说明:本文华算科技全面探讨了晶格失配与应变效应的定义、对比、调控机制及应用。通过深入分析晶格失配引发的应变效应在结构、电子结构、力学和界面物理中的多尺度响应,揭示了其在材料性能调控中的关键作用。
晶格失配、应变效应是什么?
晶格失配(Lattice Mismatch)是指两种晶体材料在构建异质结构时,因其本征晶格常数不同而在界面处产生的周期性不连续现象。这一失配代表了材料结构几何构型的天然不兼容性,是异质外延生长中影响界面结合质量与结构稳定性的核心变量。晶格失配常用失配率(mismatch ratio)定量描述:

其中 f > 0 表示拉伸型失配,f 为压缩型失配。晶格失配在物理本质上体现为界面晶格向不同晶体周期同步过渡的不连续性,直接影响薄膜能否以共格(coherent)方式与衬底匹配生长。

应变效应(Strain Effect)是晶格失配引发的原子尺度结构响应。它描述的是材料系统为了最小化界面自由能,在局部区域内形成的弹性或非弹性几何变形过程,是晶体对界面扰动所做出的力学适应行为。
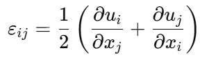
应变本质上是一个二阶张量场:

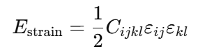
该张量表征晶格点相对于无应力参考状态的方向性位移,是单位晶胞在形状和体积上的畸变。其能量表达为应变能密度:

其中Cijkl为弹性刚度张量,表征不同方向应变耦合的刚性响应。应变效应既包括可逆的弹性调节,也涵盖不可逆的结构重构机制,如位错、界面重排与晶格滑移。
晶格失配 VS 应变效应
晶格失配本质上是一种几何层面的度量,体现为不同材料本征晶格参数间的不可调和性与界面几何周期的不一致,其核心在于异质结合过程中固有的结构不相容性。与之相对,应变效应则是该几何失配在材料内部转化后的物理表现,其机理在于原子间平衡键长与键角的偏移所引发的弹性能积累与局域构型畸变。
二者的根本区别在于:晶格失配属于界面构建中的先天几何约束,具有因果性的源头属性;而应变效应则是该约束通过力学与电子结构的协同耦合所诱导的结果性响应,具体表现为晶格形变、能带结构调制以及缺陷态的演化,从而构成材料性能调控的重要内在机制。

图1. 应变工程示意图,包括核壳结构、金属–衬底结构中的晶格失配应变工程及非晶–晶体相边界的平面应变工程。DOI: 10.1038/s41467-022-31971-4
晶格失配如何诱导应变效应
结构层级响应机制
在外延生长初期,若晶格失配率处于临界范围(通常 ),薄膜通过弹性应变调节晶格常数,实现共格(coherent)对接,界面保持周期性原子对齐,系统仍处于亚临界应变稳定态。此时,应变主要通过原子间距微调分散于整个薄膜体相中,尚未激发缺陷机制。
然而,随着薄膜厚度增加或失配率进一步增大,应变能在系统中积累并集中于界面处。当超过临界厚度(critical thickness)后,系统将通过结构重构降低总能量,表现为位错生成、界面半共格化、层错激活或塑性松弛等非弹性响应机制。
应变效应因此由单纯的弹性张量描述,转向耦合位错滑移、晶格扩散与缺陷迁移的多物理场演化系统。

图2. 具有相干界面的异质外延PAE薄膜弹性缓解晶格失配应变。DOI: 10.1021/acs.nanolett.7b04737
电子结构与能带调控作用
晶格失配作为界面构型中的初始几何扰动,会在异质结构中诱导内建应变场,从而通过对晶体周期性与对称性的调节显著影响其电子结构。失配应变首先通过改变原子间距与晶格常数,引起布里渊区的变形与晶格对称性的破坏,从而改变电子所感知的周期势场。
应变导致导带底(CBM)和价带顶(VBM)的位置发生偏移,实现带隙的拓宽或缩小;同时应变还会调节能带曲率,进而改变载流子的有效质量与迁移率。
在点群对称性破缺的情况下,原本简并的能带将发生劈裂,导致态密度(DOS)重新分布。此外,局域晶格畸变还会影响轨道间的杂化程度以及自旋轨道耦合(SOC)强度,进一步拓展对拓扑态、自旋极化态和谷电子态的调控能力。
因此,晶格失配通过诱导应变构建起结构–能带–功能之间的因果链条,是实现从几何扰动到电子态调控的核心物理机制。

图3. 半导体材料的能带间隙和晶格失配示意图,以及不同结构设计对能带边缘偏移的影响。DOI: 10.1002/cphc.201500868
力学和界面物理中的耦合机制
从力学角度看,晶格失配所引发的应变效应构成了材料界面处的应力集中源。在微观层级,应变导致局部键长与键角发生畸变,破坏了晶体对称性与局部配位稳定性,进而诱导晶体中出现位错核、空位、间隙原子等点缺陷乃至晶界结构重构,形成缺陷诱导失稳路径。
特别是在多层异质结构中,应变累积往往导致整个结构体系在临界应变下发生突然的断裂、起翘或层间滑移现象。
同时,在界面区域,晶格失配与应变耦合使界面成为一个能量密度集中区,易出现电荷积累、界面极化与载流子重构等效应,影响界面电导率与载流子输运特性,尤其在氧化物异质结与二维范德华界面中表现尤为突出。

图4. 反应性CaO/Mo界面的模型,其中在氧化物/金属边界形成的三元Ca-Mo-O相允许有效的应变释放。 DOI: 10.1103/PhysRevB.83.245407
晶格失配与应变的应用
基于晶格失配诱导的应变调控原理,应变工程已成为功能材料设计中的关键物理工具。其核心在于通过调节原子间距与晶格对称性,改变极化状态、能带结构、声子散射和轨道杂化,从而实现对电、热、光等性能的精准控制。
例如,铁电材料中应变可驱动极化翻转,热电材料中可增强声子散射降低热导,半导体中可调节带隙与迁移率,光电器件中可优化界面态以实现波长调控,二维材料中则可激发谷极化与压电响应。
因此,应变不仅响应晶格失配,更构建了从微观结构到宏观性能的调控通路,推动“应变调控材料设计”成为先进材料研发的重要范式。

图5. 应变工程调控二维材料的压电性能。DOI: 10.1016/j.matt.2023.12.031。
【高端测试 找华算】
华算科技是专业的科研解决方案服务商,精于高端测试。拥有10余年球差电镜拍摄经验与同步辐射三代光源全球机时,500+博士/博士后团队护航,保质保量!
🏅已助力5️⃣0️⃣0️⃣0️⃣0️⃣➕篇科研成果在Nature&Science正刊及子刊、Angew、AFM、JACS等顶级期刊发表!
👉立即预约,抢占发表先机!

