1. 简介
光照环境会显著改变硫化锌(ZnS)单晶的塑性行为:在黑暗条件下表现出延展性,而在光照下则呈现脆性。
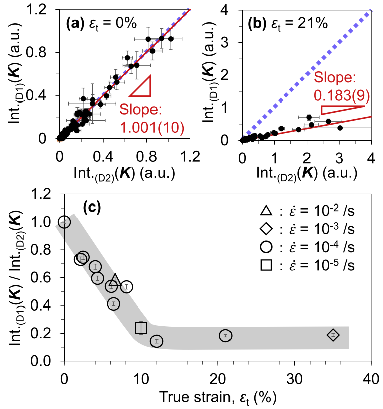
本研究通过同步辐射X射线衍射(XRD)、透射电子显微镜(TEM)和扫描透射电子显微镜(STEM)技术,揭示了这种光环境依赖性塑性的微观变形模式。XRD分析表明,ZnS晶体最初由体积分数相近且具有孪晶关系的两个畴组成,在黑暗条件下塑性变形时伴随畴体积比的变化(即孪晶消失)。当塑性应变超过10%时,畴体积比趋于稳定值0.2。STEM分析指出,黑暗条件下的变形模式在约10%塑性应变时发生转变:从孤立部分位错的滑移主导,转变为以主要畴内成对部分位错的协同滑移为主。

2. 文章亮点
1. 光环境依赖的塑性行为切换
首次发现立方ZnS单晶在黑暗环境下表现延展性(塑性应变>10%),而在光照下转为脆性(仅百分之几塑性应变),揭示了光环境对半导体材料塑性行为的决定性影响。
2. 孪晶畴体积比的应变依赖性
通过同步辐射XRD和TEM证实,黑暗条件下塑性变形初期(应变
3. 位错运动模式的应变阶段转变
STEM分析发现,黑暗条件下位错行为在~10%应变时从孤立部分位错滑移转变为成对位错协同滑移,揭示了变形后期(应变>10%)塑性由主要畴内位错增殖主导的机制。
3. 研究背景
滑移和孪生是晶体材料塑性变形的主要模式。滑移是指晶体沿特定晶面(滑移面)发生块体相对滑动,其最小滑动位移等于最短的晶格平移矢量(即伯格斯矢量b),变形后晶体结构保持不变。而孪生则是原子层以产生不同取向的原始晶体结构的方式移动,使变形区与未变形区形成镜像对称关系。具体激活哪种变形模式取决于晶体结构、温度、应变率等变形条件。
早期研究表明,对于具有金刚石和闪锌矿结构的半导体材料,高温下变形主要由滑移主导,而低温下孪生更易发生。我们此前发现,II-VI族化合物半导体闪锌矿硫化锌(ZnS)晶体在黑暗环境下通过滑移表现出超大塑性,而在光照下塑性变形则伴随形变孪生。然而,这些结论仅基于特定塑性应变后的扫描透射电子显微镜(STEM)和光学表面观察,不同光环境下ZnS晶体变形的微观模式尚未明确,光照对变形模式的影响机制仍有待阐明。
本研究结合同步辐射X射线衍射(XRD)、透射电子显微镜(TEM)和STEM技术,系统分析了ZnS晶体在不同光照条件下的塑性变形模式,并从位错运动的角度探讨了其物理起源。位错作为塑性变形产生的一维晶格缺陷,是理解变形行为的关键。
4. 图文解析









5. 文章结论
通过同步辐射XRD、TEM和STEM对ZnS单晶在黑暗与光照条件下的变形模式进行研究。XRD结果表明,未变形的原始ZnS晶体初始具有约50%的孪晶结构,在黑暗条件下塑性变形至约10%应变时伴随畴体积变化(即孪晶消失),此后随着应变增加,畴体积比趋于恒定。分析认为,初始阶段(ε_t
在光照条件下,畴体积比同样发生局部变化,表明边界位错运动导致了与黑暗初始阶段类似的局部变形。如先前研究所述,位错运动受其核心与光生载流子相互作用的显著影响,其迁移率强烈依赖于位错特征(如核心原子种类和位错线取向)。这种位错迁移率的差异性可能是光照下非均匀塑性变形的原因。
全文链接
https://doi.org/10.1016/j.actamat.2023.118738
本文源自微信公众号:科学拾光
原文标题:《光控变形:Nagoya Univ.揭示ZnS晶体孪晶消失的微观机制 | Acta Mater.》
原文链接:https://mp.weixin.qq.com/s/vjXO29ffgBhSxuQ12E1f5g
本转载仅出于分享优质测试干货,旨在传递更多观点,并不代表赞同其全部观点或证实其内容的真实性。文章中所包含的图片、音频、视频等素材的版权均归原作者所有。如有侵权请告知删除。

