Tafel 曲线分析实操:原理拆解、关键指标(交换电流密度 / 斜率)解读与误区纠正

说明:在电催化能源转换领域(如电解水制氢、氧还原反应),塔菲尔(Tafel)曲线是连接催化剂 “结构” 与 “性能” 的核心桥梁。它不仅能定量评估催化活性(通过交换电流密度),还能揭示反应机制(通过塔菲尔斜率),是筛选高效电催化剂的必备工具。
本文华算科技系统解析 Tafel 曲线的定义、原理、分析逻辑及实操要点,同时纠正常见误区,为电催化研究提供标准化指导。
Tafel 曲线分析实操:原理拆解、关键指标(交换电流密度 / 斜率)解读与误区纠正
Tafel 曲线分析实操:原理拆解、关键指标(交换电流密度 / 斜率)解读与误区纠正

一、Tafel 曲线的核心定义

Tafel 曲线并非简单的 “电流 – 电位图谱”,而是描述电催化反应中过电位(η)与电流密度对数(log j)之间线性关系的曲线,其本质是 Butler-Volmer 方程在高过电位下的简化形式,核心价值在于 “将复杂的电化学反应动力学转化为可量化的线性关系”。
Tafel 曲线分析实操:原理拆解、关键指标(交换电流密度 / 斜率)解读与误区纠正
DOI:10.13353/j.issn.1004.9533.20151067
Tafel 曲线分析实操:原理拆解、关键指标(交换电流密度 / 斜率)解读与误区纠正
Tafel 曲线分析实操:原理拆解、关键指标(交换电流密度 / 斜率)解读与误区纠正

二、Tafel 曲线的核心原理

理解 Tafel 曲线的关键是掌握其理论源头 ——Butler-Volmer 方程,以及高过电位下的简化逻辑,这是正确分析 Tafel 参数的基础。

1. 基础方程:Butler-Volmer 方程

电化学反应的总电流密度(j)由正向反应(氧化或还原)和反向反应共同决定,其关系由 Butler-Volmer 方程描述:

Tafel 曲线分析实操:原理拆解、关键指标(交换电流密度 / 斜率)解读与误区纠正
各参数含义如下:
j:总电流密度(A/cm²),正向与反向反应的电流差值;
j0:交换电流密度(A/cm²),平衡电位下正向与反向反应的电流密度绝对值,是活性核心指标;
α:传递系数(0
n:反应限速步(RDS)中转移的电子数(通常为正整数,多数情况下 n=1);
F:法拉第常数(96485 C/mol);
R:气体常数(8.314 J/(mol・K));
T:绝对温度(K,室温下通常取 298 K);
η:过电位(V),实际电位与平衡电位的差值(η = E – E_rev)。
Tafel 曲线分析实操:原理拆解、关键指标(交换电流密度 / 斜率)解读与误区纠正
Tafel分析可提供的四大量化参数。DOI10.1016/j.mtener.2022.101123

2. Tafel 简化:高过电位下的线性关系

当过电位足够大时(η>>0 或 ηTafel方程
氧化反应(如 OER,η>>0):反向反应(还原)的指数项趋近于 0,方程简化为
Tafel 曲线分析实操:原理拆解、关键指标(交换电流密度 / 斜率)解读与误区纠正
还原反应(如 HER,η:正向反应(氧化)的指数项趋近于 0,方程简化为
Tafel 曲线分析实操:原理拆解、关键指标(交换电流密度 / 斜率)解读与误区纠正
其中:
a:Tafel 常数(V),曲线在 log j=0 时的截距,物理意义是 “单位电流密度(通常 j=1 mA/cm²)下的过电位”,可直接作为活性指标;
b:Tafel 斜率(mV/dec),曲线的斜率,反映 “电流密度每增加 1 个数量级(10 倍)所需的过电位增量”,是反应机制的核心判断依据。
Tafel 曲线分析实操:原理拆解、关键指标(交换电流密度 / 斜率)解读与误区纠正
B-VTafel区域的电流电位关系。DOI10.1016/j.mtener.2022.101123
Tafel 曲线分析实操:原理拆解、关键指标(交换电流密度 / 斜率)解读与误区纠正
Tafel 曲线分析实操:原理拆解、关键指标(交换电流密度 / 斜率)解读与误区纠正

三、Tafel 曲线为什么如此重要?

