氧空位如何表征?基于Raman、EPR、XPS、DFT、STM、ECM、HAADF-STEM的多技术解析与催化应用

在催化研究中,氧空位被广泛认为是决定催化活性的核心因素之一。本文华算科技将从氧空位的定义出发,系统阐述氧空位的重要性、关键公式、表征方法以及结合案例说明如何有效利用氧空位提升催化性能
氧空位如何表征?基于Raman、EPR、XPS、DFT、STM、ECM、HAADF-STEM的多技术解析与催化应用
氧空位如何表征?基于Raman、EPR、XPS、DFT、STM、ECM、HAADF-STEM的多技术解析与催化应用

什么是氧空位

氧空位(oxygen vacancy, VO)是晶格中本应存在的氧离子位置上缺失一个氧原子/离子所形成的点缺陷。其本质是氧化物晶格中氧原子的 “缺失态”,可分为表面氧空位(位于载体表层,直接参与催化反应)和体相氧空位(位于载体内部,主要参与氧物种迁移),在催化体系中以表面氧空位的作用最为关键。
氧空位如何表征?基于Raman、EPR、XPS、DFT、STM、ECM、HAADF-STEM的多技术解析与催化应用
氧空位助力催化反应示意图。DOI10.1039/d2ta03180a
氧空位的形成、浓度及作用机制可通过以下核心公式定量或定性描述,是分析氧空位的关键工具。

1. 氧空位形成能公式

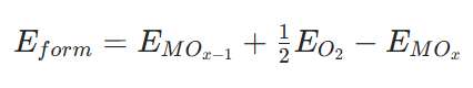
氧空位形成能(Eform是衡量氧空位难易程度的关键指标,公式为:
氧空位如何表征?基于Raman、EPR、XPS、DFT、STM、ECM、HAADF-STEM的多技术解析与催化应用
其中,
EMOx完整金属氧化物的总能量;
EMOx-1形成一个氧空位后的氧化物总能量;
EO2气态 O₂分子的总能量。
形成能越低,氧空位越易形成。通常,过渡金属氧化物(如 TiO₂、CeO₂)的氧空位形成能低于主族金属氧化物(如 Al₂O₃、SiO₂),因此更易产生氧空位,常被用作高活性催化剂载体。

2. 氧空位浓度与催化活性关联公式

在氧化反应中,催化剂的活性(以周转频率 TOF 表示)与载体氧空位浓度([VO])通常呈线性关系:
氧空位如何表征?基于Raman、EPR、XPS、DFT、STM、ECM、HAADF-STEM的多技术解析与催化应用
k比例常数,与载体类型、反应温度等因素相关。
该公式表明,氧空位浓度是影响催化活性的关键变量,通过调控氧空位浓度可直接优化催化剂性能。
氧空位如何表征?基于Raman、EPR、XPS、DFT、STM、ECM、HAADF-STEM的多技术解析与催化应用
可用于探测不同数量级氧空位浓度(绿色)和不同材料体系中空位发生的实验方法(蓝色)。DOI:10.1063/1.5143309
氧空位如何表征?基于Raman、EPR、XPS、DFT、STM、ECM、HAADF-STEM的多技术解析与催化应用
氧空位如何表征?基于Raman、EPR、XPS、DFT、STM、ECM、HAADF-STEM的多技术解析与催化应用

氧空位为什么如此重要?

氧空位在催化体系中的核心作用可概括为 “三激活一稳定”,直接解决传统催化中活性组分难以活化反应物、反应选择性低等关键问题。

1. 激活反应物多数反应物分子(如 O₂、CO)在常规催化剂表面的吸附与活化能垒较高,而氧空位可通过两种方式降低能垒:电子转移激活、吸附位点激活。

2. 激活晶格氧在氧化反应中,氧空位可促进载体晶格氧的参与,形成 “氧消耗 – 补充” 的循环机制(Mars-van Krevelen 机制):反应物先与晶格氧反应生成产物,同时产生新的氧空位;随后氧化剂(如 O₂)在氧空位处解离,补充晶格氧,完成循环。这种机制可显著提升反应效率,避免氧化剂与反应物的直接竞争吸附。

3. 激活活性组分 – 载体相互作用:氧空位可通过电荷转移改变活性组分的电子性质。例如,氧空位处的自由电子转移至金属纳米颗粒,可使金属表面呈现轻微负电性,这种电子态变化可增强金属对反应物的吸附能力,同时削弱金属 – 金属键,抑制金属颗粒烧结。

