉。这种相消干涉会阻止电子波的进一步传播,有效地将电子“囚禁”在一个有限的空间区域内,使其波函数呈现指数衰减的局域化特征。

图2. 无序驱动的波包扩散抑制与局域化。DOI: 10.1038/nature07071
研究安德森局域化的核心理论模型是安德森哈密顿量,它在一个紧束缚模型的基础上引入了随机的在位势能项。通过分析该模型,物理学家发展出了一系列强大的理论工具,如格林函数方法、自洽理论和标度理论。
特别是标度理论指出,系统的维度对局域化行为起着决定性作用,并预测了在三维系统中存在一个临界的无序强度,超过该强度,费米能级处的电子态将从扩展态转变为局域态,即发生安德森相变。

图3. 准周期势中安德森型局域化:能谱与相图显示随无序强度与能量改变,电子态由扩展经临界过渡至局域;IPR等指标用于定量判据。DOI: 10.1038/s41567-020-0908-7
电子相互作用驱动的局域化:莫特局域化机制
与安德森局域化不同,莫特局域化机制强调了电子–电子相互作用,特别是库仑排斥作用,是导致电子局域化的根源,这种局域化甚至可以发生在完全周期性的理想晶格中。
根据传统的能带理论,任何拥有半满能带的材料都应表现为金属。然而,许多过渡金属氧化物等实际材料,尽管满足半满能带的条件,却表现为绝缘体。
莫特对此的解释是,当电子间的库仑排斥能(U)远大于电子从一个原子格点跃迁到相邻格点的动能(由跃迁积分t表征)时,电子的运动会受到极大抑制。为了避免在同一个格点上出现两个电子而产生巨大的库仑排斥能,每个电子倾向于被“钉扎”在各自的原子格点上。
这种由于强关联效应导致的电子运动受阻,使得整个系统无法形成宏观电流,从而成为绝缘体,即所谓的莫特绝缘体 。
莫特局域化本质上是一种多体效应,其核心是电子运动与库仑排斥之间的竞争。它引发的金属–绝缘体转变被称为莫特转变,是由电子关联强度(U/t的比值)所驱动的。

图4. 莫特绝缘体的本征机理:强相互作用U使能带分裂为上下哈伯德带并打开莫特隙,尽管名义上半填充带仍呈绝缘态。DOI: 10.1038/s41467-020-18040-4
无序与相互作用的协同效应
在真实的物理系统中,无序和电子相互作用往往同时存在,它们的协同效应使得电子局域化问题变得更为复杂和丰富。例如,动态平均场理论(DMFT)是处理强关联系统的有力工具,但其标准形式难以捕捉由无序驱动的安德森局域化。
为了统一描述这两种机制,研究者们发展了更为复杂的理论框架,如将DMFT进行扩展,或采用典型介质理论(TMT)等方法,来探究莫特物理与安德森物理的相互作用。
这些理论尝试在一个统一的框架内处理无序和关联,以更准确地描述真实材料中的金属–绝缘体转变。

图5. 无序与相互作用的协同致Anderson–Mott相变相图。DOI: 10.1038/s41467-023-42858-3
理论与计算表征方法
(1)电子局域函数(ELF)
电子局域函数(ELF)的物理基础源于对电子对密度的分析,特别是通过比较体系中同自旋电子对的实际分布与均匀电子气的分布,来衡量电子成对的概率。其核心思想是,在高度局域化的区域(如原子核内层、化学键、孤对电子),找到另一个同自旋电子的概率非常低。
ELF通过一个标量场将这一概念量化,其值域为[0, 1]。当ELF值接近1时,表示该区域具有高度的电子局域性;而较低的ELF值则对应于电子离域性较强的区域。通过对ELF进行拓扑分析,可以清晰地划分出系统中的原子核、化学键等区域,从而提供一幅直观的电子局域化图像。

图6. ELF实空间分布映射。DOI: 10.1038/s41467-023-40704-0
(2)逆参与率(IPR)
逆参与率(IPR)是另一个广泛用于量化波函数扩展程度的指标,尤其在研究无序系统中特别有效 。对于一个在N个格点上定义的归一化波函数ψi,其IPR定义为
。这个量度量了波函数在空间中的“稀疏度”。
对于一个完全离域、均匀分布在N个格点上的波函数,其IPR值约为1/N,在热力学极限下趋近于0。相反,对于一个完全局域在单个格点上的波函数,其IPR值为1。
因此,IPR的值提供了一个从0到1的标度,可以直接反映波函数的局域化程度,并常被用作识别安德森局域化相变的序参量。

