说明:本文华算科技介绍了电子局域化的概念、重要性、实现策略、表征技术、量化描述符。电子局域化通过调控活性位点的电子结构,优化反应中间体的吸附与转化。文中详细阐述了缺陷工程、应变工程、界面工程和单原子催化等实现策略,并通过XAS、XPS、STXM等技术进行表征,同时介绍了d带中心、ELF等量化描述符。
电子局域化是指在催化剂中(特别是在费米能级附近的价电子),由于原子芯势、电子–电子强关联效应、晶格无序或缺陷等因素,其波函数在空间上被限制在有限区域(如单个原子、缺陷、界面、特定化学键或某个原子簇)内的现象。
即在该有限区域内电子云密度显著增强或电子态发生改变,使其区别于材料的整体电子特性。

图1 通过调节自旋–轨道相互作用和电子局域化可实现的自旋对称性。DOI:10.1021/acsnano.8b03472
这种局域化的电子态能够有效优化反应物分子的吸附/脱附能垒、活化化学键、稳定关键反应中间体,从而显著提升电催化反应的活性、选择性和稳定性。
电子局域化:电子云密度高度集中在某个或某几个原子周围,表现出类似孤立原子或小分子的电子特性。
电子离域化:电子波函数延展至整个晶格,形成能带,电子可以自由移动,表现出金属性。催化剂的离域状态影响活性、稳定性和选择性,其本质是基于提高导电性。

图2 电子离域化对催化剂CO2还原反应物理化学性质影响示意图。DO:10.1039/d3ey00227f
催化剂的性能往往处于这两种极端之间。一个优异的催化剂需要在保证良好导电性(需要一定程度的电子离域)的同时,在活性位点处实现适度的电子局域化,以优化对特定中间体的吸附能。
调节活性位点的吸附能
根据Sabatier原理,催化剂与反应中间体的结合强度需适中,太强则产物难以脱附导致“位点中毒”,太弱则反应物难以活化。电子局域化程度直接决定了活性位点的电子给予或接受能力。

图3 Co位点的电子局域性能够影响催化剂与吸附分子(-HCOO*)的相互作用,从而调控表面吸附物种的吸附和活化行为。DOI:10.1038/s41467-024-54988-3
影响反应路径与选择性
在复杂的电催化反应如CO2RR中,产物种类繁多(如CO、CH4、C2H4等)。不同中间体(如*COOH、*CHO)的形成和转化需要不同的电子环境。通过调控活性位点的电子局域化状态,可以选择性地稳定某一关键中间体,从而引导反应朝向生成目标产物的路径发展。

图4 电子局域化触发质子泵送铜单原子实现高选择性(92%)的电化学CO2甲烷化。DOI:10.1002/adma.202311149
提升本征活性和原子利用率
在单原子催化剂(SACs)中,金属原子被分散并固定在载体上,其d电子由于缺少金属–金属键而被高度局域化。这种独特的电子结构使得几乎每个金属原子都可能成为活性位点,实现了近100%的原子利用率,并展现出传统纳米催化剂所不具备的独特性质。
缺陷工程
在材料晶格中人为引入点缺陷(如氧空位、硫空位)、线缺陷或面缺陷,是实现电子局域化的经典方法。缺陷的产生会打破原有的原子配位和成键状态,导致缺陷周围产生未饱和的悬挂键和电荷不平衡,从而成为捕获和局域化电子的“陷阱”。

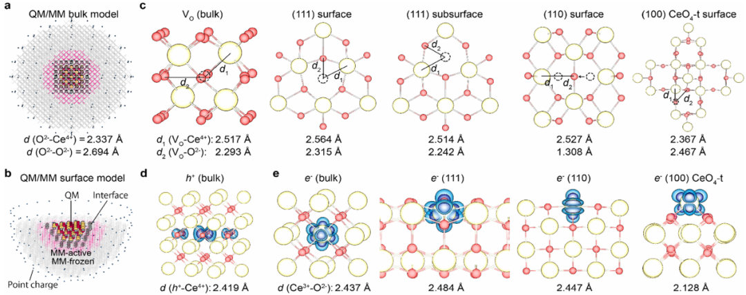
图5 表面的氧空位比体相中的氧空位捕获更多电子,因此CeO₂倾向于表面电子局域化。DOI:10.1021/jacs.5c10679
应变工程
通过在催化剂材料中引入晶格应变(拉伸或压缩),可以精确调节原子间距,改变原子轨道的交叠程度,进而调制其电子能带结构。应变效应通常源于异质外延生长中的晶格失配、核壳结构的形成或材料的几何形貌(如曲率等)。

图6 晶格压缩促进了电子局域化的形成。DOI:10.1002/anie.202506635
界面工程
在两种或多种不同材料的接触面(即异质结界面)上,由于费米能级的差异和功函数的不同,会发生自发的电荷转移和重新分布,导致界面区域形成内建电场和电子的积累或耗尽层。
这种界面效应创造了独特的、高度局域化的电子环境,其性质与任何单一组分都截然不同。界面处的原子排列、化学成键和电子耦合可以被精确设计,以稳定特定的反应中间体或促进电荷的快速转移,从而极大地增强催化性能。

