说明:本文华算科技系统地阐述了氧空位(Ov)的起源、多种可控的构筑方法(如掺杂、还原、刻蚀等)、关键的表征技术(XPS、EPR等)及其提升催化性能的核心作用。
什么是氧空位?
一般来说,含氧化物材料上存在五种氧物种,包括晶格氧(O2−)、负氧离子(O−)、过氧离子(O22−)、超氧离子(O2−)以及氧空位(Ov)。
当含氧化物材料受到外部条件干扰时,O2− 物种可能会从原始位置移除,形成Ov位点。同时,会产生两个电子(O2−→Ov+2e−)。
一方面,这些电子可能会转移到邻近的金属原子上,降低金属的价态。另一方面,这些电子可能会转移到其他氧物种上,形成O−、O22−和/或O2−物种。

图1. 含有Vo簇和孤立Vo位点的InZr_6和块状In₂O₃的示意图。DOI:10.1002/anie.202508091
如何形成氧空位?
离子掺杂
金属或非金属离子的掺杂是一种有效的方法,可以改变含氧材料中氧原子的周期性排列或直接取代氧原子,从而促进Ov的形成。
这种多相离子掺杂策略基于掺杂元素与基质材料之间原子电负性的差异,通过在晶体结构中引入缺陷来调整材料的物理化学性质。
对于纯含氧化合物,金属和非金属离子的掺杂都会导致电荷分布的不平衡,这种不平衡可能会破坏氧化物晶格中氧原子的长期周期性结构。为了保持热力学稳定性,材料会形成Ov来补偿电荷不平衡。
因此,掺杂不仅改变了材料的电子结构,还通过引入Ov来调节其物理化学性质,从而优化材料的性能。例如,研究人员报道了在C掺杂的CeZrO2–x催化剂上用C原子取代氧原子生成表面Ov。



图2. 离子掺杂CeZrO2–x的合成原理图。DOI:10.1016/j.apcatb.2023.123098.
低氧环境下的热退火
一种广泛使用的生成Ov的方法是在缺氧条件下(如He、N2和Ar)或真空中高温热处理含氧化合物。
在退火过程中,可以通过控制惰性气体流量、终温、升温速率、退火时间和冷却速率来调节VOs的相对浓度。H2是热处理中最常用的气氛,其中Ov是通过氧化物中的氧原子与H2中的氢原子反应而产生的。
例如,研究人员通过两步热处理制备了同时具有钴缺陷和氧中心的Co3–xO4–y催化剂,其中钴缺陷是在空气气氛下于300℃下第一次焙烧形成的,而Ov中心是在H2/Ar气氛下在200℃下二次焙烧形成的。



图3. Co3-xO4、Co3-xO4-y、Co3O4和Co3O4–y催化剂的合成示意图。DOI: 10.1021/acscatal.2c00296
水热法
水热方法涉及密封容器中的化学反应,由于加热导致自生压力增加,溶剂的温度远远高于其沸点。在水热过程中,可以调整原材料的比例以产生Ov。
近年来,这种方法得到了广泛的应用,因为粉末不需要高温焙烧,从而防止了纳米颗粒的二次团聚和污染。
例如,研究人员通过调整pH值的水热合成法制备了含有不同浓度Ov的铋钒酸盐(BiVO4)。
在pH值为7的条件下,BiVO4展现出最高的Ov浓度。该材料在氮还原反应(NRR)中表现出色,其氨气(NH3)的产率高达8.60μg h-1 mg-1,并且在相对于可逆氢电极(RHE)的-0.5 V电位下,法拉第效率达到了10.04%。



图4. BiVO4及其Ov修饰形式的自旋分辨密度图、优化后的N2*结构及其N≡N三键长度,以及OVs-BiVO4的吉布斯自由能图。DOI:10.1002/smtd.201800333
氢气还原
氢气是一种强还原剂,通常用于在高温或高压下还原金属氧化物,以引入Ov。通过调节压力、温度和气体比例等参数,可以有效地控制金属氧化物中Ov的浓度。
例如,研究人员以MoO3粉末为前驱体,在Ar-H2气氛中以不同的H2比例(从5%到20%)在900℃下氢气还原1h,得到了不同Ov浓度的MoO2纳米片



图5. MoO2纳米片的制备示意图。DOI: 10.1016/j.nanoen.2019.02.028
湿法化学还原
用NaBH4等化学试剂对氧化物进行湿化学还原可以在低于氢气还原所需的温度下生成Ov。
还原分子首先吸附在金属氧化物表面,然后通过电子转移将O原子抢夺到表面氧上,从而生成Ov。例如,研究人员通过果胶辅助水热法合成了含Ov的碳包覆二氧化钼(MoO2@C)纳米颗粒,并通过煅烧及NaBH4溶液处理优化其结构。
实验发现,含Ov的MoO2@C在较低电压(0.5 V vs RHE)下即展现出较高的氨气(NH3)产率(9.75 μg h-1 mg-1)和法拉第效率(3.24%),同时有效抑制了析氢反应(HER),相比未处理的MoO2@C在更高电压(-0.7 V vs RHE)下的性能有显著提升(图6)。



图6. Ov–MoO2@C合成过程示意图。DOI:10.1016/j.nanoen.2019.02.028
等离子体处理
等离子体处理是一种在较低温度下高效快速产生Ov的方法,该过程通过表面刻蚀实现。
等离子体是一种通过射频(RF)、介质阻挡放电(DBD)或辉光放电等方式产生的电离气体,能够与金属氧化物表面相互作用,破坏表面结构,从而在含氧材料表面生成Ov。
通过调节等离子体的功率、压力、气体流量和照射时间,可以精确控制Ov的浓度。电离气体的种类和处理时间是控制Ov浓度的重要参数,优化这些参数可以进一步提升材料的性能。