在电解水、燃料电池等能源转换领域,Tafel 曲线是唯一能同时提供 “活性、机制、稳定性、可比性” 的工具,其重要性体现在四个维度。
1. 量化催化活性:从 “相对比较” 到 “绝对指标”:传统活性评价(如某电位下的电流密度)受测试条件(如扫描速率、催化剂负载量)影响大,而 Tafel 曲线提供的j₀和 Tafel 常数(a) 是标准化的活性指标。
2. 揭示反应机制:锁定限速步(RDS):Tafel 斜率(b)是判断反应机制的 “金标准”,不同反应的 Tafel 斜率对应特定的限速步。
3. 验证稳定性:动态过程中的动力学变化:催化剂的稳定性不仅体现在 “电流是否衰减”,更在于 “反应机制是否改变”。通过对比稳定性测试前后的 Tafel 曲线,可判断反应机制是否改变。
4. 标准化数据对比:解决 “文献数据混乱”:当前电催化文献中,因测试条件不统一(如 LSV 扫描速率、iR 补偿是否完全),相同催化剂的活性数据差异可达 10 倍以上。Tafel 曲线通过稳态测试要求、参数归一化这两点实现标准化。
Tafel 曲线分析实操:原理拆解、关键指标(交换电流密度 / 斜率)解读与误区纠正
DOI10.1021/acsenergylett.9b00686.
Tafel 曲线分析实操:原理拆解、关键指标(交换电流密度 / 斜率)解读与误区纠正
Tafel 曲线分析实操:原理拆解、关键指标(交换电流密度 / 斜率)解读与误区纠正

