说明:本文华算科技介绍了氧空位的作用及多种表征方法。氧空位可调控电子结构、增加活性位点、改变反应路径,提升催化性能。文中详细阐述了EPR、XPS、TEM、SEM、原位拉曼光谱、原位XRD、XAFS、AC-HRTEM、UV-Vis-NIR、TGA和MEP等技术的原理与应用,助力研究氧空位对催化性能的影响。
什么是氧空位
氧空位(Oxygen Vacancies, OVs)指金属氧化物晶格中因氧原子缺失形成的点缺陷。由于氧的电负性高于金属,氧原子脱离后留下带正电的电子空穴(相当于移去O2-离子),故氧空位通常带正电性,并在材料带隙中引入缺陷能级。
在电催化中,OVs可以:(1)调控电子结构,提升导电性并增强催化活性;(2)增加活性位点数量;(3)改变反应路径;(4)优化反应物在催化剂表面的吸附能,从而降低反应能垒,提高分子反应活性。

图1. 富含氧空位的NiFe LDHs示意图。DOI: 10.1021/acscatal.2c05783
氧空位作为影响电催化性能的关键结构缺陷,在调控催化剂的电子结构与反应活性中具有重要作用。以下将系统介绍电催化中氧空位的常用表征方法。
原位电子顺磁共振(EPR)
原位电子顺磁共振(EPR)是一种用于研究含有未配对电子的物质的技术。氧空位作为一种典型缺陷,通常具有未配对电子,因此可通过EPR直接检测其存在。
原位EPR能够在实际催化反应条件下实时监测氧空位的动态变化,帮助研究者理解氧空位在催化过程中如何参与电子转移及调控反应速率。EPR不仅可提供氧空位的浓度信息,还能揭示其局域电子结构及其与催化反应的相互作用。

图2. (g)不同煅烧温度(140–330 °C)下ZVO的原位EPR光谱;(h)左:图g的局部放大EPR光谱;右:不同温度下的峰强度比DOI: 10.1002/adfm.202305659
X射线光电子能谱(XPS)
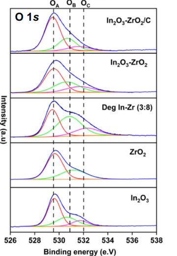
XPS能够提供材料表面元素的化学状态信息,通过分析氧元素的谱峰形态,尤其是O 1s谱峰的位移和强度变化,可以推测出氧空位的存在及其数量。氧空位会导致氧1s谱峰的能量下移,从而与未配位氧原子的信号区分开来。通过定量分析氧1s峰的不同成分,可以得到氧空位的浓度。

图3. 不同催化剂的O1s图谱。DOI: 10.1038/s41467-025-63932-y。
TEM和SEM是高分辨率显微技术,可以在原子尺度上观察材料的形貌和结构变化。在TEM中,通过高分辨率成像可以直接观察到氧空位所在的晶体结构的局部缺陷,尤其是在晶格图像中出现的缺失氧点。此外,结合能谱分析(EDS)技术,能够准确地检测材料表面元素的分布和氧空位的局部富集情况。

图4. b-c R-Fe-Ni2P/NiMoO4的SEM图像;d- e R-Fe-Ni2P/NiMoO4的TEM和HRTEM图像;f-k R-Fe-Ni2P/NiMoO4的HAAD-STEM图像和对应的EDS元素映射图。DOI: 10.1038/s41467-025-63844-x
原位拉曼光谱
原位拉曼光谱是一种灵敏的振动光谱技术,可提供分子与晶体材料的结构信息。在电催化中,氧空位通常会改变材料的晶格对称性与振动模式,因此拉曼光谱可用于检测氧空位的存在及其浓度。该技术可在催化反应过程中实时监测材料结构变化,揭示氧空位的动态演化过程。

图5. 不同电解时间与电位下,富含与缺乏氧空位的Pt/TiO2及TiO2的原位拉曼光谱分析。DOI: 10.1002/anie.202104856
原位X射线衍射(XRD)
原位X射线衍射(XRD)也是一种研究材料晶体结构变化的有效手段。氧空位对材料的晶体结构有显著影响,XRD可通过分析衍射峰位置与强度的变化,获取氧空位对晶格结构的调控信息。原位XRD可在电催化反应过程中实时监测,揭示氧空位与晶体结构演变之间的关联。

