自从人们发现同步辐射现象之后,就开始对同步辐射进行理论研究,也逐渐对同步辐射装置进行设计和改造,来达到更为优质和稳定的同步光,为科学研究提供更好的平台。自1947年发现同步辐射,知道1965年发明储存环之后,同步辐射才开始走向应用。
到现在为止,同步辐射已经建造经历了四代的发展:
第一代是在20世纪70年代,主要依托在高能物理研究所建造的电子加速器和储存环上运行,是高能物理实验为主的兼用光源。比如说美国的CHESS光源,北京同步辐射装置BSRF。
第二代光源是80年代专门为同步辐射的应用而设计的。斯曼-格林阵列的采用标致这第二代同步辐射光源的出现。主要特点是设置一些插入件使电子在运动过程中发生扭摆和波荡,从而发出更多的同步辐射,而且还会因为相互叠加而进一步加强。但是他们都是电子储存环,通常能量较低。比如如美国布鲁克海文国家实验室NSLS光源(800MeV),巴西国家同步辐射实验室LNLS光源(1.37GeV),合肥国家同步辐射实验室NSRL光源(800MeV)。
第三代光源是20世纪90年代开始大量产生的,特点是为为了能够大量使用插入件儿设计的地发射度的储存环,因此与第二代的主要区别就在于光源的能量更高。比如美国阿贡国家实验室的APS光源(7GeV),劳伦斯伯克利国家实验室的ALS光源(1.9GeV),欧洲同步辐射装置ESRF(6GeV),德国的BESSYⅡ光源(1.7GeV),英国的Diamond光源(3GeV),法国的SOLEIL光源,日本的SPring-8光源(8GeV),上海同步辐射装置SSRF(3.5GeV)。SSRF建成后,中国大陆有三台同步辐射光源同时运行,布局更趋合理。目前在世界范围内,第三发你同步辐射是主流的光源。
第四代则是被认为是自由电子激光(FEL)光源,运用了高增益谐波产生原理,X射线自由电子激光不仅能产生无与伦比的高亮度辐射,而且辐射具有完全的横向相干性,并且是脉冲式的。
X射线吸收谱学(XAS)的发展的非常迅速,在物质结构表征(比如原子结构,电子结构),还有物理化学性能方面的解释,(如单原子催化剂位点研究,原位测试等等)都发挥着越来越重要的作用。其中最主要的原因,也是归于同步辐射光源的建造和发展。
那么,什么是同步辐射?什么是X射线呢?他们之间的关系是什么呢。X射线又叫做伦琴射线,是一种电磁波,波长约为0.01nm~10nm之间,能量范围大概是100eV~100keV。如下图1所示。他们的的波长就类似于尺子一样,可以去测量各个尺度范围内的一些物质的的性能。
图1. 电磁波长和能量的关系
产生X射线主要有以下四种方式 :X射线管、激光等离子体、同步辐射和X射线激光。
比较常见的是X射线管(即用高能电子束轰击靶材来产生X射线)和同步辐射。同步辐射是速度接近于光速的具有相对论性的带电粒子在磁场中沿着曲线轨道运动时,沿着曲线切线方向放出的电磁辐射,由于它一开始是在同步加速器上面被观察到的,所以也被叫做“同步辐射”或“同步加速器辐射”。
我们从这个定义也能看出来,同步辐射产生需要满足三个条件,第一,粒子必须是带电的,这个粒子也不一定是电子,也可以是其他带电荷的粒子;第二,“相对论性”要求粒子速度接近光速,能量高;第三,粒子的运动方向要是改变的,所谓在电磁场中受到的合力不为零。图2是电子在磁场中偏转产生同步辐射的示意图。
图2. 电子在磁场中偏转产生同步辐射的示意图
物质对X射线的吸收具有原子特征。X射线吸收细结构光谱(X-ray absorption fine structure, XAFS)是一种基于同步辐射光源的分析方法。它测量的基本物理量为X射线质量吸收系数μ(E)。原子核外电子所具有的能量是量子化的——处于一些分离的能级:K、L、M……等。当一束能量为E的X射线穿透物质时,它的强度会因为物质的吸收而有所衰减,其透射强度I与入射强度I0的关系满足下式:
I=I0e-μ(E)d
式中d为物质厚度;μ(E)为吸收系数,其大小反映物质吸收X射线的能力,是X射线光子能量的函数。
假设有一束单色X光入射到一片铜箔上,逐渐提高X射光子的能量,当达到铜原子的某个能级时,光子就会被Cu原子共振吸收,形成吸收系数的突变——吸收边。由K壳层电子被激发而形成的吸收边称为K吸收边,L壳层电子被激发而形成的吸收边称L吸收边。
由于L层电子可以分成三种能量态,所以L边又分为LⅠ,LⅡ和LⅢ边(2s电子跃迁形成LⅠ边,2p对应的2p1/2和2p3/2两种组态的跃迁形成LⅡ和LⅢ边)。如果以足够小的能量步长,仔细测量吸收边附近铜的吸收谱,会发现Cu的吸收系数在吸收边高能侧,随着光子能量的增加并不单调下降,而是有振荡。这种振荡就是X光吸收谱的精细结构(XAFS)


