OER自由能台阶图的定量构效关系与设计准则

OER(氧气析出反应自由能台阶图电催化研究中的核心工具之一,用于分析催化剂在不同反应路径中的能量变化,从而评估其催化活性和效率。
自由能台阶图通过展示反应中间体的吸附能和自由能变化,揭示了反应的决速步骤(rate-determining step, RDS),并为催化剂设计提供了理论依据。
本文将从多个角度详细分析OER自由能台阶图的构建、意义及其在不同研究中的应用。
OER自由能台阶图的定量构效关系与设计准则
OER自由能台阶图的定量构效关系与设计准则

OER自由能台阶图的构建与计算方法

OER自由能台阶图的构建通常包括以下几个步骤:
确定反应路径OER反应的总反应方程式为 2H2O→O2+4H++4e。反应路径通常包括水分子的解离、中间体(如*OH、*O、*OOH)的形成以及氧气的析出。这些中间体的吸附能和自由能变化是构建台阶图的关键数据。
搭建吸附模型在DFT计算中,需要构建催化剂表面的吸附模型,包括水分子、氢离子、电子等中间体的吸附构型。例如,对于单原子催化剂(如Ir、Co、Ni等),需要构建其在金属表面的吸附模型,并优化其几何结构。
OER自由能台阶图的定量构效关系与设计准则
DFT计算通过密度泛函理论(DFT)计算各中间体的吸附能和自由能变化。计算过程中需要考虑零点振动能(ZPE)和熵的影响,以获得更准确的吉布斯自由能(Gibbs free energy)。
绘制自由能台阶图根据计算得到的自由能数据,绘制反应路径上的自由能变化曲线。通常,自由能台阶图以反应坐标为横轴,自由能为纵轴,每个步骤的自由能变化用箭头表示,决速步骤通常用阴影或颜色标记。
OER自由能台阶图的定量构效关系与设计准则
OER自由能台阶图的定量构效关系与设计准则
OER自由能台阶图的定量构效关系与设计准则

OER自由能台阶图的意义与作用

识别决速步骤自由能台阶图中,决速步骤是整个反应路径中能量最高的步骤,通常对应于反应的瓶颈。
例如,在Pd’@PtSe2催化剂中,OER的决速步骤为*OH的脱质子步,而Ir-O6八面体的压缩应变显著降低了该步骤的势垒。通过识别决速步骤,可以针对性地优化催化剂结构,提高反应效率。
评估催化剂活性自由能台阶图反映了催化剂对反应路径的调控能力。理想催化剂应使决速步骤的自由能尽可能低,从而降低反应的过电位(overpotential)。
例如,Co@MoS2和Cu@MoS2在OER反应中表现出不同的活性,其中Co@MoS2在过氧(HOO*)阶段的自由能台阶较低,表明其在该步骤的反应活性较高。
OER自由能台阶图的定量构效关系与设计准则
比较不同催化剂性能自由能台阶图可以用于比较不同催化剂的性能。例如,Fe基催化剂在OER反应中的过电位为0.83 V,而Co基催化剂仅为0.36 V,表明Co基催化剂在OER过程中表现出更高的活性和效率。
此外,Al掺杂的BiVO4 (010)晶面在OER反应中的过电位显著降低,表明掺杂可以有效改善催化剂性能
OER自由能台阶图的定量构效关系与设计准则
OER自由能台阶图的定量构效关系与设计准则
指导催化剂设计自由能台阶图为催化剂设计提供了理论依据。例如,通过引入缺陷、掺杂或构建异质结构,可以优化催化剂的电子结构,降低决速步骤的自由能。
例如,Sr2IrO4的Ir-O6八面体压缩应变显著降低了OER的决速步骤的势垒,从而提高了催化效率。
OER自由能台阶图的定量构效关系与设计准则
OER自由能台阶图的定量构效关系与设计准则