图7. 逆参与率(IPR)用于量化本征态的空间局域程度;IPR 越大表示波函数越局域。DOI: 10.1038/s41467-018-08132-7
(3)局域化长度(λ)
局域化长度是描述局域态波函数空间衰减特性的核心参数。对于一个以r0为中心局域化的波函数,其振幅通常随距离|r-r0|的增加而呈指数衰减,即|ψ(r)|∝exp(-|r-r0|/λ)。这里的λ就是局域化长度。
在局域相中,λ是一个有限值,代表了波函数的空间扩展范围。当系统从绝缘相趋近金属–绝缘体转变点时,局域化长度λ会发散。在金属相中,波函数是扩展的,可以认为λ为无穷大。因此,局域化长度是标度理论中的一个关键物理量,其行为深刻揭示了局域化转变的临界性质。

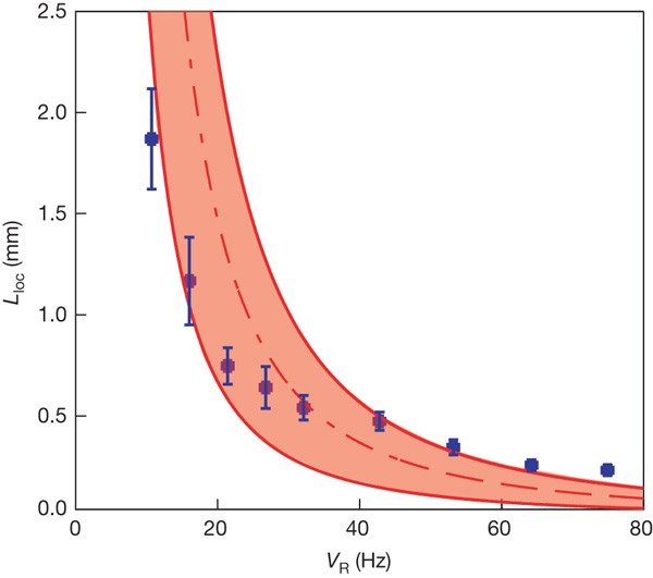
图8. 局域化长度λ随无序强度的变化。DOI: 10.1038/nature07000
实验探测的间接证据
直接在实验上“看到”一个电子的波函数是极其困难的,因此对电子局域化的实验判断通常依赖于对其宏观物理效应的测量,其中最核心的是电子输运性质。
电子局域化的最直接宏观表现就是系统电导率的急剧下降。在绝对零度下,如果费米能级处的电子态是扩展的,系统表现为金属,具有有限的电导率。反之,如果费米能级处的电子态是局域的,电子无法长程输运,系统表现为绝缘体,电导率为零。
因此,通过测量材料电导率随温度、磁场、掺杂浓度或压力的变化,可以推断出金属–绝缘体转变的发生,从而间接证实电子局域化的存在。对直流电导率在零频率极限下(σ(ω→0))的测量是表征局域化转变的关键实验手段之一。

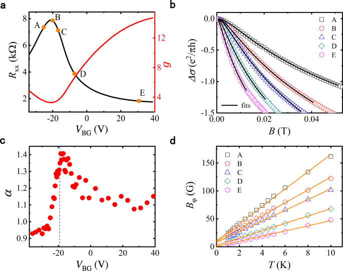
图9. 磁导量子修正与HLN拟合:随温度/散射通道调控,磁导从WAL(负磁场cusp)过渡到WL,揭示相干长度、散射对称性与局域化趋势。DOI: 10.1038/s41467-023-38256-4
【做计算 找华算】
🏅 华算科技提供专业的第一性原理、分子动力学、生物模拟、量子化学、机器学习、有限元仿真等代算服务。
🎯500+博士团队护航,累计助力5️⃣0️⃣0️⃣0️⃣0️⃣➕篇科研成果,计算数据已发表在Nature & Science正刊及大子刊、JACS、Angew、PNAS、AM系列等国际顶刊。 👏👏👏