图7. Co-MgAlO催化剂中金属钴位点和Ov对等离子体催化活性的影响。DOI:10.1016/j.apcatb.2022.121830
综上,上述构筑方法各有特点,离子掺杂、水热法常用于合成过程中的本征缺陷构筑,而还原、等离子处理则更多用于对已合成材料进行后处理以引入缺陷。
如何表征氧空位?
为了准确地鉴别催化剂的存在和准确地定量Ov的含量,需要用X射线光电子能谱(XPS)、电子顺磁共振(EPR)、拉曼光谱、X射线吸收精细结构(XAFS)和透射电子显微镜(TEM)等多种技术对催化剂进行系统的表征。
XPS
XPS是一种常见的的表面成分分析技术。
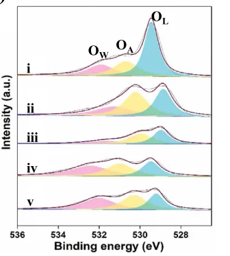
通常,O 1S XPS谱可分解为三个特征峰,分别对应于晶格氧(低结合能的OL峰)、吸附在Ov位上的氧物种(OA峰,结合能中等)和来自水或其他羟基的氧物种(OW峰,高结合能),Ov位的浓度与OA峰的强度密切相关,但Ov浓度的量化是相对随机的。



图8. 各种催化剂的O 1s XPS谱。(i)Ni/CeO2,(ii)NiNPs/CeO2,(iii)Ni/CeO2Nf,(Iv)NiNPs/CeO2Nf,和(V)NiNPs@CeO2Nf。DOI:10.1016/j.apcatb.2022.121715
EPR
EPR对Ov位点上的未配对电子做出响应,因此是一种独特的Ov位表征技术。EPR谱中的g值取决于自由基的性质。在g=2.000附近,对称的电子顺磁共振信号证实了Ov位点的存在。
借助于标准样品,如2,2,6,6-四甲基哌啶氧基(TEMPO)和1,1-二苯基-2-苦基肼(DPPh),通过EPR信号的双重积分实现了Ov位点的定量。用g=2.002处的电子顺磁共振信号定量测定生物氯催化剂上的氧位含量(图9)



图9. 各种BiOCl型催化剂的EPR谱。DOI: 10.1016/j.apcatb.2018.01.018
拉曼光谱
拉曼光谱通过监测不同化学键的振动模式来检测含氧化物催化剂的化学结构和组成。Ov位点的产生会扰乱化学键的环境,从而导致拉曼光谱中的峰移动、强度变化,甚至产生新的峰。
例如,研究人员指出306 cm−1(Ir)和368 cm−1(I2)的峰分别对应于八面体InO6的弯曲振动和In-O-In的伸缩振动。I2特征的检测确认了Ov位点的存在,而I2/I1的峰比值指示了Ov含量。相比之下,Ir/In2O3-10催化剂显示出比In2O3类似物更高的I2/I1峰比值,这与其甲醇合成活性数据一致(图10)。


图10. 不同In2O3和Ir/In2O3-10催化剂的拉曼光谱。DOI:10.1021/acscatal.0c05628
XAFS
XAFS谱提供了催化剂的电子结构和原子结构的信息,通常分为X射线吸收近边结构(XANES)和扩展X射线吸收精细结构(EXAFS)。
XANES谱揭示了化学键的电子态,这可能为Ov位点的识别提供支持。EXAFS光谱显示了原子的配位数和键长,直接证明了Ov的存在。
例如,研究人员在EXAFS光谱中观察到的1.5和2.5 Å处的峰分别对应于Mo-O和Mo-Mo键。在Ni/MoO2-x催化剂上,Mo-O键强度的降低被归因于表面大量的Ov缺陷(图11),这一现象被用来解释其出色的氢电催化活性。



图11. Ref-Mo、Ref-MoO2和Ni/MoO2–x催化剂的Mo K边EXAFS谱。DOI: 10.1016/j.cej.2023.142671
氧空位有什么作用?
Ov的形成能够改变氧化物催化剂的晶体结构周期性,并在Ov周围产生电子富集,这种电子的重新分布有助于调节材料的电子性质,从而提高其催化性能。
Ov对催化性能的影响可以通过直接和间接两种途径实现:
在直接途径中,Ov的增加可以促进反应物分子的吸附和活化,直接增强催化活性;
而在间接途径中,Ov可能通过改变活性位点的结构或其周围环境来影响催化过程,尽管它们不直接参与反应,但能够通过调节活性位点的性质来提高催化效率。
由于Ov是影响催化剂性能的关键结构参数,其浓度与催化性能紧密相关,因此在催化过程中,无论是直接还是间接途径,Ov都发挥着至关重要的作用。
【高端测试 找华算】
华算科技是专业的科研解决方案服务商,精于高端测试。拥有10余年球差电镜拍摄经验与同步辐射三代光源全球机时,500+博士/博士后团队护航,保质保量!
🏅已助力5️⃣0️⃣0️⃣0️⃣0️⃣➕篇科研成果在Nature&Science正刊及子刊、Angew、AFM、JACS等顶级期刊发表!
👉立即预约,抢占发表先机!

