物理所李泓/禹习谦AM:新观点!固态电解质可实现正极本征稳定性!

研究背景

消费电子、电动汽车等新兴市场对高能量密度锂离子电池的开发提出了迫切的要求。构建高能量密度LIBs需要使用高容量的氧化物正极材料(如高压LiCoO2、富镍层状氧化物和锂锰层状氧化物)。对电池安全的最大威胁来自于在电池滥用的情况下,高度去锂化状态下的高容量层状氧化物阴极容易释放氧气,以及随后与电池中的还原剂发生的放热反应。

有人提出用热稳定的固体电解质取代可燃液体电解质,以缓解这一安全问题。实际上,在之前的研究中,使用固体电解质的固态电池证明了电池的安全性能有所提高。然而,最近的研究表明,固体电解质与电极材料的反应仍可能在LIBs中引发热失控。
电池热失控的基本过程是由电池中氧与可燃物质的反应引起的。简单地去除液体电解质并不能完全减少热问题,因为氧气源仍然存在而且其他还原性电池组件,如负极材料,也是可燃的。

成果简介

物理所李泓/禹习谦AM:新观点!固态电解质可实现正极本征稳定性!
近日,物理所李泓研究员、禹习谦研究员等人在Advanced Materials上发表最新成果,Raising the intrinsic safety of layered oxide cathodes by surface re-lithiation with LLZTO garnet-type solid electrolytes,他们的研究成果表明,在正极中掺入固态电解质可以提升正极的本征稳定性。
层状金属氧化物的热稳定性与化学成分有关,比如锂含量和过渡金属的种类,由于Ni4+-O键不稳定,层状氧化物中Ni含量越高,相分解起始温度越低,氧损失越严重。阴极中锂含量越低(即荷电状态越高),结构稳定性越低,在高温下氧的释放量越大。在电解-阴极界面区域的电化学反应消耗表面活性氧,促进体相到表面的氧迁移。因此,在碳酸酯电解质存在的情况下,去锂化的LiTMO2的热分解可以提前几十摄氏度。
在本工作中,作者以传统但典型的层状氧化物正极材料LiCoO2作为模型材料,证明了固体氧化物电解质Li6.5La3Zr1.5Ta0.5O12 (LLZTO)可以在高温下为充电状态下的层状氧化物阴极提供锂离子。这种再锂化过程增加了去锂化的LiCoO2中Li的含量,从而显著延缓了结构分解和氧的释放,提高了LiCoO2的热稳定性。
利用这一优势,在LiCoO2电极中加入少量(1wt.%)的LLZTO可以显著提高LiCoO2/石墨全电池的安全性能。同样,LLZTO驱动的再锂化过程也可用于提高其他高容量层状氧化物阴极的固有热稳定性,如富镍阴极和富锂锰阴极。
本工作表明,固体氧化物电解质LLZTO在提高层状阴极的结构稳定性和电池安全性方面具有双重功能。它取代了液体电解质,也可以通过表面再锂化内在地增强层状氧化物阴极的结构稳定性,从而同时解决了易燃电解质和高容量氧化物阴极释氧引起的安全问题。

图文详情

物理所李泓/禹习谦AM:新观点!固态电解质可实现正极本征稳定性!

图1. LLZTO(50 wt.%)对充电状态下LiCoO2在高温下的再锂化和延迟相变的影响
物理所李泓/禹习谦AM:新观点!固态电解质可实现正极本征稳定性!
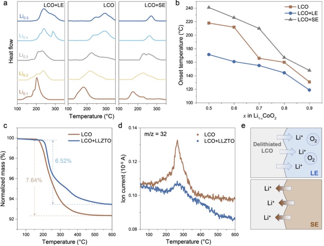
图2. 使用碳酸酯基电解液和LLZTO固体电解质(50 wt %)的LiCoO2的热分析
物理所李泓/禹习谦AM:新观点!固态电解质可实现正极本征稳定性!
图3. 添加和不添加LLZTO(1wt.%)的LiCoO2/石墨电池的电化学和安全性能
物理所李泓/禹习谦AM:新观点!固态电解质可实现正极本征稳定性!
图4. 在加热过程中,加入5 wt.%的LLZTO的4.5 V LiCoO2的相变延迟
物理所李泓/禹习谦AM:新观点!固态电解质可实现正极本征稳定性!
图5. 添加5 wt.%的LLZTO对4.5 V的LiCoO2电极的表面再锂化
物理所李泓/禹习谦AM:新观点!固态电解质可实现正极本征稳定性!
图6. 添加LLZTO可提高其他高容量层状氧化物阴极的热稳定性

原文链接

Raising the intrinsic safety of layered oxide cathodes by surface re-lithiation with LLZTO garnet-type solid electrolytes. Adv. Mater. 2022, 2200655.

https://onlinelibrary.wiley.com/doi/10.1002/adma.202200655?af=R
声明:如需转载请注明出处(华算科技旗下资讯学习网站-学术资讯),并附有原文链接,谢谢!
(0)
上一篇 2023年10月15日 上午10:35
下一篇 2023年10月15日 上午10:35

相关推荐