通常将XAFS谱分为两区域:
(1)X射线吸收近边结构——在吸收边之上50eV之内(X—ray Absorption Near Edge Structure,XANES);
(2)扩展X射线吸收精细结构——吸收边之上50eV以上的区域(Extended X-ray Absorption Fine Structure EXAFS) (50~1000eV)

如图1所示,XAS原始数据可以分为近边XANES和扩展边EXAFS两部分。近边对电子结构、价态、组分等比较敏感,而扩展边通过数据处理和拟合可以获得丰富的结构信息。
图1 XAS原始数据示例
XANES: 吸收原子的电子结构:价态、轨道杂化、对称性等结构信息;
EXAFS: 吸收原子近邻配位原子的结构信息:原子种类、键长、配位数和无序度因子等
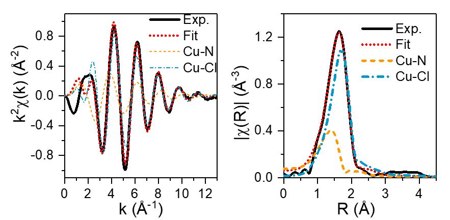
1. 扩展边X射线吸收精细结构谱(EXAFS分析)
通过EXAFS分析可以得到丰富的结构信息,也是最常见的一种数据解析内容。如图1所示,EXAFS形象理解的话可以看做是中心元素内层电子吸收X射线跃迁到外层形成光电子,光电子以波的形式发射出去并受到周围原子的散射,散射波与发射波产生干涉就得到了图1中所示的震荡波谱。EXAFS的数据处理需要将上述能量空间的震荡转换为波长k空间的震荡(图2)。而k空间的数据可以进一步通过傅里叶变换得到R空间的数据。至此我们才可以大概获得有关结构信息的“直观”数据。此外,通过R空间的逆傅里叶变换可以得到q空间数据。

图2 R空间与k空间
1)R空间中某个峰的可以对应距离中心元素多远存在一种或者多种配位元素,但是直接傅里叶变换得到的R空间中峰的位置并非真实键长,一般比实际键长短~0.5 Å,真实的键长应以拟合结果为准,在作图中可以直接作图无需矫正。
2)R空间中并非所有的峰都有意义,比如小于1 Å的,对于常见的金属而已很难有如此近的配位元素存在。另外,对于比较弱的峰更加需要小心区分,可能是信噪比较差引起的,也可能是伴随某元素主峰出现的弱峰。
3)R空间中,同一位置峰的高度与配位数的大小效果,可以利用这个特性粗略判断不同样品中配位数的高低。但是随着距离增加其高度会有指数级降低,尤其是对于结构比较无序的样品,其峰也会更弱。
4)通过EXAFS拟合可以得到最基本的配位元素、键长、配位数等配位结构信息。如表1所示,通过EXAFS拟合可以得到配位元素Path,对应配位数Coordination Number,键长R,以及可以帮助判断拟合质量的无序度σ2(Debye Wallerfactor),△E0和R factor。拟合参数的设置与预期结构和分析目的密切相关,也直接影响拟合质量。一般而言配位数的误差可以有10%甚至20%,这个参数也是EXAFS拟合中最为不准确的一项。键长的误差一般小于0.02 Å,σ2 0|
表1. EXAFS拟合结果示例