四、Tafel 曲线的分析流程

1. 第一步:数据获取 —— 必须采用 “稳态测试技术”
Tafel 分析的前提是 “反应达到稳态”(活性位点覆盖度固定为 0 或 1),因此严禁使用 LSV/CV 等瞬态技术,需采用以下稳态方法:
计时电流法(CA):在不同固定过电位下,记录电流密度随时间变化,待电流稳定(波动
计时电位法(CP):在不同固定电流密度下,记录电位随时间变化,待电位稳定后取平均值;
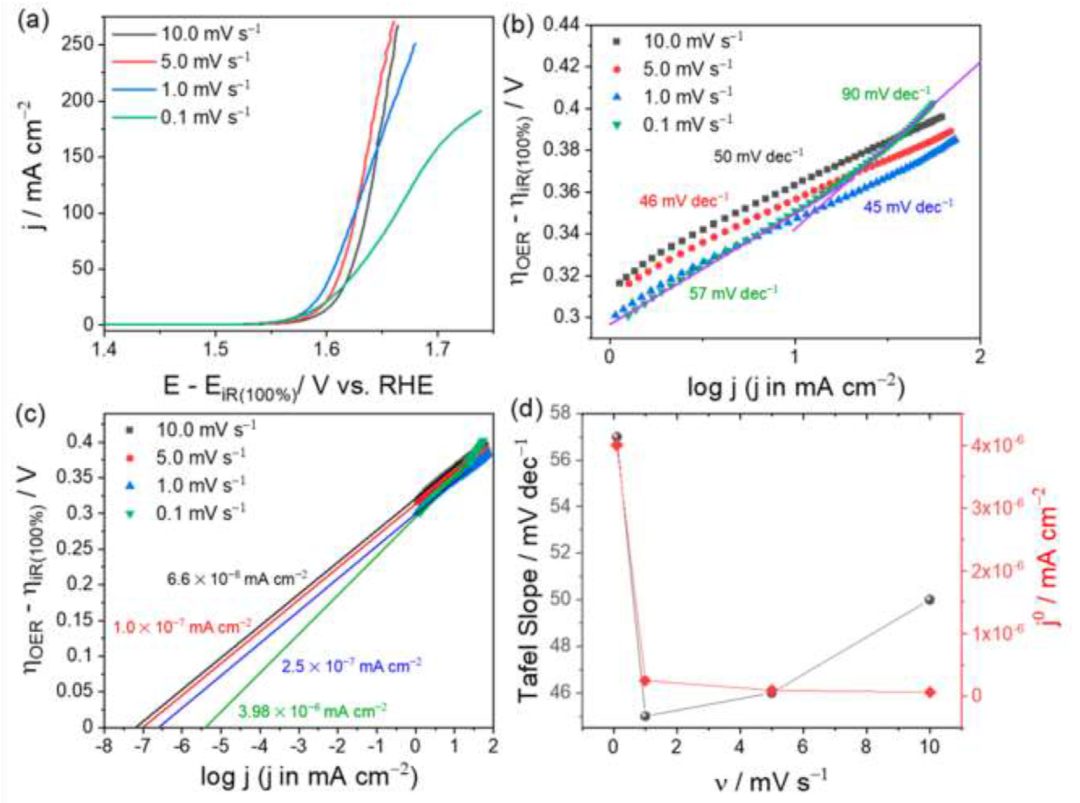
慢扫速 LSV(需验证):仅当扫描速率≤0.1 mV/s 时,可近似视为稳态,但需对比 CA 数据 —— 下图显示,10 mV/s 的 LSV 得出的 Tafel 斜率为 90 mV/dec,而 0.1 mV/s 的 LSV 斜率为 45 mV/dec,与 CA 结果一致,证明瞬态数据存在严重偏差。
Tafel 曲线分析实操:原理拆解、关键指标(交换电流密度 / 斜率)解读与误区纠正
稳态取样电流伏安(SCV)与100% iR补偿后才得到可靠Tafel参数。DOI10.1016/j.mtener.2022.101123
2. 第二步:数据校正 —— 消除 “非催化电流干扰”
原始数据需经过两项关键校正,否则会导致 Tafel 斜率和 j₀计算错误:
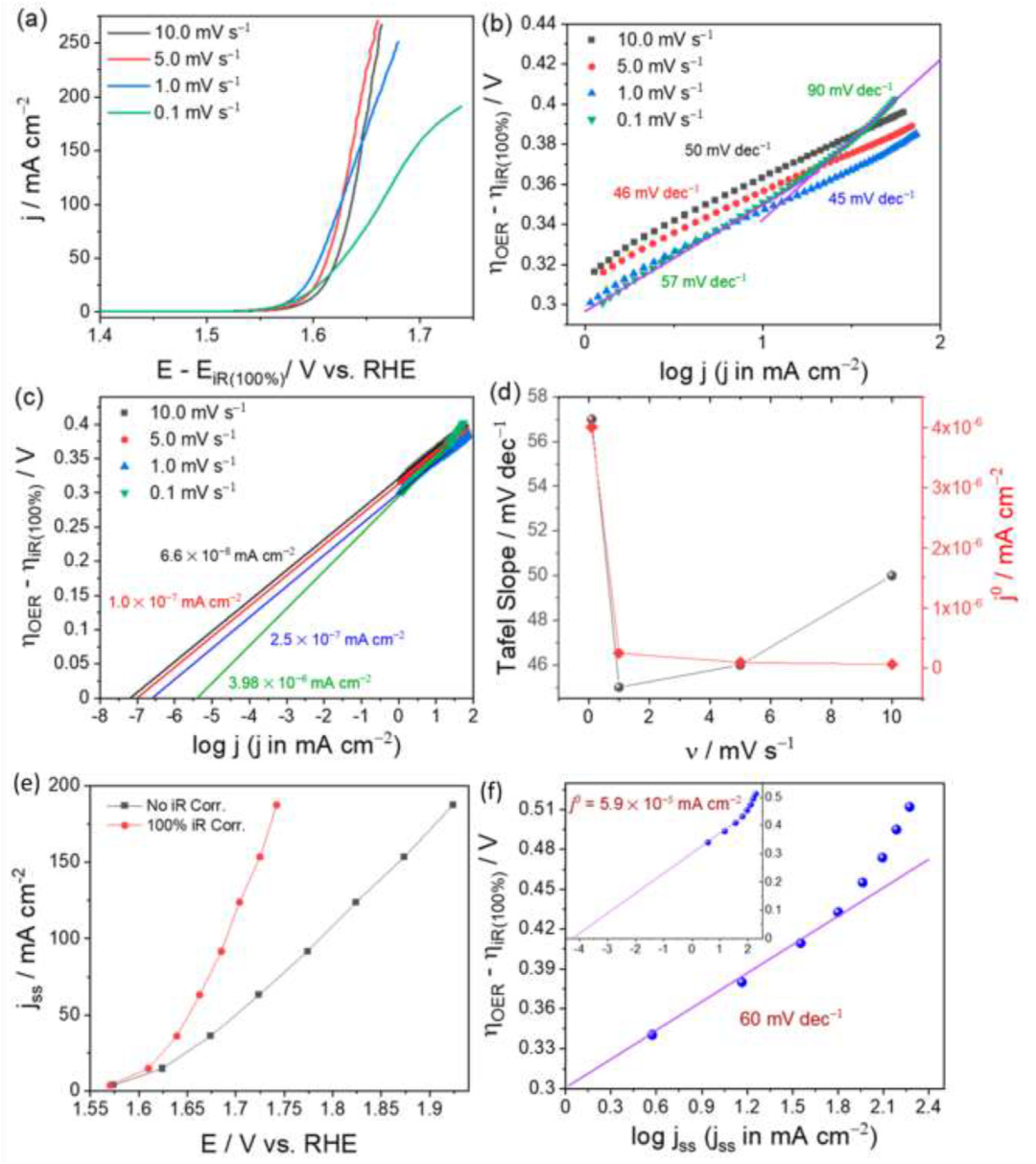
iR 补偿校正:电解液电阻(R)导致的电压降(iR)会使实测过电位偏大,需通过电化学阻抗谱(EIS)测试 R,再用 ηₐᵢₙ = ηₘₑₐₛ – iR 校正;下图显示,未做 iR 补偿的 OER 过电位比完全补偿后高 0.1 V,若忽略校正,Tafel 斜率会从 45 mV/dec 高估至 60 mV/dec,直接导致机制误判。
电容电流扣除:在低电流密度区域(如 j 50%,需通过 “空白电极测试”(如无催化剂的碳布)扣除背景电流,确保电流仅来自催化反应。
Tafel 曲线分析实操:原理拆解、关键指标(交换电流密度 / 斜率)解读与误区纠正
DOI10.1016/j.mtener.2022.101123
3. 第三步:曲线绘制 —— 仅取 “线性区域” 且覆盖 “至少两个数量级”
Tafel 曲线的线性区域是分析的核心,需满足两个条件:
远离平衡电位:线性区域需距离平衡电位 > 120 mV(对应 2.303RT/αnF,α=0.5,n=1 时),此时反向反应电流占比
电流覆盖范围:至少覆盖两个数量级的电流密度(如 0.1~10 mA/cm² 或 1~100 mA/cm²),避免因 “局部线性” 导致的斜率误算。下图a指出:若仅取 0.1~1 mA/cm² 的电流范围,可能将非线性区域误判为线性,导致 Tafel 斜率偏差 > 20%。
Tafel 曲线分析实操:原理拆解、关键指标(交换电流密度 / 斜率)解读与误区纠正
DOI10.1016/j.mtener.2022.101123
4. 第四步:参数计算 —— 避免 “假设性错误”
Tafel 斜率(b)、j₀、α 的计算需基于实际实验条件,而非默认假设:
n 的取值:多数情况下 RDS 中电子转移数 n=1(Marcus 理论指出 “单次转移多电子概率极低”),若假设 n=2,会导致 α 计算值 > 1(不合理);
α 的范围:传递系数 α 必须在 0~1 之间,若计算得 α>1 或 α
j₀的计算:需通过 Tafel 曲线截距外推至平衡电位(η=0),而非直接用某一电位下的电流密度近似,后者误差可达 1~2 个数量级。
Tafel 曲线分析实操:原理拆解、关键指标(交换电流密度 / 斜率)解读与误区纠正
DOI:10.1002/anie.202216477
5. 第五步:结果验证 —— 多表征交叉印证
Tafel 参数需与其他表征结合,避免 “单一数据误判”:
与 ECSA 结合:j₀需归一化为 “单位 ECSA 的 j₀”,才能比较不同催化剂的本征活性;
与原位表征结合:若 Tafel 斜率提示 OER 的限速步是 “O-O 键形成”,需通过原位 Raman 观察 OOH * 中间体的特征峰,验证机制合理性;
与稳定性测试结合:若稳定性测试后 j₀下降但 Tafel 斜率不变,说明活性衰减源于 “活性位点数量减少”(如脱落),而非 “位点活性降低”。
Tafel 曲线分析实操:原理拆解、关键指标(交换电流密度 / 斜率)解读与误区纠正
DOI10.1016/j.mtener.2022.101123
Tafel 曲线分析实操:原理拆解、关键指标(交换电流密度 / 斜率)解读与误区纠正
Tafel 曲线分析实操:原理拆解、关键指标(交换电流密度 / 斜率)解读与误区纠正