OER自由能台阶图在不同研究中的应用

单原子催化剂单原子催化剂因其独特的电子结构高活性而受到广泛关注。例如,(Rh-O4)3@h-B12N12在标准条件下(U=0 V)的OER自由能图显示了从水分子到氧气的反应路径,其中决速步骤的自由能变化为0.77 eV。
此外,单原子催化剂(如Fe@NₓCᵧ)在OER反应中的自由能台阶图表明,其在OOH和O步骤的自由能较低,表明其在这些步骤的反应活性较高。
OER自由能台阶图的定量构效关系与设计准则
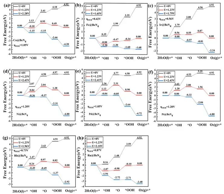
二维材料二维材料因其大比表面积可调的电子结构而成为OER催化剂的热门候选。例如,TM@BeN4(TM=Fe, Co, Ni, Ru, Rh, Pd, Ir, Pt)在pH=0条件下表现出不同的OER自由能台阶图。
例如,Ir@BeN4的自由能台阶图显示其在O和OOH步骤的自由能较低,表明其在这些步骤的反应活性较高。此外,(Ni,Fe)3S2和(Ni,Fe)S在OER反应中的自由能台阶图显示,其在不同电势下的反应路径和能量变化存在差异。
OER自由能台阶图的定量构效关系与设计准则
OER自由能台阶图的定量构效关系与设计准则
异质结构异质结构通过界面效应电子结构的协同作用,可以显著提高催化剂的性能。例如,IrO₂/SrIrO₃异质结构通过优化吸附能差值,显著降低了OER的过电位,突破了传统理论限制。
此外,NiOOH/FeOOH界面在OER反应中的自由能台阶图显示,其在不同电势下的反应路径和能量变化存在差异,表明界面效应对其催化性能有重要影响。
OER自由能台阶图的定量构效关系与设计准则
掺杂与表面修饰掺杂和表面修饰是提高催化剂性能的有效手段。例如,Al掺杂的BiVO4 (010)晶面在OER反应中的过电位显著降低,表明掺杂可以有效改善催化剂性能。
此外,表面吸附的BiVO4 (010)晶面在OER反应中的自由能台阶图显示,其在第一步反应的过电势为1.07 V,表明表面吸附可以显著降低反应的过电位。
OER自由能台阶图的定量构效关系与设计准则
OER自由能台阶图的定量构效关系与设计准则

OER自由能台阶图的局限性与挑战

尽管OER自由能台阶图在电催化研究中具有重要意义,但仍存在一些局限性:
计算成本高DFT计算需要大量的计算资源,尤其是对于复杂催化剂体系,计算成本较高。此外,自由能台阶图的构建需要大量的实验数据和理论模型的支持,因此在实际应用中可能存在一定的局限性。
实验验证困难自由能台阶图主要基于理论计算,而实验验证较为困难。例如,某些催化剂的自由能台阶图可能与实验结果存在差异,因此需要进一步的实验验证和理论修正。
反应路径复杂性OER反应涉及多个中间体和复杂的反应路径,因此自由能台阶图的构建和解释需要高度的理论知识和实验经验。例如,某些催化剂的自由能台阶图可能显示多个决速步骤,这需要进一步的分析和解释。
OER自由能台阶图的定量构效关系与设计准则
OER自由能台阶图的定量构效关系与设计准则

OER自由能台阶图的未来发展方向

多尺度模拟未来的研究可以结合多尺度模拟方法,如分子动力学(MD)蒙特卡洛(MC)模拟,以更全面地理解OER反应的机理和动力学行为。
OER自由能台阶图的定量构效关系与设计准则
机器学习机器学习技术可以用于加速自由能台阶图的构建和优化。例如,通过机器学习模型,可以快速预测不同催化剂的自由能台阶图,并指导催化剂的设计。
实验-理论结合未来的研究应更加注重实验与理论的结合,通过实验验证自由能台阶图的准确性,并进一步优化催化剂的性能。
OER自由能台阶图的定量构效关系与设计准则
OER自由能台阶图的定量构效关系与设计准则

总 结

OER自由能台阶图是电催化研究中的重要工具,用于分析催化剂在不同反应路径中的能量变化,从而评估其催化活性和效率。
通过构建自由能台阶图,可以识别决速步骤评估催化剂性能比较不同催化剂的性能,并指导催化剂的设计。
尽管自由能台阶图在实际应用中仍面临一些挑战,但随着计算方法的不断进步和实验技术的不断完善,其在电催化领域的应用前景将更加广阔。

声明:如需转载请注明出处(华算科技旗下资讯学习网站-学术资讯),并附有原文链接,谢谢!
(0)
上一篇 2025年6月19日 下午6:09
下一篇 2025年6月25日 下午2:12

相关推荐