图3 R空间与k空间拟合结果
5)和许多数据处理过程一样,EXAFS拟合也必须要首先对标样进行拟合后才能进一步拟合其他未知样品,尤其是配位数的大小,只能通过定标之后才能得到有意义的结果。由于仪器状态等问题,标样的采集须尽量与样品同时或者同批次采集,否则结果可能不准确。
6)单纯从一个数据来讲,可以存在无限种拟合方式,因此需要对样品的结构有大概了解。如表1所示,同一样品按照1a/1b两种不同方式进行拟合(除Cu-Cl配位外是否含有Cu-N配位),在一定程度上都可以得到满足拟合要求的拟合结果,但是通过比较可以发现1a情况拟合质量更好。通过比较不同可能性的拟合结果也可以帮助验证预期的不同结构模型哪种更准确。
7)对于同一个数据,在满足合理性的基础上,引入越多的配位元素可能得到的拟合质量越高,但是实际上对于一定能量范围和信噪比的数据其能够拟合的参数上限是固定的。在对于样品组分和结构不确定的情况下,引入过多的配位元素的话会在一定程度上牺牲拟合的可信度。但是在结构或者组分已知的情况下,可以通过EXAFS拟合得到多种多样的结构信息。
8)EXAFS拟合所得的数值都是平均结果,比如Cu纳米颗粒,其中既有金属Cu也有Cu2O物种,虽然对于纯的Cu2O而言其Cu-O配位数为2,但是实际上所得的结果可能小于1.因为拟合可以看做是样品中存在的所有Cu-O键的数量除以所有Cu的原子数。同理对于金属Cu而言其Cu-Cu理想配位数为12,但是即使是还原态的Cu纳米颗粒其配位数可以仅有9甚至更低。纳米颗粒尺寸较小时其表面原子以及边角位原子占比较高,而这些Cu的配位数远低于12,所以导致配位数较低。当然,特定情况下可以通过这些数据反推样品的成分组成和结构组成(如合金还是核壳等)。
9)除拟合得到的各个参数外,通过EXAFS拟合得到的k空间和R空间的拟合谱也拟合质量的判标。对于R空间,可以清楚地分析各个峰对应于哪种配位元素。
2. 小波分析EXAFS Wavelet Transform
如上所述,EXAFS的拟合非常依赖对于样品成分和结构的了解,在此情况下可以大概推测R空间中的峰对应于某种配位元素,然后进一步对各参数进行拟合。但是实际上,对于未知样品我们很难确定其配位元素有哪些,尤其是对于R空间中键长比较接近的峰。因此,EXAFS的拟合很多情况下都需要结合EXAFS小波分析,才能有效地进行数据分析,得到更加可信的结果。
在R空间中只能看到哪些位置有峰以及峰的高低,却无法知道某个峰可能对应何种配位元素。但是我们在图3的k空间中可以看到,不同的配位元素有着不同的k空间震荡模式。对于比较轻的元素,其k空间的最强震荡出现在较低的波数,如上图中的N在~4 A-1; 而较重的元素其k空间的最强震荡出现在较高的波数位置,如图3中的Cl在~5 A-1,更重的金属元素则可能出现在8-12 A-1等等。与傅里叶变换得到的R空间中的二维信息不同,小波分析可以将R空间与k空间结合得到的是三维信息。

图4 小波分析示例
如图4所示,Fe-MOF的EXAFS傅里叶转换(左)和小波分析结果(右),其中R空间中的ABC三个峰分别对应于小波分析中的ABC三个位置。其中A:R~1.5 A, k~4 A-1; B R~3.0 A, k~4 A-1; C: R~2.1 A, k~8A-1。可以判断A和B的配位元素相近,结合材料信息可以认为A和B分别为配体中紧邻和次近邻的C和O元素,而C则对应于较重的元素,结合材料信息可以判断为Fe即,该材料中形成了超小的金属Fe簇合物。值得一提的是,该结果远非客户所预料的结果,在给出这个分析结果之前他们本以为仅是峰A,即O配位数的相对较低导致该催化剂在相关反应中具有较高的催化活性,而Fe仍以单分散形式存在。如果没有不经过小波分析也可以按照该客户推测进行拟合得到相对合理的结果,但是就错过了这个重大发现。
3. 价态分析/XANES近边分析
对于许多XAS数据,其扩展边可能数据质量较差,使得拟合的可信度有时候值得商榷。而XANES一般有足够高的信号质量,并且具有许多指纹信息,可以给出更加丰富的信息。其中最简单也最常见的要数价态分析。如图5所示,不同价态的MoOx标样的K-edge吸收边的位置不同,价态越高其吸收边越往高能量方向移动,而且其吸收边的位置与价态具有较好的线性相关性质。对于某未知样品,只需将对应吸收边的位置代入由标准样得到的相关关系中便可以得知未知样品中对应元素的平均价态。除吸收边位置外,还可以通过吸收边高度(白边)或者对应区间的面积进行归一化处理。一般而言,K边吸收对于吸收边未知更为敏感,而边吸收谱则对白边高度或者吸收面积相关性更高。
理想的价态分析需要尽量多的标样,并且未知样品的配位元素应尽量与标准样品相近。即便相同的价态但不同配位结构的样品,其近边吸收谱也可能会有较大的差异。不同的未知样品之间进行比较时也需小心对待。如下图所示同样的Ti4+不同的配位模式表现出迥异的XANES,尤其是边前吸收具有巨大的差异。幸运的是,这些边前吸收恰好可以提供丰富的指纹信息,有助于进一步结构分析。

