

一、什么是杂化轨道理论



二、杂化轨道理论模型
(一)杂化轨道波函数的线性组合


(二)杂化轨道能量计算


(三)d-p 杂化与 M-O 键能的关联模型




三、杂化轨道理论为何如此重要?





四、杂化轨道如何表征分析?
密度泛函理论(DFT):计算杂化轨道

分子轨道理论(MOT):分析成键/反键特性


晶体场理论(CFT):d轨道的分裂与杂化

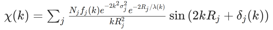
X射线吸收光谱(XAS):电子结构与键长

XANES:反映轨道杂化状态

EXAFS:验证杂化状态


XPS:表征分析电子结合能

拉曼光谱与红外光谱:反映杂化强度



五、如何用好杂化轨道理论?
(一)精准调控杂化轨道的能量匹配度


(二)优化杂化轨道的对称性与空间取向

(三)结合自旋态调控杂化强度

(四)利用氢键调控杂化轨道的电子转移



六、总结展望
🏅已助力5️⃣0️⃣0️⃣0️⃣0️⃣➕篇科研成果在Nature&Science正刊及子刊、Angew、AFM、JACS等顶级期刊发表!
👉立即预约,抢占发表先机!
声明:如需转载请注明出处(华算科技旗下资讯学习网站-学术资讯),并附有原文链接,谢谢!

