说明:本文华算科技详细介绍了Zeta电位的定义、计算方法、重要性以及测试手段。Zeta电位是反映颗粒表面有效净电荷的物理量,通过电泳迁移率等参数计算得出。文中还列举了电泳法、电渗法、流动电位法、流动电流法和超声波法等多种Zeta电位的测试方法。
双电层是如何形成的?
颗粒表面由于晶格缺陷、表面基团解离或离子吸附等原因,通常会带有净电荷。为了维持体系的电中性,带相反电荷的离子会被吸引到颗粒表面,同时带相同电荷的离子则会被排斥。这就在颗粒周围形成了一个独特的离子分布区域,即双电层。

DOI: 10.1016/j.coche.2018.05.003
双电层通常被描述为两个部分:
(1)紧密层:紧密吸附在颗粒表面的一层反离子。这层离子受到强烈的静电和范德华力作用,被束缚得非常牢固,几乎与颗粒成为一个整体。
(2)扩散层:位于紧密层之外,此区域内的离子浓度分布受到颗粒表面电场和离子热运动的共同影响,离子浓度从紧密层边界向本体溶液逐渐恢复至平均浓度。此区域的离子较为松散。

DOI: 10.1021/acscatal.3c04255
什么是滑动面?
当颗粒在外加电场作用下相对于液体发生移动时(例如电泳),一部分紧密吸附在颗粒表面的液体连同其中的离子会随颗粒一起运动,形成一个动力学单元。而扩散层中较为远离颗粒的液体和离子则保持相对静止。
这两者之间存在一个假想的边界,称为滑动面或剪切面。

DOI: 10.1155/2012/286107
什么是Zeta电位?
Zeta电位(ζ)被精确定义为在这个滑动面上的电动电位。它反映了颗粒作为一个动力学单元所携带的有效净电荷。
Zeta电位不是颗粒的表面电位,后者位于颗粒表面,通常更高且无法直接测量。Zeta电位是一个间接测量的物理量,它本身无法被直接读取,而是通过测量颗粒的电泳迁移率等参数后计算得出的。

DOI: 10.1002/cjce.23914
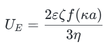
Zeta电位是计算值而非直接测量值。其计算过程建立在对颗粒在外加电场中运动行为的精确测量之上。
将实验可测量的电泳迁移率—即单位电场强度下颗粒的运动速度,转换成Zeta电位的桥梁是Henry方程。

其中,UE:电泳迁移率,由实验直接测得;ζ:Zeta电位;ε:分散介质的介电常数;η:分散介质的粘度;f(κa):亨利函数,是一个无量纲的修正因子,其值介于1.0和1.5之间,取决于颗粒半径a与德拜长度1/κ的比值。德拜长度表征了双电层的厚度。

DOI: 10.1016/j.jobe.2024.111556
Henry方程的两个极限近似
由于亨利方程中的f(κa)函数较为复杂,实际应用中通常采用其两个极限近似。
Smoluchowski近似:适用于大颗粒,低盐浓度体系,即κa>>1的情况,这意味着颗粒半径远大于电双层厚度。在这种条件下,f(κa)的值为1.5。Henry方程简化为Smoluchowski方程。

这个近似模型在大多数水相胶体体系(如乳液、大多数纳米颗粒悬浮液)中都非常适用,是Zeta电位计算中使用最广泛的公式。

DOI: 10.1016/j.jobe.2024.111556
Hückel近似:适用于小颗粒,高盐浓度或非极性介质体系,即κa的情况。这意味着电双层厚度远大于颗粒半径。在这种条件下,f(κa)的值为1.0。Henry方程简化为Hückel方程。

这个模型主要用于在非极性溶剂中的纳米颗粒或分子体系。

DOI: 10.1016/j.jobe.2024.111556
量化静电排斥力
Zeta电位的绝对值越高,意味着颗粒表面(滑动面)的电荷密度越大,颗粒间的静电排斥力就越强。当两个颗粒相互靠近时,它们各自的双电层会发生重叠,产生强大的排斥力,阻止颗粒因范德华力而发生不可逆的聚集(或称絮凝、团聚)。