4. 稳定活性物种:在选择性催化反应中,氧空位可通过空间限制或电子作用稳定目标活性物种,避免其转化为无选择性的副物种。例如在环氧化反应中,氧空位可稳定金属 – 氧羟基(如 Ti-OOH)活性物种,防止其分解为羟基物种,从而提升目标产物的选择性。

氧空位如何表征?基于Raman、EPR、XPS、DFT、STM、ECM、HAADF-STEM的多技术解析与催化应用

不同载体对CO氧化的催化活性要求,强调了氧空位和水或OH基团的重要性。

DOI: 10.1021/acs.chemrev.9b00551

 

氧空位如何表征?基于Raman、EPR、XPS、DFT、STM、ECM、HAADF-STEM的多技术解析与催化应用
氧空位如何表征?基于Raman、EPR、XPS、DFT、STM、ECM、HAADF-STEM的多技术解析与催化应用

氧空位如何表征?

氧空位的分析需结合 “宏观 – 微观”“静态 – 动态” 多种表征手段,实现氧空位的存在确认、浓度定量及作用机制解析。
 
1.扫描隧道显微镜(STM)
 

 

利用量子隧道效应,在原子级分辨率下直接观察金属氧化物表面的形貌的电子态变化。在平整的氧化物表面,氧空位表现为原子级的凹陷或电子态异常区域。
例如在TiO2(110)表面,氧空位可清晰观察为沿 [001] 方向排列的暗点,且可通过 STM 针尖的偏压调控,实现氧空位的迁移或修复,进一步验证氧空位的化学活性。
氧空位如何表征?基于Raman、EPR、XPS、DFT、STM、ECM、HAADF-STEM的多技术解析与催化应用

DOI: 10.1021/acs.chemrev.9b00551

 

 
2.高角环形暗场扫描透射电镜(HAADF-STEM)
 

 

基于原子序数(Z)的差异成像(Z 衬度成像),氧原子的原子序数远低于金属阳离子,因此氧空位处因氧原子缺失,会呈现出与周围晶格不同的亮度对比。

例如在CeO2纳米颗粒中,表面氧空位表现为局部亮度降低的区域,结合元素分布 mappings(EDS mapping),可进一步确认氧空位与活性组分(如金颗粒)的位置关联,判断二者是否存在协同作用。
氧空位如何表征?基于Raman、EPR、XPS、DFT、STM、ECM、HAADF-STEM的多技术解析与催化应用
 
3.拉曼光谱(Raman)
 
基于晶格振动模式的变化反映晶体结构缺陷。金属氧化物的拉曼峰位置与强度由晶格振动频率决定,氧空位的存在会破坏晶格的对称性,导致振动模式改变,出现特征峰位移或新峰。
例如,CeO2特征拉曼峰位于 462 cm⁻¹(对应F2g振动模式),当存在氧空位时,该峰向低波数方向偏移(通常偏移 5-10 cm⁻¹),且偏移程度与氧空位浓度呈线性关系;同时,在 590 cm⁻¹ 附近会出现氧空位相关的新峰,峰强度可用于半定量分析氧空位浓度。
氧空位如何表征?基于Raman、EPR、XPS、DFT、STM、ECM、HAADF-STEM的多技术解析与催化应用
DOI10.1021/acsami.9b08664
 
4.电子顺磁共振(EPR)
 
基于未成对电子的自旋磁矩与外磁场的相互作用,通过特征信号确认氧空位存在并半定量其浓度。
在Au/CeO2中,EPR 出现Ce3+信号,通过对比标准样品(已知氧空位浓度的CeO2),计算出Au/CeO2的氧空位浓度为 0.2 mmol/g,该数据与 O₂-TPD 的定量结果一致。
氧空位如何表征?基于Raman、EPR、XPS、DFT、STM、ECM、HAADF-STEM的多技术解析与催化应用
DOI: 10.1021/acscatal.7b02952.
 
5.X 射线光电子能谱(XPS)
 
通过分析金属阳离子的价态比例(如Ce3+/Ce4+、Ti3+/Ti4+),间接计算氧空位浓度,同时分析氧物种的化学状态。
在 O 1s 谱中,区分了晶格氧(529.8 eV)、表面羟基氧(531.5 eV)和缺陷氧(530.5 eV),缺陷氧的峰面积占比与氧空位浓度正相关,进一步辅助氧空位分析。
氧空位如何表征?基于Raman、EPR、XPS、DFT、STM、ECM、HAADF-STEM的多技术解析与催化应用
DOI: 10.1002/adfm.202109503.
 
