什么是晶格氧?定义、重要性及多元表征方法(EPR/¹⁸O-DEMS 等)梳理

说明:本文华算科技晶格氧的核心概念出发,系统梳理其定义重要性、表征分析方,结合多种测试方法对晶格氧进行表征,如XPS、原位拉曼光谱XAFSEPR、¹⁸O 同位素标记 差分电化学质谱(DEMS)等。
什么是晶格氧?定义、重要性及多元表征方法(EPR/¹⁸O-DEMS 等)梳理
什么是晶格氧?定义、重要性及多元表征方法(EPR/¹⁸O-DEMS 等)梳理

一、晶格氧是什么?

晶格氧(Lattice Oxygen,通常记为OL)是指晶体材料晶格结构中通过化学键与金属阳离子稳定结合的氧原子,区别于表面吸附氧(如羟基−OH、吸附水分子H2Oads)和气相氧(O2)。其核心特征体现在两个方面:
结构定性:晶格氧是材料晶体骨架的组成部分,受金属 – 氧(M-O)化学键束缚,需特定能量(如高温、高电位)才能脱离晶格;
电子关联性:晶格氧的 2p 轨道与金属阳离子的 d 轨道存在轨道杂化(如 Ni 3d-Co 3d-O 2p 杂化),其电子态直接影响材料的电导率、催化活性位点电子密度。
什么是晶格氧?定义、重要性及多元表征方法(EPR/¹⁸O-DEMS 等)梳理
DOI:10.1021/jacs.4c16801
什么是晶格氧?定义、重要性及多元表征方法(EPR/¹⁸O-DEMS 等)梳理
什么是晶格氧?定义、重要性及多元表征方法(EPR/¹⁸O-DEMS 等)梳理

二、晶格氧相关的核心公式与反应路径

LOM 机制的 OER 反应方程式

晶格氧参与的 OER 反应遵循多步电子转移与晶格氧释放耦合的路径,典型五步法反应机制如下:
初始吸附步骤:电解液中的OH吸附至金属活性位点(M),完成首次电子转移
什么是晶格氧?定义、重要性及多元表征方法(EPR/¹⁸O-DEMS 等)梳理
(M 为 Ni、Co 等过渡金属阳离子,Cat 代表催化剂基体)
金属高价氧化步骤:M-OH 进一步脱氢,金属阳离子价态升高,为晶格氧激活储备电子
什么是晶格氧?定义、重要性及多元表征方法(EPR/¹⁸O-DEMS 等)梳理
(如Ni3+→Ni4+、Co2+→Co3+,n 为初始价态)
晶格氧激活步骤:高价金属阳离子通过 d-p 轨道杂化打破相邻 M-O 键,释放晶格氧(OL)并与表面Mn+1−O结合形成O−O键,同时产生氧空位(OV
什么是晶格氧?定义、重要性及多元表征方法(EPR/¹⁸O-DEMS 等)梳理
中间体转化步骤:Mn+1−OO与电解液中OH反应,生成OOH−类中间体
什么是晶格氧?定义、重要性及多元表征方法(EPR/¹⁸O-DEMS 等)梳理
氧气释放与活性位点再生步骤:OOH−中间体脱氢释放O2,金属阳离子还原至初始价态,完成催化循环
什么是晶格氧?定义、重要性及多元表征方法(EPR/¹⁸O-DEMS 等)梳理
什么是晶格氧?定义、重要性及多元表征方法(EPR/¹⁸O-DEMS 等)梳理
DOI:10.1038/s41467-025-58648-y