DOI: 10.1039/C6EN00136J
判断胶体稳定性
在胶体化学领域,通过Zeta电位值判断分散体系的稳定性:
(1)|ζ|>30mV:通常表示体系具有良好的稳定性。强大的静电排斥力足以克服范德华引力,使颗粒保持分散状态。
(2)0:体系处于快速絮凝或团聚的边缘。静电排斥力极弱,颗粒极易聚集。
(3)5mV:体系处于从初期不稳定到中等稳定的过渡区域。
(4)ζ≈0mV:此点称为等电点(IsoelectricPoint,IEP)。在等电点,颗粒间的静电排斥力消失,体系最不稳定,极易聚集。因此,确定IEP对于需要控制聚集或分散的工艺至关重要。

DOI: 10.1002/cjce.23914
调控颗粒间相互作用力
通过改变影响Zeta电位的因素(如pH、离子强度等),可以主动地控制颗粒间的相互作用,实现从分散到聚集的可逆或不可逆转变,从而满足不同应用场景的需求。

DOI: 10.1016/j.jobe.2024.111556
电泳法
电泳法是测量分散颗粒Zeta电位最常用和最经典的方法,其核心原理是带电颗粒在外加电场中会发生定向迁移。
当将含有带电颗粒的悬浮液置于电场中时,颗粒会受到电场力的作用,向着与自身所带电荷相反的电极方向移动,这一现象称为电泳。
颗粒的电泳迁移速率(UE)与Zeta电位(ζ)之间存在直接关系,可以通过Henry方程进行描述。通过测量颗粒的电泳迁移速率,并结合介质的物理化学参数,即可计算出Zeta电位。

DOI: 10.1039/C6EN00136J
电渗法
当电解质溶液与一个带电的固体表面接触时,固体表面附近的双电层中的可移动扩散层在外加电场的作用下会发生定向移动,并因粘性作用带动整个液体宏观流动,这种现象称为电渗。
通过测量单位电场强度下液体的流速或由流动产生的压力差,可以反推出固体表面的Zeta电位。该方法主要用于表征宏观平面、纤维或多孔材料的表面Zeta电位。

流动电位法
当使用外加压力迫使电解质溶液流过一个带电的固体表面时,流动液体会带动双电层中的扩散层离子向下游移动,导致沿流动方向产生电荷分离,从而在流动路径的两端形成一个电势差。
这个由液体流动诱导产生的电势差被称为流动电位,通过测量流动电位即可计算出Zeta电位。

DOI: 10.1016/j.jobe.2024.111556
流动电流法
与流动电位法一样,当液体在外加压力下流过带电表面时,扩散层中的离子被携带向下游,形成一股对流电流,这被称为流动电流。与流动电位不同的是,流动电流法通过在样品两端设置电极并将其短路,直接测量这股离子流的大小。

DOI: 10.1016/j.jconrel.2016.06.017
超声波法(电声法)
当向胶体悬浮液施加一个交变电场时,带电颗粒会随电场发生振荡。由于颗粒和溶剂之间存在密度差,这种振荡会像微小的活塞一样搅动周围的液体,从而产生声波。
该声波的振幅与颗粒的动态电泳迁移率成正比,进而可以计算出Zeta电位。该方法适用于高浓度、不透明的体系。

DOI: 10.1021/acs.langmuir.6b02493
华算科技是专业的科研解决方案服务商,精于高端测试。拥有10余年球差电镜拍摄经验与同步辐射三代光源全球机时,500+博士/博士后团队护航,保质保量!
🏅已助力5️⃣0️⃣0️⃣0️⃣0️⃣➕篇科研成果在Nature&Science正刊及子刊、Angew、AFM、JACS等顶级期刊发表!
👉立即预约,抢占发表先机!