图6:煅烧过程中ZVO的原位XRD图谱。DOI:10.1002/adfm.202305659
X射线吸收精细结构谱(XAFS)
X射线吸收精细结构谱(XAFS)是一种基于X射线吸收的局域结构表征技术,包括X射线吸收近边结构(XANES)和扩展X射线吸收精细结构(EXAFS)。
XAFS能够提供材料中元素的局域配位环境信息,尤其适用于分析氧空位对催化剂局部结构的影响。XANES可揭示氧空位周围的电子态变化,而EXAFS则能提供氧空位邻近原子的键长与配位数等结构参数。

图7. CoOOH-PPy-BP与Co(OH)2-PPy-BP阴极在DBFC放电过程中(25°C)的Co K边归一化原位XAFS光谱及其傅里叶变换k2加权EXAFS函数,用于氧空位的定性分析。DOI: 10.1016/j.electacta.2017.09.102
球差校正高分辨透射电镜(AC-HRTEM)
球差校正高分辨透射电镜(AC-HRTEM)是一种具备亚埃级分辨率的高分辨透射电子显微技术。该技术通过校正电子束的球差,显著提升图像分辨率,使研究者能够在原子尺度上直接观察氧空位的分布与形态。
在电催化研究中,AC-HRTEM可用于直接识别氧空位的具体位置,并分析其对催化性能的影响,尤其在催化剂表面与界面区域。

图8. O-LZO的AC-HRTEM图像(插图为傅里叶变换图)。DOI: 10.1002/adma.202505209
紫外-可见-近红外光谱(UV-Vis-NIR)
紫外–可见–近红外(UV-Vis-NIR)光谱是一种常用于分析材料电子结构的技术。氧空位通过改变材料的电子结构,通常会引起吸收边的变化。UV-Vis-NIR光谱可提供材料电子结构的信息,特别是氧空位引起的吸收特征变化。
在电催化中,通过对材料光吸收特性的分析,可揭示氧空位对电子态密度的影响,并为催化反应中的电子转移过程提供依据。

图9.不同Cu载量Cu-In2O3的UV-Vis-NIR光谱。DOI:10.1002/anie.202505244
热重分析(TGA)
热重分析(TGA)是一种常用于研究材料热稳定性与组成的表征方法。氧空位的存在通常会影响材料的热稳定性,因此TGA可用于评估氧空位对材料热行为的影响。
在电催化过程中,氧空位可能通过调控催化剂的氧化还原性质影响其热稳定性。通过TGA可定量分析催化剂在不同温度下的质量变化,进而推断氧空位的存在及其对材料稳定性的作用。

图10. 不同温度下H2热处理“as-received”Ru/CeO2导致氧空位(VO)生成的分析。DOI: 10.1021/acscatal.4c01230
多切片电子叠层成像(MEP)
多切片电子叠层成像(MEP)是一种结合电子显微镜成像与三维重构的先进表征方法。通过扫描电子显微镜(SEM)或透射电子显微镜(TEM)对材料样品进行切片,并利用叠层图像重构获得材料的三维结构信息。
该技术能够精确显示氧空位在催化剂表面的分布,并提供缺陷位置与电子态的相关信息。在电催化材料中,氧空位的形成与催化性能密切相关,MEP有助于研究者精确追踪氧空位的空间分布及其对催化反应的影响。

图11. MEP重构结果中深度为6.6 nm处的切片相位图像。DOI: 10.1038/s41586-024-07482-1
【高端测试 找华算】
华算科技是专业的科研解决方案服务商,精于高端测试。拥有10余年球差电镜拍摄经验与同步辐射三代光源全球机时,500+博士/博士后团队护航,保质保量!
🏅已助力5️⃣0️⃣0️⃣0️⃣0️⃣➕篇科研成果在Nature&Science正刊及子刊、Angew、AFM、JACS等顶级期刊发表!
👉立即预约,抢占发表先机!