6.程序升温脱附(O₂-TPD)
 
通过 O₂在催化剂表面的脱附峰位置(反映吸附强度)和面积(反映氧空位浓度),定量氧空位的类型与数量。
Au/ZnO经 H₂还原后,O₂-TPD 出现两个脱附峰:280℃(表面氧空位)和 350℃(体相氧空位);还原处理后,280℃峰面积增加 40%,对应表面氧空位浓度从 0.12 mmol/g 增至 0.25 mmol/g,CO 转化率在 – 50℃时从 30% 提升至 90%。
氧空位如何表征?基于Raman、EPR、XPS、DFT、STM、ECM、HAADF-STEM的多技术解析与催化应用

DOI: 10.1021/acs.chemrev.9b00551

 

 
7.原位电导测试(ECM)
 
利用氧空位释放自由电子的特性,通过电导变化实时追踪氧空位的生成、消耗与再生,反映氧空位的动态行为。
论文通过电导 – 氧空位浓度校准曲线(已知氧空位浓度的TiO2的电导值),计算出反应过程中氧空位浓度的动态变化范围为 0.15-0.25 mmol/g,为反应机制解析提供数据支撑。
氧空位如何表征?基于Raman、EPR、XPS、DFT、STM、ECM、HAADF-STEM的多技术解析与催化应用

DOI: 10.1021/acs.chemrev.9b00551

 

 
8.氢气程序升温还原(H₂-TPR)
 
通过 H₂与氧化物中氧物种的反应温度(反映氧空位可及性)和峰面积(反映氧物种数量),判断氧空位的活性。
在Au/Fe2O3体系中,γ-Fe₂O₃的 H₂还原峰温度(320℃)比 α-Fe₂O₃(370℃)低 50℃,且峰面积大 30%,表明 γ-Fe₂O₃的氧空位更易与 H₂反应,氧空位浓度更高;该结果与 CO 氧化活性一致(γ-Fe₂O₃的 T₁/₂为 – 70℃,α-Fe₂O₃为 80℃)。
氧空位如何表征?基于Raman、EPR、XPS、DFT、STM、ECM、HAADF-STEM的多技术解析与催化应用

 

DOI10.1016/j.apcatb.2025.125627
 
9.密度泛函理论(DFT)
 
构建金属氧化物 – 金颗粒的模型,模拟氧空位形成过程中的能量变化与电子密度分布,量化氧空位对反应的促进作用。模拟 CO 在氧空位处的反应路径,计算出 CO 与晶格氧反应的能垒为 0.3 eV,远低于无空位时的 0.8 eV,解释了为何氧空位可提升 CO 氧化速率。
氧空位如何表征?基于Raman、EPR、XPS、DFT、STM、ECM、HAADF-STEM的多技术解析与催化应用
DOI10.1021/acsami.8b17062

 

氧空位如何表征?基于Raman、EPR、XPS、DFT、STM、ECM、HAADF-STEM的多技术解析与催化应用
氧空位如何表征?基于Raman、EPR、XPS、DFT、STM、ECM、HAADF-STEM的多技术解析与催化应用

如何用好氧空位?

 

在《Importance of Size and Contact Structure of Gold Nanoparticles for the Genesis of Unique Catalytic Processes》研究表明,氧空位是金催化体系的 “活性核心”。下面我们将结合Chemical Reviews期刊的这项工作进行说明,如何有效利用氧空位提升催化性能呢?

1.选择合适的载体
优先选用“可还原 MOx”作为材料(TiO₂、CeO₂、ZrO₂、FeOx、ZnO 等),因为这些材料本身更容易形成/存储氧空位并能参与 Mars–van Krevelen 循环。论文显示 Au 在可还原 MOx 上能极大提升低温 CO 氧化活性,且 OSC 与周界长度呈线性关系。
通过掺杂引入 Vo:如将 Y³⁺、Fe³⁺ 等掺入 TiO₂ 可制造氧缺陷(形成氧缺位)并稳定 Au 团簇(论文举例:Y³⁺ 掺杂使 TiO₂ 上形成氧空位,提升活性)。
载体的晶相/纳米度也重要:纳米晶 CeO₂-x、表面高缺陷密度的 ZrO₂ 等比块体更易形成 Vo,能更好配合 Au。
氧空位如何表征?基于Raman、EPR、XPS、DFT、STM、ECM、HAADF-STEM的多技术解析与催化应用

