1. 简介
通过动态塑性变形在固溶奥氏体钢中诱发了位错、纳米孪晶和纳米晶等多种结构,随后进行时效处理以研究其析出行为与硬化效应。
显微结构表征表明:γ′纳米颗粒在高密度位错的粗晶中均匀分布,但在纳米孪晶的孪晶界上富集;而η纳米析出物则出现在纳米晶的晶界处。令人惊讶的是,纳米晶中η纳米析出物产生的析出硬化效果(硬度提升约1.7 GPa)与粗晶中γ′纳米析出物的硬化效果相当,这与粗晶材料中η相通常损害强度的传统认知显著不同。

2. 文章亮点
1. 纳米晶中η相析出的反常强化效应
研究发现纳米晶界处形成的η相纳米析出物(尺寸数至数十纳米)可产生约1.7 GPa的显著硬化效果,与传统粗晶材料中η相损害强度的认知截然不同,揭示了纳米结构对第二相强化行为的颠覆性影响。
2. 应变诱导结构加速析出动力学
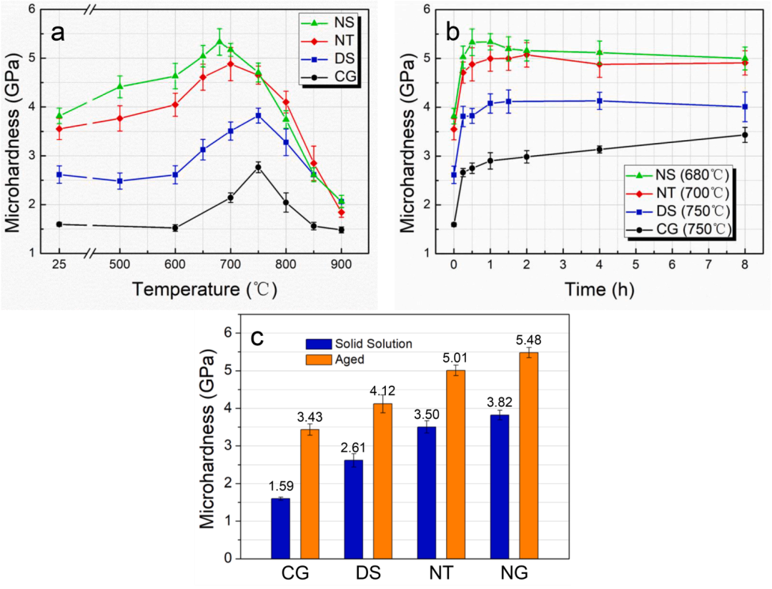
通过动态塑性变形构建位错、纳米孪晶和纳米晶,将峰值时效温度从粗晶的750°C降至纳米晶的680°C,时效时间从8小时缩短至30分钟,为高效调控析出工艺提供了新途径。
3. 晶界位错活动驱动γ′→η相变机制
首次阐明纳米晶中η相通过晶界位错活动由γ′相转变而来,其细小球形/棒状形态和晶界约束效应是强化的关键,为设计纳米晶-非常规第二相协同强化的材料提供了理论依据。
3. 研究背景
析出硬化是提高金属材料(如高温合金、铝合金和铜合金)强度的有效策略,但高合金化通常会导致成本上升。通过塑性变形构建纳米层状、纳米孪晶或位错结构,可在不改变成分的前提下优化材料性能。近年来,研究者致力于设计兼具变形基体与析出相的复合微观结构,例如将纳米孪晶、剪切带、梯度结构或异质结构与析出相结合以提升力学性能。
值得注意的是,不同应变诱导微观结构的析出与强化行为存在显著差异。基体微观结构的差异可能改变析出特性甚至析出序列。例如,随着晶粒尺寸减小,析出相倾向于在晶界处非均匀形核。此外,有研究表明,在纳米晶Inconel 718高温合金中,经典的γ′和γ″相形成被η和δ相大量取代。
在多数高温合金和高熵合金中,共格的γ′-Ni₃(Al,Ti)是主要强化相。高Ti/Al比合金通过增加γ′/γ错配度和反相边界能来增强γ′相强化效果,但过高的Ti/Al比可能导致长期时效或服役过程中亚稳态γ′相向稳定η-Ni₃Ti相转变。传统粗晶材料中,η相通常以魏氏体形态存在,其微米级薄片结构会损害强度和塑性。然而,冷轧高熵合金中通过将第二相从纳米颗粒转变为金属间化合物纳米棒,实现了优异的强塑性组合。目前,通过预引入变形微观结构以调控第二相形貌与分布来优化力学性能的研究仍较为有限。
本研究选择高Ti/Al比的固溶奥氏体钢为初始材料,通过控制应变塑性变形分别引入位错、纳米孪晶和纳米晶结构,随后进行时效处理以分析不同应变诱导基体中纳米相的析出行为。利用TEM表征析出相的形貌、尺寸和分布,并探讨其硬化机制。
4. 图文解析




5. 文章结论
本研究通过动态塑性变形在固溶奥氏体钢中依次引入位错、纳米孪晶和纳米晶等不同应变诱导结构,系统考察了其析出行为与硬化效应。结果表明:随着应变增加,材料微观结构从高密度位错逐渐演化为纳米孪晶束和纳米晶,显著加速了析出动力学过程。在含高位错密度的粗晶基体中,纳米级γ′析出相均匀分布;而在纳米孪晶样品中,γ′相优先在孪晶界上析出。值得注意的是,纳米晶区域中异常形成了η-Ni₃Ti纳米析出相(而非γ′相),其尺寸为数至数十纳米,呈球状/棒状形态分布于晶界处,并产生约1.7 GPa的显著硬化效果,与粗晶中γ′相的强化水平相当。
全文链接
https://doi.org/10.1016/j.scriptamat.2023.115396
本文源自微信公众号:科学拾光
原文标题:《《scripta》刊发中科院金属所新成果:应变诱导纳米晶+η相,强度提升1.7 GPa》
原文链接:https://mp.weixin.qq.com/s/gwhlzTDMbJZYapVgl2pohA
本转载仅出于分享优质测试干货,旨在传递更多观点,并不代表赞同其全部观点或证实其内容的真实性。文章中所包含的图片、音频、视频等素材的版权均归原作者所有。如有侵权请告知删除。