关键热力学与电子结构公式

M-O 键强度量化(键级计算)金属 – 氧键强度是晶格氧释放难度的核心指标,常用密度泛函理论(DFT)中的 DDEC(Density-Derived Electrostatic and Chemical)方法计算键级(Bond Order, BO),
公式简化为:
什么是晶格氧?定义、重要性及多元表征方法(EPR/¹⁸O-DEMS 等)梳理
其中,ρij(r)为金属 M 的 d 轨道与氧 O 的 2p 轨道在空间 r 处的电子密度重叠积分,反映轨道杂化程度;dM−O为 M-O 键键长,f(dM−O)为键长修正函数(键长越长,函数值越小)。键级数值越大,M-O 键越强,晶格氧越难释放。
什么是晶格氧?定义、重要性及多元表征方法(EPR/¹⁸O-DEMS 等)梳理
DOI:10.1038/s41467-025-58648-y

d-p 带中心差(ED)

金属 d 轨道与氧 2p 轨道的能量差(ED)决定了电子转移效率,是晶格氧激活的关键电子结构参数,
公式为:
什么是晶格氧?定义、重要性及多元表征方法(EPR/¹⁸O-DEMS 等)梳理
其中,Ed−band为金属 d 带中心能量,Ep−band为氧 2p 带中心能量,两者均以 费米能级(EF)为基准。ED 值越小,d 轨道与 p 轨道电子相互作用越强,越易发生电子转移,晶格氧活性越高。
什么是晶格氧?定义、重要性及多元表征方法(EPR/¹⁸O-DEMS 等)梳理
DOI:10.1038/s41467-025-58648-y

Mott-Hubbard 分裂能(ΔELHB−p

过渡金属氧化物中,d-d 电子库仑相互作用会导致 d 轨道分裂为低哈伯德带(LHB)和高哈伯德带(UHB)。当 LHB 与氧 2p 带重叠时,氧 2p 轨道电子可转移至 LHB,实现晶格氧激活,
分裂能公式为:
什么是晶格氧?定义、重要性及多元表征方法(EPR/¹⁸O-DEMS 等)梳理
当ΔELHB−p
什么是晶格氧?定义、重要性及多元表征方法(EPR/¹⁸O-DEMS 等)梳理
DOI:10.1038/s41467-025-58648-y

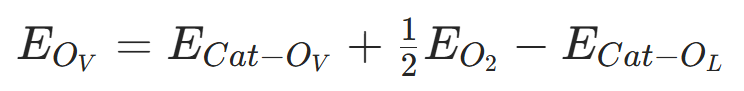
氧空位形成能(EOV)

晶格氧释放后会产生氧空位,其形成能直接影响 LOM 机制的可持续性,
公式为:
什么是晶格氧?定义、重要性及多元表征方法(EPR/¹⁸O-DEMS 等)梳理
其中,ECat−OV为含氧量空位的催化剂总能量,EO2为氧气分子总能量,ECat−OL为含晶格氧的原始催化剂总能量。EOV值越小,氧空位越易形成,晶格氧释放越容易。
什么是晶格氧?定义、重要性及多元表征方法(EPR/¹⁸O-DEMS 等)梳理
DOI:10.1038/s41467-025-58648-y
什么是晶格氧?定义、重要性及多元表征方法(EPR/¹⁸O-DEMS 等)梳理
什么是晶格氧?定义、重要性及多元表征方法(EPR/¹⁸O-DEMS 等)梳理

三、晶格氧为什么如此重要?

OER 反应是水分解、金属 – 空气电池等能源技术的速率控制步骤,其核心挑战是高过电位和慢动力学。晶格氧的激活通过以下三点解决这一痛点:
1.打破吸附能线性标度关系限制
在 AEM 机制中,O∗与OOH∗的吸附能存在线性标度关系(scaling relation),无法同时优化两者吸附强度,导致过电位难以降低;而 LOM 机制中,晶格氧直接参与O−O键形成,绕开了这一限制,可将过电位降至 220 mV 以下。
什么是晶格氧?定义、重要性及多元表征方法(EPR/¹⁸O-DEMS 等)梳理
DOI:10.1038/s41467-025-58648-y
2.提升反应动力学
晶格氧的参与使 OER 反应路径从 “单步吸附脱氢” 转变为 “多步电子转移 + 晶格氧释放”。
什么是晶格氧?定义、重要性及多元表征方法(EPR/¹⁸O-DEMS 等)梳理
DOI:10.1038/s41467-025-58648-y
3.增强催化剂稳定性
传统 AEM 催化剂易因长期吸附中间体导致活性位点堵塞,或因金属离子溶出(如 Fe³⁺、Co²⁺)而失活;而 LOM 机制中,晶格氧释放产生的氧空位具有 “自修复” 能力,空位可快速吸附电解液中的OH,同时高熵合金的化学无序性抑制金属离子过度溶出。
什么是晶格氧?定义、重要性及多元表征方法(EPR/¹⁸O-DEMS 等)梳理
DOI:10.1038/s41467-025-58648-y
什么是晶格氧?定义、重要性及多元表征方法(EPR/¹⁸O-DEMS 等)梳理
什么是晶格氧?定义、重要性及多元表征方法(EPR/¹⁸O-DEMS 等)梳理