图5 XANES分析示例
4. 组分分析Liner Combination Fitting
组分分析,顾名思义就是分析混合样品中各组分的占比,也是基于XANES的分析方法,常见于原位XAS实验数据处理,当然也适用于其他混合样品的组分分析。前述的价态分析常常得到非整数价态,有时候可以认为是由结构相近的但是价态不同的两种组分混合构成的,在此基础上可以经组分分析确定不同组分的占比。组分分析的前提是对于含有的物质种类有相对清楚的认识。

图6 组分分析示例
在我们过往的合作过程中我们发现,一些科研人员对于XAS缺乏足够的了解,有的只是拿到了原始数据,便希望可以得到“所有”想得到的信息,但是实际上实际得到信息和他们理想中的要求可能相差甚远。基于此,为确保充分挖掘数据资源,我们需要您提供以下信息:
1. 原始数据,信噪比要好,否则无法进行有效拟合。
2. 想要得到的信息,如价态、配位结构等。具体能够实现的功能,以及具体要求详见第二部分。
3. 对应2的预期结果。数据处理如果没有一定的目标的话会得到许多无用的结果,高效的数据分析一定是建立在对于样品充分的了解和有一定的猜测基础之上的。
4. 对应样品的合成、处理过程相关信息或者其他表征结果等。有时候数据分析的结果不一定复合客户预期结果,这时候可以如果有其他信息的话可以有效地帮助判断和进一步数据处理。
原位XAF
电化学原位X射线吸收谱,如何追踪电催化过程中催化剂变化?
作为一种化工原料,乙烯在石油化工、有机合成等领域发挥着重要作用,但目前乙烯的生产路径主要依靠樟脑油的裂解,这加大了对原油的需求,因此,对于贫油国,发展不依靠原油的乙烯生产工艺是迫切需求。乙炔热氢化是目前主要的解决方案,但受限于i)高温(200~400 ℃)、ii)高压(~5 atm)、iii)贵金属催化剂、iv)氢气氛围(图一),使得乙炔热氢化工艺对生产条件提出了更高的要求。此外,催化剂的失活也进一步增加了单位产能的生产成本。

图 1:热化/电化学乙炔氢化生成乙烯对比示意图
基于此,厦门大学iChEM学者、中国科学院大连化物所邓德会研究员团队开发了一种基于电化学手段的乙炔氢化方法。该方法抛弃了传统的H2氢源,使用水作为氢源,实现了常温、常压乙炔高选择行生成乙烯。在连续流条件下,电催化乙炔选择性氢化法拉第效率达到83.2%,电流密度达到29 mA cm-2,展现出非凡的应用前景。
催化活性位点的离线研究很多时候会造成对实际催化位点的错识,导致后续的研究脱离实际轨道。因此,实现催化剂的实时在线研究有助于进一步剖析实际反应过程中的催化活性位点,为后续研究提供强有力的证据。本研究中,研究人员借助电化学原位X射线吸收谱测试装置,实现了对乙炔氢化过程中催化剂的实时在线观测,解析了催化剂的催化活性因子。
测试装置及条件:
电化学原位X射线吸收谱测量装置如图2所示,为了避免对电极反应对测试的干扰,电化学原位X射线吸收谱通常在双室或三室的三电极的电化学装置内进行,以该研究为例,使用Cu微粒/GDL电极(CuMPs/GDL)作为工作电极,铂丝为对电极,标准Hg/HgO电极作为参考电极,1 M KOH为电解液,杜邦115阳离子交换膜分隔阴阳极。测试使用上海同步辐射中心的BL14W1线站。测试时先用Ar去排除空气后,以恒定的C2H2气流曝气,使用CHI660E电化学工作站控制进行恒电势控制。