五、Tafel 曲线的常见误区与避坑指南

1. 误区 1:用 LSV/CV 瞬态数据绘制 Tafel 曲线
错误逻辑:认为 “慢扫速 LSV(如 1 mV/s)可替代稳态测试”。
正确解释:即使扫描速率降至 0.1 mV/s,LSV 曲线仍包含电容电流和非稳态电流,导致 Tafel 斜率和 j₀偏差 > 30%。例如下图a-d 显示,10 mV/s 的 LSV 得出的 Tafel 斜率为 90 mV/dec,而 0.1 mV/s 的 LSV 斜率为 45 mV/dec,与 CA 稳态数据一致 —— 但多数文献未降至如此低的扫速,直接导致数据不可靠。
Tafel 曲线分析实操:原理拆解、关键指标(交换电流密度 / 斜率)解读与误区纠正
DOI10.1016/j.mtener.2022.101123
避坑方案:必须采用 CA/CP 等稳态技术,或用 0.1 mV/s 以下的 LSV 数据,并与 CA 结果对比验证。
Tafel 曲线分析实操:原理拆解、关键指标(交换电流密度 / 斜率)解读与误区纠正
DOI10.1016/j.mtener.2022.101123
2. 误区 2:假设 α=0.5 计算电子转移数 n
错误逻辑:默认 α=0.5,通过 Tafel 斜率反推 n(如 b=59 mV/dec 则 n=1)。
正确解释:α 的实际值受催化剂表面电子结构影响,并非固定为 0.5。例如论文图 5c 显示,若假设 α=0.5,计算得 n=1.5(非整数,不合理);若固定 n=1,计算得 α=0.8(合理)—— 因此正确逻辑是 “固定 n=1,计算 α”,而非假设 α=0.5。
避坑方案:基于 Marcus 理论,默认 RDS 中 n=1,再计算 α,确保 α 在 0~1 范围内。
Tafel 曲线分析实操:原理拆解、关键指标(交换电流密度 / 斜率)解读与误区纠正
DOI10.1016/j.mtener.2022.101123
3. 误区 3:忽略催化剂负载量对 Tafel 斜率的影响
错误逻辑:认为 “Tafel 斜率与催化剂负载量无关”。
正确解释:几何面积归一化的电流密度(j_geo)受负载量影响,负载量增加会导致 j_geo 增大,可能使 Tafel 曲线的线性区域左移,斜率偏小。
避坑方案:采用 ECSA 归一化的电流密度(j_ECSA)绘制 Tafel 曲线,消除负载量影响。
Tafel 曲线分析实操:原理拆解、关键指标(交换电流密度 / 斜率)解读与误区纠正
DOI10.1021/acsenergylett.9b00686.
Tafel 曲线分析实操:原理拆解、关键指标(交换电流密度 / 斜率)解读与误区纠正
Tafel 曲线分析实操:原理拆解、关键指标(交换电流密度 / 斜率)解读与误区纠正

六、Tafel 曲线的应用

以论文中 “Co 箔的 OER 活性分析” 为例,展示 Tafel 曲线的标准化分析流程。
数据获取:采用 CA 稳态测试,在 1 M KOH 中测试不同过电位下的电流密度,扫描速率 0.1 mV/s,完全 iR 补偿;
曲线绘制:选取 η=0.3~0.5 V(远离平衡电位 > 120 mV),电流密度覆盖 0.1~100 mA/cm²(3 个数量级),绘制 η-log j 曲线,线性相关系数 R²>0.99;
参数计算:Tafel 斜率 b=45 mV/dec(提示限速步为 O-O 键形成),j₀=1.2×10⁻⁶ A/cm²,Tafel 常数 a=0.38 V(j=1 mA/cm² 时);
稳定性验证:20 h 电解后,Tafel 斜率变为 48 mV/dec(无显著变化),j₀降至 8.5×10⁻⁷ A/cm²,证明活性衰减源于 “活性位点数量减少”,机制未变。
Tafel 曲线分析实操:原理拆解、关键指标(交换电流密度 / 斜率)解读与误区纠正
DOI10.1016/j.mtener.2022.101123
Tafel 曲线分析实操:原理拆解、关键指标(交换电流密度 / 斜率)解读与误区纠正
Tafel 曲线分析实操:原理拆解、关键指标(交换电流密度 / 斜率)解读与误区纠正

七、总结

Tafel 曲线是电催化研究的 “核心工具”,但其价值依赖于 “正确的数据获取” 和 “合理的参数解读”。未来,随着原位 Tafel 技术(如原位 XRD-Tafel、原位 Raman-Tafel)的发展,Tafel 曲线将更精准地揭示 “动态反应机制”,为高效电催化剂的设计提供更直接的指导。

【高端测试 找华算】

华算科技是专业的科研解决方案服务商,精于高端测试拥有10余年球差电镜拍摄经验与同步辐射三代光源全球机时,500+博士/博士后团队护航,保质保量!

🏅已助力5️⃣0️⃣0️⃣0️⃣0️⃣➕篇科研成果在Nature&Science正刊及子刊、Angew、AFM、JACS等顶级期刊发表!

👉立即预约,抢占发表先机!

 

声明:如需转载请注明出处(华算科技旗下资讯学习网站-学术资讯),并附有原文链接,谢谢!
(0)
上一篇 2025年10月20日 下午3:12
下一篇 2025年10月20日 下午3:26

相关推荐