球差这个词大约起源于哈勃望远镜。球差是电磁透镜的一个缺陷,这个缺陷是由于透镜场不均匀地作用在离轴光线上而引起的。对于电磁透镜,电子离轴越远,被偏折就越厉害,结果导致点状物体折射后就形成了一个一定大小的盘,这限制了放大物体细节的能力,因为细节在成像过程中被削减了。这种球差可以校正,但是它仍然限制了大多数TEM的分辨率。
球差的作用如图所示,点状物P在高斯平面P’成像。这个像并不是一个点而是一个带有环绕光环的高强中心亮区。球差在物镜中是最重要的,因为它降低了TEM图像的质量,所有其他的透镜放大了它所产生的误差。球差在AEM或STEM的聚光镜中也是同样有害的,这两种模式中都需要使用大的励磁电流来形成最小的电子束斑。所有形式的TEM在分辨率极限所能实现的功能几乎都受到了球差的限制。

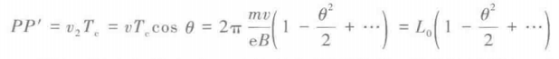
球差的效应就是使来自于光源的弯曲(球状)波前的曲率增加。PP’距离表示为:

L0=PP0,,当θ非常小时,P0,是点P的高斯像(即旁轴情况)。随θ增加,PP0,的距离会因为球差的存在而减小,可以写为


由旁轴光线形成点状物的高斯图像的直径就由这个表达式给出,通常写作

对于特定的透镜,Cs是常数(长度),称为球差系数。需要注意,经常用Cs来描述“球差校正”、“球差校正器”和“校正的球差”。

常见的Cs球差校正器。
电子绕光轴螺旋运动时,如果受到不均匀磁场作用就会产生像散。这个缺陷的产生是因为不能把软铁极靴中的孔加工成非常完美对称的圆柱形,软铁本身也可能由于微观结构的不均匀性引起磁场强度的局部变化。即使克服了这些困难,放到透镜中的光阑的中心轴如果没有精确地与光轴重合的话,磁场也会受到干扰。此外,如果光阑不干净,带电污染物就会使电子束偏转。通过消像散器可以很容易地校正像散。消像散器是个很小的八极透镜,它能引入补偿场来平衡引起像散的不均匀磁场分布。照明系统(聚光镜)和成像系统(物镜)中都有消像散器。
总之,球差和像散是电磁透镜的主要缺陷。
本文源自微信公众号:材料er
原文标题:《TEM中的“球差”和“像散”是什么》
原文链接:https://mp.weixin.qq.com/s/0nZapaNe498Uhp4vyKy46w
本转载仅出于分享优质测试干货,旨在传递更多观点,并不代表赞同其全部观点或证实其内容的真实性。文章中所包含的图片、音频、视频等素材的版权均归原作者所有。如有侵权请告知删除。