图 2:电化学原位X射线吸收谱示意图及实际装置图
电化学原位X射线吸收谱
如何追踪电化学过程催化剂变化?
作为新兴的先进的表征手段,X射线吸收谱已经成为剖析催化剂价态、表征带隙特征、分析配位电荷,提供轨道杂化、元素配位和对称性等信息的利器。在本研究中,研究人员耦合原位电化学技术以及X射线吸收谱技术,实现了催化剂的原位实时X射线吸收谱检测(图3)。以0价态的Cu箔以及+1价的Cu2O为参考,当只通入Ar气,同时施加开路电势时,Cu MPs/GDL的白线(吸收边)相对Cu箔偏向高能区,而相对Cu2O则偏向低能区,这说明此时Cu的化学态介于0 – +1价之间,还可能是制备过程中被空气轻微氧化导致的。而随着电势的施加(-0.6 vs. RHE),白线向低能区偏移则说明电子富集阴极,导致Cu MPs被还原。而在乙炔氛围中,随着电势的减小(-0.4 – -0.8 vs. RHE),白线同样向低能区偏移,同时值得注意的是:通乙炔比Ar偏移的微弱,这表明乙炔可能从Cu MPs电极上竞争电子,导致相比Ar氛围,Cu被电化学还原的“不彻底”。通过不同Cu晶面DFT模拟的XANES数据(图4)也进一步揭示了这一现象,在Cu的典型晶面上((111)、(110)、(100)),相比于裸Cu晶面,乙炔结合后的Cu晶面的白线显著向高能区偏移,这也进一步表明乙炔吸附后和Cu晶面交互,产生了电子转移,Cu晶面上的电子向吸附的乙炔分子上转移,引起催化剂白线右移。
图 3:不同电势下(-0.6 -0.4 -0.8 vs. RHE)的XANES谱

图 4:DFT模拟的不同Cu晶面的XANES谱
此外,原位EXAFS谱(图5)也为该催化剂的稳定提供了佐证,无论是在Ar气氛还是乙炔氛围下,Cu MPs/GDL催化剂的R空间特征峰(Cu-Cu键,~2.2Å)都没有明显变化,这表明在催化过程中,催化剂在分子结构及价态状态上不会出现明显变化,这也就表明在碱性、电化学条件下,Cu MPs/GDL催化剂具有良好的稳定性,这也展现出该催化在工业应用中的潜力。

图 5:电化学处理前后的EXAFS谱
思考:在催化反应过程研究中,X射线吸收谱已经展现了非凡的应用价值,但是如果只是通过此表征说明核心问题还只是孤证,难以说服审稿人和读者,要结合其他的表征技术(如:原位的拉曼、红外、STEM以及理论计算),多证据、多角度证明一个核心点最佳。
总之,该研究针对乙炔热氢化的高温、高压、贵金属催化剂、H2条件的劣势,提出了一种常温、常压、水为氢源的电化学催化乙炔加氢生成乙烯的技术。研究通过大量的原位表征(电化学原位X射线吸收谱、电化学原位的拉曼光谱、电化学原位衰减全反射表面增强红外光谱)详细揭示了Cu MPs上乙炔选择性加氢的过程及催化机理,为开发支撑该技术的催化剂提供了参考。
参考文献:
Suheng Wang et al. Highly efficient ethylene production via electrocatalytichydrogenation of acetylene under mild conditions. Nat. Commun. 2021
DOI: 10.1038/s41467-021-27372-8
https://www.nature.com/articles/s41467-021-27372-8
本文源自微信公众号:科研N次方测试平台
原文标题:《科研干货 | 同步辐射X射线吸收(XAS): 基本原理、数据分析及电化学原位测试,超全,建议收藏!》
原文链接:https://mp.weixin.qq.com/s/slZXvA5nJuo6JtMQ9-d4eA
本转载仅出于分享优质测试干货,旨在传递更多观点,并不代表赞同其全部观点或证实其内容的真实性。文章中所包含的图片、音频、视频等素材的版权均归原作者所有。如有侵权请告知删除。

