说明:本文华算科技介绍了玻璃化转变温度(Tg)的定义、物理意义、微观机理和动力学本质,分析了影响Tg的多种因素,如链结构、分子量、交联、共聚和增塑剂等。同时,详细介绍了DSC和DMA等测量Tg的方法及其数据处理方式,为理解和调控材料的Tg提供了理论基础和实践指导。
玻璃化转变温度(Tg)并非像熔点(Tm)那样的热力学一级相变温度,而是一个与链段运动相关的动力学转变。
例如,用于制造汽车轮胎的橡胶,其Tg必须远低于日常使用温度,以保证其持续的弹性;而用于制造飞机座舱窗户的聚碳酸酯(PC),其Tg则需远高于使用温度,以确保其刚性和尺寸稳定性。

图1 a)正常液体b)非晶态固体,即玻璃和c)晶体的结构示意图
宏观:从玻璃态到橡胶态的转变
从宏观性能上看,玻璃化转变是一个温度区间,而非一个精确的点。当无定形材料(如非晶态聚合物)从高温冷却时,其比容、热膨胀系数、比热容等物理性质会随温度下降而平滑变化。
但在达到某一温度区域后,这些物理性质的温度依赖性会发生显著的转折,例如热膨胀系数和比热容会发生阶跃式的下降。通常,我们将这个转折区域的某个特征温度定义为Tg。

图2 液体熔化时非晶(A和B)和晶体(C)材料的体积温度随冷却速率变化的示意图
低于Tg时,材料处于玻璃态。此时材料呈现出高模量、高硬度、低韧性的特征,类似于无机玻璃,表现为刚性固体。
高于Tg时,材料进入橡胶态(或对于低分子量物质称为过冷液体)。此时材料的模量急剧下降数个数量级,变得柔软、有弹性或可流动。
微观:链段运动的冻结与解冻
宏观性质的转变源于微观结构运动形式的改变。在高分子材料中,分子链的运动形式多种多样,包括小规模的侧基转动、键长键角的振动,以及大规模的整个分子链的平移。介于两者之间的是链段运动,即分子链上约20-50个碳原子长度的片段协同进行构象重排的能力。

图3 在Tg时分子运动停止,并且无序结构以玻璃态的形式保留下来
当温度高于Tg时,高分子链段具有足够的能量,能够克服周围的位垒进行协同运动。这种链段运动使得材料能够在外力作用下迅速调整构象,从而表现出橡胶般的柔性和弹性。
当温度从高向低冷却并接近Tg时,链段运动的速度急剧减慢。到达Tg附近时,链段运动的速率变得与我们实验观察的时间尺度相当。
当温度低于Tg时,链段运动基本上被“冻结”,分子链仅剩下局部的、小尺度的运动(如侧基转动)。由于大规模的协同运动受限,材料无法有效耗散外部能量,因此在宏观上表现为硬而脆的玻璃态。
因此,Tg的微观本质可以理解为高分子链段从能够自由运动到被冻结(或反之)的临界温度点。

图4 a)从普通液体→过冷态→玻璃化转变松弛时间的变化b)活化跃迁模拟图和模型示意图
与熔化不同,玻璃化转变不是一个热力学上的一级或二级相变,而是一个动力学过程。这意味着Tg的测量值并非材料的固有属性,而是会受到测量条件,特别是升温或降温速率的显著影响 。
快速冷却/加热:当冷却速率很快时,分子链没有足够的时间来调整到能量更低的平衡状态,它们会在一个较高的温度下被“冻结”,导致测得的Tg偏高。同理,快速加热时,链段需要更高的温度才能“解冻”并跟上温度变化,测得的Tg也会偏高。
慢速冷却/加热:慢速过程给予了分子链更充分的松弛时间,使其可以在更低的温度下才被冻结,因此测得的Tg会偏低。

图5 PET的DSC扫描曲线DOI:10.1039/d0gc01252a
这种对速率的依赖性,是区分Tg和Tm(熔点)的关键特征。Tm是晶体和液体两相共存的平衡点,不随测量速率改变。
Fox-Flory方程(针对分子量)
该方程描述了线型聚合物的Tg与其数均分子量(Mn)之间的关系:

其中,Tg,∞是分子量无穷大时的极限Tg值;K是一个与聚合物链末端自由体积相关的经验常数。
这个公式很好地解释了为什么在低分子量区域Tg随分子量增加而快速上升,并在高分子量区逐渐趋于平缓的现象。

图6 Br-PSt-Br、N3-PSt-N3、NH2-PSt-NH2、SP-PSt-SP的Tg分子量依赖性及Fox-Flory方程拟合
Fox方程(针对无规共聚物)
对于由两种单体A和B组成的无规共聚物,其Tg可以通过以下方程进行估算:

其中,ωA和ωB分别是单体A和B的质量分数,Tg,A和Tg,B分别是两种均聚物的玻璃化转变温度(以绝对温标K为单位)。此方程为通过共聚改性来调控材料Tg提供了理论指导。
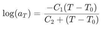
WLF(Williams-Landel-Ferry)方程
WLF方程是黏弹性理论中的一个核心方程,它描述了在Tg附近,材料的力学松弛时间(或粘度)与温度之间的关系,体现了Tg的动力学本质。其通用形式为:

其中,ɑT是位移因子,表示在温度T时的松弛时间与参考温度T0时松弛时间的比值。当参考温度T0取为Tg时,C1和C2对于许多聚合物近似为普适常数(C1≈17.44,C2≈51.6K)。
WLF方程在构建材料的黏弹性主曲线、预测不同温度/频率下的力学行为方面具有重要应用。

图7 采用 Williams-Landel Ferry方程进行扩散因子修正的基于Kamel&Sourour模型的不同升温速率下DSC动态升温测试。DOI:10.12020/j.issn.0253-4312.2025-115

影响Tg的因素

Tg并非一成不变,它受到聚合物自身结构(内因)和外部环境(外因)的共同影响。理解这些影响因素并利用相关理论模型进行预测,是实现材料性能“定制化”的关键。
链的柔顺性:分子主链的柔顺性是决定Tg高低的最根本因素。
主链中含有-O-、-Si-O-等易于内旋转的结构,链的柔顺性好,Tg较低(如聚二甲基硅氧烷,PDMS,Tg ≈ -123°C)。主链中含有苯环、萘环等刚性基团,链的柔顺性差,链段运动困难,Tg较高(如聚苯硫醚PPS,Tg ≈ 85°C;聚酰亚胺PI,Tg > 300°C)。
侧基体积:庞大的侧基会增加链段运动的空间位阻,导致Tg升高。例如,聚丙烯(-CH₃侧基)的Tg高于聚乙烯(-H侧基)。
侧基极性:强极性侧基(如-Cl,-CN)会增大分子间作用力,束缚链段运动,使Tg升高。例如,聚氯乙烯(PVC)的Tg远高于聚丙烯(PP)。

图8 共轭聚合物中侧链质量分数(w)与玻璃化转变温度(Tg)之间的关系
分子量:对于线型聚合物,Tg随分子量的增加而升高。这是因为分子量越大,链末端(自由体积较大,易于运动)在体系中所占的比例越小。当分子量达到一定程度后,Tg趋于一个极限值。
交联:交联点的引入会在分子链之间形成化学键,极大地限制了链段的运动能力。因此,交联密度越高,Tg越高。这也是热固性树脂(如环氧树脂)通常具有很高Tg的原因。
共聚:无规共聚物的Tg介于两种均聚物之间,其值取决于两种单体的组成比例。
增塑剂:增塑剂是低分子量的小分子,它们可以插入到聚合物链之间,增加链间的距离,削弱链间作用力,从而显著降低聚合物的Tg。PVC的软硬之分,正是通过添加不同含量的增塑剂来实现的。
外部因素:如压力、湿度等。压力的增大会压缩自由体积,限制链段运动,使Tg升高。水分子的存在可能起到增塑作用,降低某些极性聚合物(如尼龙)的Tg。

图9 相同配方不同固化度的TgDOI:10.19936/j.cnki.2096-8000.20250528.006
差示扫描量热法(DSC)
DSC通过测量输入到样品和参比物之间的功率差(热流率)随温度的变化来表征材料的热效应。在玻璃化转变区域,由于链段运动的“解冻”,材料的比热容(Cp)会发生一个阶跃式的增加。这个阶跃就反映在DSC曲线上,形成一个台阶状的转变。