四、晶格氧如何表征分析?

要验证晶格氧的存在、活性及参与反应的证据,需结合原位表征技术多尺度理论计算

X 射线光电子能谱(XPS)

X 射线光电子能谱(XPS)通过探测材料表面原子的光电子结合能(BE),实现元素组成、化学价态及氧物种类型的区分。对于氧物种,XPS O 1s 谱可通过分峰拟合拆解为三类特征峰:晶格氧、羟基氧、吸附氧。
最优的NiFeCoCrW₀.₂高熵合金具有最高的晶格氧表面浓度,这表明其晶格氧更活泼、更容易被激活参与反应。
什么是晶格氧?定义、重要性及多元表征方法(EPR/¹⁸O-DEMS 等)梳理
DOI:10.1038/s41467-025-58648-y

原位拉曼光谱

原位拉曼光谱通过探测反应过程中催化剂表面物种的振动模式,实时捕捉中间体生成与转化。在 LOM 机制研究中,关键特征峰包括:金属 – 氧键振动、O-O键振动。
在NiFeCoCrW₀.₂等复杂催化剂中,观察到了一个独特的1069 cm⁻¹拉曼峰,这被指认为关键的中间体 M-OO物种(如Ni-OO-Co),是LOM路径发生的直接证据。
什么是晶格氧?定义、重要性及多元表征方法(EPR/¹⁸O-DEMS 等)梳理
DOI:10.1038/s41467-025-58648-y

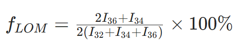
¹⁸O 同位素标记 + 差分电化学质谱(DEMS)

¹⁸O 同位素标记结合差分电化学质谱(DEMS)通过将催化剂或电解液中的氧替换为 ¹⁸O,实时检测 OER 生成O2的同位素组成,计算晶格氧对O2的贡献比例。核心公式为:
什么是晶格氧?定义、重要性及多元表征方法(EPR/¹⁸O-DEMS 等)梳理
其中I32、I34、I36分别为 m/z=32、34、36 的离子电流强度。
对 ¹⁸O 标记的NiFeCoCrW0.2催化剂测试显示, 42% 的O2来源于晶格氧,显著高于 NiFe 合金(15%),直接证明高熵合金可高效激活 LOM 机制。
什么是晶格氧?定义、重要性及多元表征方法(EPR/¹⁸O-DEMS 等)梳理
DOI:10.1038/s41467-025-58648-y

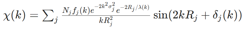
X 射线吸收精细结构(XAFS)

X 射线吸收精细结构(XAFS)包括 X 射线吸收近边结构(XANES)和扩展 X 射线吸收精细结构(EXAFS)。
XANES 通过吸收边能量反映金属价态(吸收边能量越高,价态越高);EXAFS 通过傅里叶变换(FT)得到径向分布函数(RDF),反映金属周围配位原子(如 O)的种类、配位数(CN)及键长()。
核心公式为 EXAFS 振荡函数:
什么是晶格氧?定义、重要性及多元表征方法(EPR/¹⁸O-DEMS 等)梳理
Ni K 边 XANES 显示,NiFeCoCrW0.2的吸收边能量(8340 eV)比 NiO 标准样(8338 eV)高 2 eV,结合标准样校准,确定 Ni 的平均价态为 + 3.6(接近Ni4+),证明 W 的引入可显著提升 Ni 价态,增强 M-O 键的极化程度,利于晶格氧释放。
什么是晶格氧?定义、重要性及多元表征方法(EPR/¹⁸O-DEMS 等)梳理
DOI:10.1038/s41467-025-58648-y

