什么是界面双电层(EDL)
在电催化领域,电双层(EDL)是电催化反应的核心区域。催化剂表面原子、反应物、中间体、产物、溶剂分子和离子等组分共同构成了复杂的动态反应网络,这种特殊的组成和结构赋予界面双电层以特殊的性质,深刻地影响了电催化反应的路径与结果。

图1. (c)由AIMD模拟的电化学界面。DOI:10.1038/s41586-021-04068-z
以下将从电化学来阐述电催化界面双电层的表征方法。
电化学测量方法
电化学测量方法是一类利用电信号分析电化学反应体系特性的技术体系,可在特定条件下通过电信号反馈获取体系特征信息。通过电化学测量方法,可直接获取界面双电层的电学信息(包括充电电流、法拉第电流、双电层电容、零电荷点(PZC)、电场强度、电极电荷密度(过剩电荷密度)等),还可间接确定层内反应物种的浓度。
电毛细管法
其原理是利用毛细管内界面张力的抵消现象,来测定外加电压下界面张力的变化,从而得到所谓的电毛细曲线。当该电化学体系可用GC(Gouy-Chapman)模型描述时,电毛细曲线顶点所对应的工作电极电位即为零电荷电位φpzc。
借助李普曼方程对电毛细曲线进行分析,可求出(过剩)电极电荷密度qM;再将其对电压求导,即可得到双电层的微分电容C。
(dγ/∂V)const.comp.= −qM
(∂qM/∂V)const.comp. = C
伏安法
伏安法能够方便地调控电极电位及电极–电解液界面状态,是测量与表征双电层的基础技术。在双电层研究中,最常用的三种伏安技术包括循环伏安法(CV)、交流伏安法(ACV)和电化学阻抗谱(EIS)。
这三种方法均可用于获取双电层电容信息,但由于测试条件与数据拟合策略的不同,它们在所得EDL电容的精度与完整性上存在差异。
在循环伏安法中,工作电极的电势φt(t为时间,又称直流电势φdc)随时间呈线性变化。通过绘制电流密度与直流电势或时间的关系曲线,可得到循环伏安(CV)曲线。
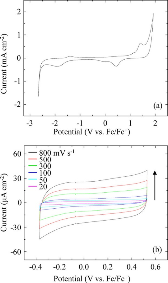
获取双电层电容的方法是在仅存在非法拉第充电电流的电势范围内进行扫描,特定电势下电流密度的对数与扫描速率vscan的对数呈线性关系,该直线的斜率即为双电层电容。

图2. (a)在PAN电解液中,BDD电极在不同扫描速率(800、500、300、100、50和20mV s⁻¹)下的代表性循环伏安图;黑色箭头指示扫描速率增加的方向。 (b)BDD电极在PAN中于−0.3V(相对于Fc/Fc⁺)处电流对数与扫描速率对数的代表性关系图,并给出相应的线性拟合。DOI: 10.1021/acs.jpcc.8b00272
交流伏安法(ACV)利用交流信号区分界面双电层结构(非法拉第组分)与界面电化学反应(法拉第组分),可选择性测量充电电流或法拉第电流,进而确定双电层电容、电极表面活性物种浓度等物理量。
在ACV中,工作电极的φt满足公式,即由直流电势与振幅为ΔE、频率为ωac的交流电势叠加而成。理论上,不同过程或反应步骤的电压–电流–时间关系存在差异。
傅里叶变换(FT)技术及傅里叶变换交流伏安法(FT-ACV)的发展,可直观呈现电化学反应体系中法拉第组分与非法拉第组分对不同频率交流信号的响应,从而实现法拉第过程与非法拉第过程的分离。
φt = φdc + Δφsin(ωact)

图3. 在100 mV s⁻¹的扫描速率下,于多晶金电极上获得的直流循环伏安图:(a)展示了Bmim BF₄可用的电化学电位窗口。(b)给出了用于通过FT-ACV测定双电层电容的电位窗口。图中箭头指示双电层充电电流随扫描速率的增加而增大。DOI: 10.1021/acs.jpcc.7b00287
电化学阻抗谱(EIS)测试属于准稳态过程,在固定电极电势的同时改变交流频率,能够获取更全面的信息,从而更准确地测定双电层电容。通过EIS方法获得微分电容C后,结合零电荷点(φpzc),进行逆运算(积分与二次积分),可得到qM–V曲线和电毛细曲线,进而确定电极(过剩)电荷密度qM等双电层关键性质。
如图4所示,研究人员以铂(111)| H2SO4水溶液界面为模型体系,研究了EIS中电极电势、频率弥散与EDL电容的关系。结果表明,铂(111)表面由硫酸根、硫酸氢根和水分子组成的吸附层发生的二维相变(有序–无序相变)对EDL电容具有显著影响,同时还阐明了氧还原反应(ORR)过程中阳离子K+对吸附层电容的作用。
此外,EIS可将特定吸附、法拉第反应、扩散及非法拉第过程表征为不同的电路元件,通过等效电路拟合分析,能够阐明各过程在电催化机理中的贡献。