图7 浅陷阱态(STS)在异质结内的电场界面处诱导电子局域化,将电子从价带(Zn 2p)精确地转移到ZnS中S空位。DOI:10.1016/j.gee.2024.11.004
单原子/团簇催化
将催化活性金属以单个原子或亚纳米团簇的形式分散并锚定在载体上,是实现电子局域化的极致策略。
由于量子尺寸效应和与载体的强相互作用,单原子或团簇的电子态呈现出离散的能级特征,电子被高度限制在其独特的配位环境中。这种高度局域化的电子结构不仅最大化了原子利用率,更重要的是,它提供了独特的质子–电子转移位点,能够有效增强对反应物的吸附与活化,从而增强催化选择性。

图8 镍纳米团簇(Ni-NC)修饰的MXene(Ti₃C₂Tₓ)纳米片构建金属–载体相互作用调控电子局域化。DOI:10.1007/s40820-025-01819-9
X射线吸收谱(XAS)
XAS,特别是其近边结构(XANES)和扩展边精细结构(EXAFS),是探测活性位点局域原子和电子结构的最强大工具之一。
通过分析吸收边的位置和形状,可以精确获知活性金属原子的平均氧化态和电子占据情况;而EXAFS则能提供精确的配位数、键长等几何结构信息。原位XAS实验能够在施加电位的过程中连续追踪这些参数的变化,直接揭示电子在活性位点的得失与局域化过程。
下图为电子局域化的Bi1-xVO4—Cu的XAS谱图。XANES谱图显示,Bi1-xVO4—Cu的吸收边位于Cu2O与CuO之间(图a),表明铜价态处于+1至+2之间。XANES谱图一阶导数的线性组合分析,估算Bi1-xVO4—Cu中Cuδ+的氧化态约为+1.65(图2b、c)。
Bi1-xVO4—Cu中形成Cu1.65+而非BiVO4—Cu中的Cu2+,证实了VBi空位诱导的电子局域化效应存在于单原子铜位点。

图9 电子局域化的Bi1-xVO4—Cu的XAS数据。DOI:10.1002/adma.202311149
Cu K边EXAFS拟合结果表明,Bi1-xVO4—Cu中仅存在Cu—O键,未检测到Cu—V或Cu—Bi键(图g–i),说明铜单原子被锚定在部分VBi空位。此外,Bi1-xVO4—Cu中铜单原子的配位数为3,略低于四配位的Cu2+,这源于VBi空位诱导的电子在铜单原子位点的局域化效应。
X射线光电子能谱(XPS)
XPS通过测量从样品表面光电发射出的电子的动能,来确定元素的组成和化学态。当一个原子的局域电子密度发生变化时,其核心能级的束缚能会发生可测量的化学位移。
因此,通过比较反应前后或不同催化剂的XPS谱图,可以推断出电子的转移方向和局域化程度。近大气压XPS(NAP-XPS)等技术的发展,使其能够更接近真实反应条件进行测量。

图10 XPS和EPR结果互相验证了ZS-Vs与ZIS之间存在强界面相互作用,这可以提供丰富的电荷传输通道致使异质结界面处诱导电子局域化。DOI:10.1016/j.gee.2024.11.004
扫描透射X射线显微镜(STXM)
STXM结合了X射线吸收谱的化学敏感性和显微成像的高空间分辨率,能够对催化剂样品进行纳米尺度的化学成像。通过在不同能量下成像,可以绘制出特定元素氧化态的空间分布图。
原位STXM已被用于直接观察单个催化剂颗粒在电化学循环过程中局部氧化态的动态变化,为理解活性位点的电子状态演变提供了直观证据。

图11 β-Co(OH)2颗粒的工况STXM。http://wrap.warwick.ac.uk/190389
虽然实验上更多是定性或半定量地评估电子局域化,但理论计算领域已经发展出一些成熟的描述符来对其进行定量化,这些概念也逐渐渗透到实验数据的解读中。
该理论是描述过渡金属催化活性的一个核心概念。d带中心指的是d电子态密度相对于费米能级的能量平均值。d带中心越高(越接近费米能级),d电子越不稳定、越容易与吸附物成键,但可能导致吸附过强。反之,d带中心越低,与吸附物相互作用越弱。
d带中心的位置直接受到金属原子配位环境、应力/应变、异质原子等因素的影响,而这些因素本质上都在调节d电子的局域化程度。
例如,施加拉伸应变通常会使d带变窄、中心上移,增强电子局域化和反应活性。虽然d带中心是一个计算概念,但可以通过价带XPS或UPS实验来近似测量。

图12 Ti3C2(O2H2–2mPbm)在1/9ML(单层覆盖度)下的ELF切片(A–D)与PDOS(E)图。DOI:10.1021/ja500506k
电子局域化函数(ELF)/电子局域化指标(ELI)
ELF和ELI是理论计算中用于在实空间中可视化和量化电子局域化程度的工具。它们的值域通常在0到1之间,值越接近1,表示在该空间点找到另一对同自旋电子的概率越低,即电子呈现高度的成对局域化(如共价键、孤对电子)。
虽然这些是计算化学的工具,但其可视化结果为实验研究者提供了直观的物理图像,帮助理解催化剂中成键特性和电子分布。
【做计算 找华算】
🏅 华算科技提供专业的第一性原理、分子动力学、生物模拟、量子化学、机器学习、有限元仿真等代算服务。
🎯500+博士团队护航,累计助力5️⃣0️⃣0️⃣0️⃣0️⃣➕篇科研成果,计算数据已发表在Nature & Science正刊及大子刊、JACS、Angew、PNAS、AM系列等国际顶刊。 👏👏👏