电子顺磁共振(EPR)

电子顺磁共振(EPR)通过探测未成对电子的自旋信号(g 因子),直接表征材料中的缺陷(如氧空位OV)。氧空位具有未成对电子,在 EPR 谱中表现为对称的洛伦兹峰,峰强度与氧空位浓度正相关。
77 K 下的 EPR 测试显示,NiFeCoCrW0.2的 EPR 峰强度(g=2.003)是 NiFe 合金的 3.5 倍,计算得到氧空位浓度,证明高熵合金可通过多金属协同产生大量氧空位。
什么是晶格氧?定义、重要性及多元表征方法(EPR/¹⁸O-DEMS 等)梳理
DOI:10.1038/s41467-025-58648-y

电感耦合等离子体质谱(ICP-MS)

电感耦合等离子体质谱(ICP-MS)通过检测电解液中金属离子的浓度,定量分析催化剂在电化学过程中的金属溶出行为。
金属离子过度溶出会导致催化剂结构坍塌,间接影响晶格氧的稳定释放;而适度溶出(如 Cr 的预溶出)可产生氧空位,促进晶格氧激活。
对NiFeCoCrW0.2的 ICP-MS 测试显示, Cr 的预溶出可产生氧空位,为晶格氧释放提供通道,同时 Ni/Co 的低溶出保障了活性位点稳定。
什么是晶格氧?定义、重要性及多元表征方法(EPR/¹⁸O-DEMS 等)梳理
DOI:10.1038/s41467-025-58648-y

DFT 计算

理论计算(DFT)通过求解薛定谔方程,从原子尺度模拟反应路径和能垒。计算了AEM和LOM路径下各步的自由能,结果显示,对于NiFeCoCrW0.2,LOM路径的决速步能垒低于AEM路径,从理论上解释了为何反应机制会转向LOM。
什么是晶格氧?定义、重要性及多元表征方法(EPR/¹⁸O-DEMS 等)梳理
DOI:10.1038/s41467-025-58648-y

反应路径自由能分析

对比 AEM 与 LOM 路径的速率决定步骤(RDS)自由能。结果显示,NiFeCoCrW0.2的 LOM 路径 RDS(O−O键形成)自由能(0.33 eV)低于 AEM 路径(0.55 eV),证明 LOM 为优势路径。
什么是晶格氧?定义、重要性及多元表征方法(EPR/¹⁸O-DEMS 等)梳理
DOI:10.1038/s41467-025-58648-y

Mott-Hubbard 分裂分析

价金属离子(如 W⁶⁺)增强 d-d 库仑相互作用,使低哈伯德带(LHB)与 O 2p 带重叠,公式为:
什么是晶格氧?定义、重要性及多元表征方法(EPR/¹⁸O-DEMS 等)梳理
当ΔELHB−p
论文中NiFeCoCrW0.2的ΔELHB−p=−0.2eV,满足晶格氧激活条件。

华算科技是专业的科研解决方案服务商,精于高端测试拥有10余年球差电镜拍摄经验与同步辐射三代光源全球机时,500+博士/博士后团队护航,保质保量!

🏅已助力5️⃣0️⃣0️⃣0️⃣0️⃣➕篇科研成果在Nature&Science正刊及子刊、Angew、AFM、JACS等顶级期刊发表!

👉立即预约,抢占发表先机!

声明:如需转载请注明出处(华算科技旗下资讯学习网站-学术资讯),并附有原文链接,谢谢!
(0)
上一篇 2025年11月11日 下午3:25
下一篇 2025年11月13日 上午9:59

相关推荐