图4. 在不同给定电极电位下,实验EIS数据的奈奎斯特图(空心符号)及其拟合结果(实线)示例。左侧图与右侧图展示同一组数据:左侧采用等间距尺度表示虚部,右侧则将横坐标进行放大显示。DOI: 10.1016/j.susc.2014.04.014
尽管电化学表征方法在电催化研究中占据主导地位,但其主要缺陷在于:多数测量仅能提供宏观电信号,难以获取界面处溶剂分子取向、局部浓度等直接微观证据。
原位光谱表征方法
原位光谱表征方法主要为EDL研究提供三类信息:
第一,界面分子的化学信息—通过定性识别不同电压、反应环境下中间体/特定吸附物种/溶剂的种类与存在形式,定量测定目标物种(尤其是特定吸附质)的界面浓度。这类信息无法通过电化学测量技术直接获取,是光谱技术的独特优势;
第二,微观空间尺度下的EDL性质信息,包括零电荷点(PZC)、距离电极特定位置处的电场强度与电势;
第三,时间维度的变化信息—可实时监测反应过程,将EDL的动态变化与电催化反应紧密关联。
原位红外光谱
包括红外反射吸收光谱(IRRAS)、衰减全反射红外光谱(ATR-IR)、表面增强红外吸收光谱(SEIRAS)等。凭借界面物种的特征红外振动信号,原位红外光谱已被广泛用于定性识别不同电压、反应环境下EDL中目标物种的种类、构型及动态变化,同时在研究多组分间的相互作用方面也发挥着关键作用。
如图5所示,研究人员采用原位ATR-SEIRAS技术,对铜(Cu)电极| 0.1 mol/LKHCO3界面的二氧化碳还原反应过程进行表征。
结果表明,在-0.6V至-1.2V的电势范围内,可直接观测到CO及1720cm⁻¹附近的吸附态醛类(*CHO)等关键中间体。此外,还观察到Cu表面COO−物种的特征振动(COO−的两个O原子均吸附在Cu上)。

图5. (a)在CO₂饱和的0.1M KHCO₃溶液中,对铜薄膜电极进行阴极扫描过程中实时采集的ATR-SEIRAS光谱。(b)相应的循环伏安图以及积分谱带强度变化。DOI: 10.1021/jacs.7b10462
原位拉曼光谱
常用于阐明EDL中目标分子的种类、结构、取向,以及研究目标物种随表面电势、电荷状态/时间的动态变化。此外,SERS具有较宽的波数范围(约10-4000cm⁻¹),在表征催化剂表面附近的M-X键(M为金属,X为其他原子/基团)方面具有独特优势,因此常被用于研究反应过程中催化剂表面的成键情况。
如图6所示,研究人员将原位SHINERS技术与从头算分子动力学(AIMD)相结合,研究了钯(Pd)单晶电极在析氢反应(HER)过程中界面水分子的动态结构转变。对Pd (111)|0.1mol/L高氯酸钠(NaClO4,pH=11)界面的原位SHINERS测试为Na+增强HER活性提供了进一步证据。

图6. (a)在0.1M NaClO₄溶液(pH11)中,Pd(111)电极界面水的原位拉曼光谱。对三种O–H伸缩振动模式进行高斯拟合,分别用蓝色、橙色和红色表示。DOI: 10.1038/s41586-021-04068-z
扫描探针显微镜(SPM)
扫描探针显微镜(SPM)是一类利用探针与样品表面的相互作用,检测样品或体系特定区域性质的技术,可在纳米尺度对样品表面的物理化学性质进行成像与分析。
电化学扫描隧道显微镜(EC-STM)
常用于原位表征电催化反应过程中电极侧表面的形貌变化,将其与电化学测试、光谱技术结合,可直接观测内亥姆霍兹平面(IHP)中吸附物种的吸附行为,明确电极形貌与吸附物种转化之间的关联。
如图7所示,研究人员用EC-STM/SERS研究Cu(100)在HNO₃/HF溶液中的硝酸盐还原:无HNO₃时为(1×1)表面;加入HNO₃后形成(2×2)-NO₃⁻吸附层;在0.29V(vsAg/AgCl)时,出现由NO₃⁻与H₃O⁺构成的新c(2×2)层,13s内取代原层;反应后期生成与NO₂⁻相关的c(2×2)吸附层。

图7. 在0.1M HF溶液中获得的原位EC-STM图像(Cu(100)表面)。(a, b)为不含NO₃⁻的溶液。(c, d)为含1mM HNO₃的溶液。(a, c)为大尺度图像:200nm×200nm(a)和50nm×50nm(c)。(b, d)为小尺度图像:5nm×5nm(b)和16nm×16nm(d)。DOI: 10.1021/ja071330n
扫描电化学显微镜
SECM所用探针为定义明确的超微电极(至少一个维度的尺寸等于或小于25μm),目的是在提高空间分辨率的同时,减少对测量体系的干扰。
如图8所示,电势可控的SECM探针在电催化反应过程中靠近基底电极(产生基底电流iS),探针周围局部环境中的反应物、中间体或产物会向探针扩散并发生氧化或还原反应,产生法拉第电流iT信号。iT可准确反映活性物种的浓度,而iT/iS的比值还可反映EDL中物质的分布情况,为反应细节研究提供依据。

图8. 扫描电化学显微镜(SECM)仪器示意图。DOI: 10.1021/acs.chemrev.6b00067

