什么是电子局域化
在理想的周期性晶体中,电子的波函数会扩展到整个材料中,形成所谓的布洛赫波,这种状态下的电子是离域的,能够自由移动并传导电流。
然而,电子局域化(Electron Localization)描述的是一种与之相对的量子现象:电子的波函数不再是扩展的,而是被束缚在空间中的某个有限区域内,其波函数振幅会随着距离该区域中心增加而呈指数形式衰减

其中Lc被称为局域化长度。一个局域化的电子无法在整个材料中自由移动,因此不直接贡献于直流电导。

DOI:10.1038/nphys2256
这一概念最早由P.W. Anderson在1958年提出,用以解释无序系统中的电子输运问题,即安德森局域化(Anderson Localization)。
此外,即使在完全没有无序的完美晶格中,强大的电子间库仑排斥作用也能导致电子被“钉扎”在各自的原子位置上,形成莫特局域化(Mott Localization)。因此,电子局域化是理解从金属到绝缘体转变的关键。
应用领域
电子局域化并非罕见的理论现象,它在众多前沿材料和物理领域中扮演着决定性角色。
强关联电子系统:在如锰氧化物等强关联材料中,电子局域化与许多新奇物性直接相关,例如巨磁阻效应(CMR)和金属–绝缘体相变(Metal-Insulator Transition)。通过调控温度、磁场或掺杂,可以诱导电子在局域态和离域态之间切换,从而实现材料导电性和磁性的巨大改变。

DOI:10.1038/ncomms1109
低维材料:在二维或一维系统中,量子限制效应会显著增强局域化的趋势。根据标度理论,在一维系统中,任何微小的无序都足以使所有电子态局域化。这在半导体量子点、量子线以及石墨烯等二维材料的缺陷研究中至关重要。
拓扑材料:拓扑绝缘体拥有受拓扑保护的、导电的表面态或边缘态,但其体态通常是绝缘的。这种体态的绝缘性质正是由缺陷或杂质导致的电子局域化所保证的。研究无序对拓扑态的影响,以及局域化与拓扑保护之间的相互作用,是当前拓扑物理的一大热点。
无序半导体:在非晶硅或有机半导体等材料中,原子排列的无序性是其固有特征。这种结构上的无序导致在能带的带边形成大量的局域态(带尾态),这些局域态直接控制着材料的光电导和载流子输运特性。
为什么电子会局域化
电子的局域化主要源于两大物理机制:晶格的无序性和电子间的强相互作用。
无序与随机势场(安德森局域化):这是最普遍的局域化原因。晶体中的任何不完美之处,如杂质原子、晶格缺陷、位错或声子振动,都会破坏晶格的周期性势场,形成一个随机起伏的势场。当电子在这样的势场中运动时,其波函数会发生相干的散射。如果无序足够强,多重散射的干涉效应会使电子波函数被“囚禁”在某个势阱中,无法传播出去,从而形成局域态。

DOI:10.1038/s42005-021-00777-z
强电子关联(莫特局域化):即使在一个完美的周期性晶格中,如果电子间的库仑排斥作用非常强烈,也会导致局域化。哈伯德模型(Hubbard Model)是描述这一现象的经典模型。该模型指出,当两个电子占据同一个原子轨道时,会产生巨大的能量代价(哈伯德U)。
如果这个排斥能远大于电子从一个原子跳跃到另一个原子的动能,电子为了避免能量惩罚,会选择待在各自的原子位点上,从而被“冻结”,无法自由运动,最终导致系统从金属转变为莫特绝缘体。
局域化与材料性质的关系
电子从离域态到局域态的转变,会剧烈地改变材料的宏观物理性质。
电学性质:这是最直接的影响。电子局域化是金属–绝缘体相变的微观根源。局域化的电子无法响应外电场形成宏观电流,导致材料电阻率在低温下急剧升高,表现出典型的绝缘体或半导体行为。

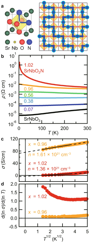
DOI:10.1038/nmat2934
磁学性质:在许多过渡金属氧化物中,电子的局域化状态与磁序密切相关。例如,在钙钛矿锰氧化物中,双交换作用需要电子在相邻的锰离子之间跳跃(离域)才能形成铁磁性。当电子因某种原因(如晶格畸变)局域化后,双交换作用被削弱,可能导致材料从铁磁金属态转变为顺磁或反铁磁绝缘态。这一过程也与巨磁阻效应的产生机制紧密相连。
光学性质:局域态通常位于材料能带的带隙中,形成所谓的“带尾态”。这些态的存在会改变材料的光吸收和光发射谱。涉及局域态的光学跃迁能量更低,谱线更宽,这在非晶半导体和有机发光二极管(OLED)等器件中尤为重要。
热学性质:电子是热的良导体。电子局域化后,其对热导率的贡献(电子热导)会大幅下降。这对热电材料的设计有重要影响,因为优秀的热电材料需要在保持较高电导率的同时尽可能降低热导率。然而,由无序引起的电子局域化通常会同时抑制电导和热导,不利于热电性能的提升。

DOI:10.1126/sciadv.1501283
小结
电子局域化是源于量子干涉效应和电子间强相互作用的基础物理现象,它深刻地揭示了无序和关联在固体材料中的重要作用。
从根本上说,它是区分金属和绝缘体的关键。对电子局域化的深入理解和精准调控,不仅推动了凝聚态物理学的发展,也为设计具有新奇电、磁、光、热特性的功能材料和量子器件(如存储器、传感器)开辟了广阔的道路。
【做计算 找华算】
🏅 华算科技提供专业的第一性原理、分子动力学、生物模拟、量子化学、机器学习、有限元仿真等代算服务。
🎯500+博士团队护航,累计助力5️⃣0️⃣0️⃣0️⃣0️⃣➕篇科研成果,计算数据已发表在Nature & Science正刊及大子刊、JACS、Angew、PNAS、AM系列等国际顶刊。 👏👏👏