图10 使用流变学确定玻璃化转变温度
数据分析与Tg的确定:
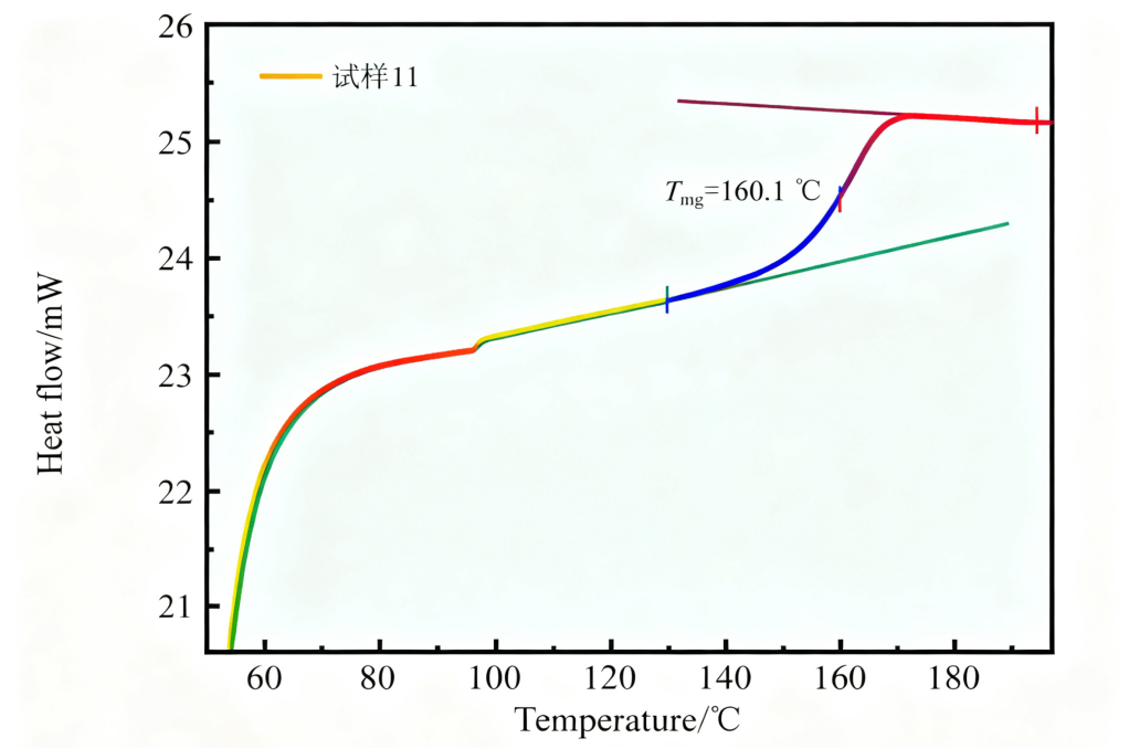
中点法:最常用的方法。分别在转变前后的基线上做切线,再在转变最陡处做切线,前两条切线在转变区的垂直距离的中点所对应的温度即为Tg。

图11 中点法确定Tg
起始点法:转变区最陡处切线与转变前基线切线的交点温度。

图12 起始点法确定玻璃化转变温度Tg。DOI:/10.13801/j.cnki.fhclxb.20220516.002
拐点法:热流对温度的一阶导数曲线的峰值温度。
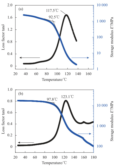
动态力学分析(DMA)
DMA向样品施加一个周期性(正弦)变化的应力或应变,并测量其响应。通过分析响应的振幅和相位差,可以得到材料的储能模量(E’)、损耗模量(E”)和损耗因子(tanδ = E”/E’)随温度的变化。
储能模量(E’):发生急剧下降,通常可下降2-4个数量级,反映材料从刚性到柔性的转变。
损耗模量(E”):出现一个明显的峰值,代表材料在此温度下耗散能量的能力最强。
损耗因子(tanδ):同样出现一个峰值,其位置通常略高于E”的峰温。

图13 在升温速率为10℃/min的DMA法测试图。DOI:10.13801/j.cnki.fhclxb.20220516.002

图14 DSC法与DMA法测试结果的对比。DOI:10.19936/j.cnki.2096-8000.20250528.006