DOI: 10.1021/acs.chemrev.9b00551

2.调控金属尺寸与接触结构
使 Au 形成“半球形/平铺”与支持紧密接触以放大周界长度,因为周界处往往是 Vo 生成与 O₂ 活化的热点;论文中通过改变制备方法/热处理调控 Au 形貌(DP vs SI,或退火温度)并观察到周界长度对 OSC/TOF 的决定性关系。
粒径设计:亚纳米簇、1–2 nm、2–5 nm 在不同体系中会呈现不同活性(有时单原子/簇优于 NP,有时相反),因此在工程上需以目标反应/支持为导向做对比实验并以 TOF-P/TOF-S 判据区分活性位点。
氧空位如何表征?基于Raman、EPR、XPS、DFT、STM、ECM、HAADF-STEM的多技术解析与催化应用

DOI: 10.1021/acs.chemrev.9b00551

3.热/气氛预处理
还原处理(H₂)、氧化/再氧化循环:适当还原可产生或增加 Vo(论文提到 Au/ZnO 在 H₂ 还原 + 空气预处理下 Vo 增加并获得极高活性),但过度还原会导致 Au 电子态变化(电子转移至 Au,削弱 CO 吸附)或过度形成体缺陷导致不利影响;因此需要优化温度/时长/气氛。
避免碳酸盐与中毒物种阻塞:某些载体(如 Mg(OH)₂)容易形成碳酸盐阻塞周界,导致“负的可观测活化能”与温度相关失活;在准备与反应过程中需注意去除碳酸根与控制湿度。
氧空位如何表征?基于Raman、EPR、XPS、DFT、STM、ECM、HAADF-STEM的多技术解析与催化应用
DOI10.1021/acs.est.0c08335
4.反应条件的把控(湿度、反应温度)
水的促进或抑制作用因体系而异:对惰性载体(SiO₂ 等),水的促进作用更明显;在可还原 MOx 上水有时有益(促进 OOH 形成),但也可能导致表面阻塞。论文对水对低温 CO 氧化与丙烯环氧化作用有讨论。
温度选择决定机理:低温常见分子吸附态/界面机理(需要稳定的吸附 O₂),高温则以格位氧参与的 Mars–van Krevelen 主导(Vo 的消耗与补充成为循环的核心)。因此设计实验时需覆盖温区并联合 TAP、EPR、ECM 等表征以区分机理。
氧空位如何表征?基于Raman、EPR、XPS、DFT、STM、ECM、HAADF-STEM的多技术解析与催化应用

DOI: 10.1021/acs.chemrev.9b00551

5.定量化策略(结合表征)
用 TAP/TPO/O₂-TPD + 电导 + EPR + XPS/XAS 的组合来交叉验证 Vo 的数量与可逆性:
TAP 给出可逆可用于催化的氧量(OSC);
电导测量给出 Vo 伴随电子释放的实时信号;
EPR 给出未成对电子(Ti^{3+} 等);
XPS/XAS 给出化学态变化与支持/金属间电荷转移。论文就以这些方法多角度证明 Vo 是关键。
氧空位如何表征?基于Raman、EPR、XPS、DFT、STM、ECM、HAADF-STEM的多技术解析与催化应用
VO表征工具总结。DOI: 10.1002/eom2.12075
氧空位如何表征?基于Raman、EPR、XPS、DFT、STM、ECM、HAADF-STEM的多技术解析与催化应用
氧空位如何表征?基于Raman、EPR、XPS、DFT、STM、ECM、HAADF-STEM的多技术解析与催化应用

总结

氧空位不仅是金属氧化物载体中的一种结构缺陷,更是调控金催化剂性能的“活性开关”。通过合理设计载体结构、调控金-载体界面、优化预处理条件,可以有效地“制造”并“利用”氧空位,从而提升催化剂在氧化、加氢、环氧化等反应中的活性和选择性。

【高端测试 找华算】

华算科技是专业的科研解决方案服务商,精于高端测试拥有10余年球差电镜拍摄经验与同步辐射三代光源全球机时,500+博士/博士后团队护航,保质保量!

🏅已助力5️⃣0️⃣0️⃣0️⃣0️⃣➕篇科研成果在Nature&Science正刊及子刊、Angew、AFM、JACS等顶级期刊发表!

👉立即预约,抢占发表先机!

 

声明:如需转载请注明出处(华算科技旗下资讯学习网站-学术资讯),并附有原文链接,谢谢!
(0)
上一篇 2025年11月11日 上午11:57
下一篇 2025年11月14日 下午2:44

相关推荐