说明:本文华算科技系统介绍了尖端电场效应的基本概念、物理机制及其在电动力学中的理论延展。读者可以从中掌握电场在导体尖端处显著增强的根本原因,理解曲率半径与电场增强因子的定量关系,学会分析几何边界对电荷分布和电场线聚集的影响,为高压绝缘设计、场发射器件开发及微观电场调控等应用提供关键理论基础。
什么是尖端电场效应
在一般情况下,电场分布依赖于电荷在空间的分布形式与边界条件。然而,当导体几何结构中出现极细、极锐利或曲率半径很小的尖端时,电场强度会在局部空间发生显著增强,这一现象被称为尖端电场效应(tip effect或field enhancement effect)。
尖端电场效应不仅是几何边界条件作用下的数学结果,更反映了电场线分布趋向最小势能路径的物理特征。其本质在于:在曲率半径极小的尖锐界面处,电场线强烈聚集,局部电场强度远高于宏观平均水平。

图1. 利用尖端增强电场的电化学废水处理抗结垢策略研究。DOI: 10.1021/acs.est.4c03572
基本定义
电场与边界条件的基本关系
根据静电学原理,电场强度E与电势分布φ之间满足关系式:
E=–▽φ
而电势φ的分布则由泊松方程或拉普拉斯方程决定。在导体表面,电势保持恒定,且电场线与表面垂直分布。由此,导体表面的曲率变化直接影响电场分布的空间梯度。

图2. 曲率增强MOF电极助力CDI高效除氟研究。DOI: 10.1039/D4SC08020C
所谓尖端电场效应,即指当导体表面具有尖锐突起、针状结构或曲率半径极小的几何特征时,局部表面的电场强度显著高于其他区域的一种现象。换言之,电场在尖端位置被强烈“压缩”,其结果是局部区域的电场增强因子显著上升。
这一效应可形式化定义为:
β=Etip/E0
其中,β为增强因子,Etip为尖端区域电场强度,E0为宏观或平均电场强度。当几何尖锐程度增加时,β值亦随之上升,体现出尖端电场的放大效应。

图3. 尖端电场效应导致OH–集聚促进析氧反应研究。DOI: 10.1002/adma.202007377
物理机制
曲率半径与电荷分布规律
导体表面的电荷分布与其曲率密切相关。经典静电学指出,表面电荷面密度σ与曲率呈正相关关系。在尖锐曲率半径区域,电荷更易聚集,从而在局部形成极高的电荷面密度。由高斯定律可知,电场强度与电荷面密度满足:
E=σ/ε0
其中ε0为真空介电常数。因此,当表面电荷在尖端聚集时,电场强度必然随之增强,这一增强在数学上表现为曲率半径趋于零时电场强度趋于无穷大。

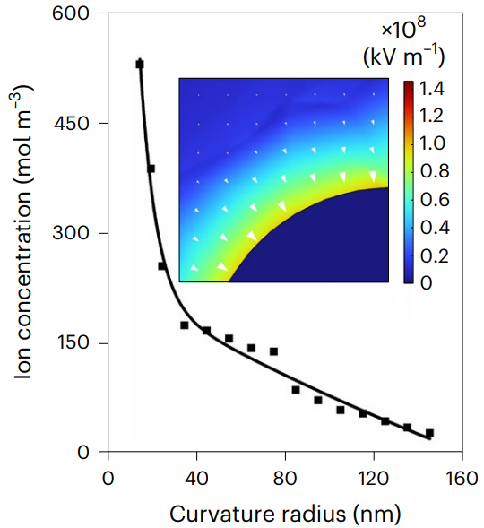
图4.离子浓度随曲率半径梯度的变化关系。DOI: 10.1038/s44221-024-00340-4
电场线聚集与势能梯度效应
从电场线分布角度来看,电场线的密度代表电场强度。在尖端区域,电场线因边界条件约束而聚集,导致电场线密度显著提高。与此同时,电势梯度在尖端区域陡然增大,表现为局部势能曲面弯曲程度增强。这种由几何形态驱动的场强集中,是尖端电场效应的直接物理表现。

图5. 不同温度下C5F10O/N2混合气体准均匀场电场分布,从-5℃到-25℃,等电场线密度降低,但针电极尖端的电场集中趋势依然显著。DOI: 10.27791/d.cnki.ghegy.2025.000061
增强因子的定量关系
理论分析表明,电场增强因子与尖端曲率半径r呈近似反比关系,即:
β∝1/r
曲率半径越小,局部电场增强越明显。此类近似关系虽然简化了实际复杂的边界条件,但足以揭示几何形态对电场分布的决定性影响。这一规律也为尖端电场效应的定量理解提供了最基本的数学框架。

图6. 随着曲率半径增大而变化的电子轨迹图。曲率半径的增加会使场增强因子减小,但该研究所设计的纳米尖端发射面面积增大导致的发射电子增加超过因为场增强因子减小而减少的发射电子。DOI: 10.27005/d.cnki.gdzku.2025.000533
总结
尖端电场效应最初建立在静电学框架中,即导体表面电荷分布规律与静态电场线聚集效应。然而,在电动力学与时变场条件下,该效应同样存在。高频电场作用下,尖端区域依旧保持电荷集中趋势,局部场强依然远超平均值。这表明尖端效应不仅限于静态场,而是一种更为普适的边界几何效应。
从微观到宏观,尖端电场效应均表现出跨尺度一致性。
在微观层面,曲率极小的几何特征导致局部电荷分布非均匀化;在宏观层面,尖端效应则体现为电场线在空间分布上的整体重排。这种跨尺度的普适性说明尖端电场效应并非特定条件下的偶发现象,而是电场分布与几何形态耦合的必然结果。

图7. 尖端效应增强局部流场实现高效流动电极电容去离子。DOI: 10.1007/s40820-024-01531-0
综上所述,尖端电场效应是一种由几何边界特征决定的局部电场增强现象,其本质机理源于曲率半径对电荷分布与电场线密度的调控。其核心特征可归纳为以下三点:
几何依赖性:电场强度随尖端曲率半径减小而增强;
局域集中性:增强效应主要发生在尖锐区域,具有高度空间局限性;
普适有效性:无论静电场还是时变场条件,均可观察到类似效应。
结语
尖端电场效应作为电场分布研究中的一个基本概念,不仅揭示了电场与几何边界条件之间的紧密联系,也为理解复杂电场体系提供了一个核心框架。从最基本的电荷分布规律,到电场线聚集与电势梯度的陡增,再到多尺度和时变场的普适延展,尖端电场效应构成了电学理论体系中不可或缺的一环。
【高端测试 找华算】
华算科技是专业的科研解决方案服务商,精于高端测试。拥有10余年球差电镜拍摄经验与同步辐射三代光源全球机时,500+博士/博士后团队护航,保质保量!
🏅已助力5️⃣0️⃣0️⃣0️⃣0️⃣➕篇科研成果在Nature&Science正刊及子刊、Angew、AFM、JACS等顶级期刊发表!
👉立即预约,抢占发表先机!

