深入理解高温超导机制是凝聚态物理的一个重大课题。
一般用Hubbard模型解释高温超导机制,并认为高温超导现象源自掺杂的Mott绝缘体。
然而,由于在掺杂的Mott绝缘体中存在强电子关联,要得到Hubbard模型的精确解面临着空前的困难。
因此,如果能选取可控的Hubbard体系作为研究对象,并系统考察高温超导随着Hubbard模型中各参数的演化规律,就能加深对Hubbard模型的理解,有利于进一步探索高温超导规律。
2019年7月17日,美国加州大学伯克利分校的王枫教授、复旦大学的张远波教授和斯坦福大学的David Goldhaber-Gordon教授(共同通讯作者) 等报导了在ABC构型的三层石墨烯(TLG) 和六方氮化硼(hBN) 构成的摩尔超晶格异质结中观察到可控超导现象。
理论计算表明,在垂直位移场下,ABC-TLG/hBN异质结显示出分离的平价带,其带宽可以通过垂直位移场连续调节。
该现象与魔角扭曲双层石墨烯中的现象截然不同,并能用三角形超晶格的Hubbard模型来解释。
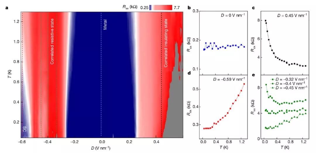
通过施加垂直位移场,作者发现ABC-TLG/hBN超晶格在20 K下显示出Mott绝缘态。
Mott绝缘态的填充率分别为1/4和1/2,这相当于平均每个单胞含有1个或2个空穴。
继续冷却时,在1/4填充Mott绝缘态的电子掺杂和空穴掺杂一侧,均能观察到超导的“穹顶”特征在低于1 K时出现。
ABC-TLG/hBN超晶格的电子行为对带宽和电子-电子相互作用的变化较敏感。
通过调控垂直位移场,该工作证实ABC-TLG/hBN超晶格发生了从超导态向Mott绝缘态和金属态的转变。
该工作表明,ABC-TLG/hBN超晶格是研究可控三角形Hubbard模型及相关丰富现象的利器。
这项工作以“Signatures of tunable superconductivityin a trilayer graphene moiré superlattice”为标题发表在国际顶刊Nature上。
图一、ABC-TLG/hBN摩尔超晶格中的Mott绝缘体

图二、ABC-TLG/hBN摩尔超晶格中的超导现象


图四、用垂直位移场调控ABC-TLG/hBN中的电子相
Signaturesof tunable superconductivity in a trilayer graphene moiré superlattice (Nature, 2019, DOI: 10.1038/s41586-019-1393-y)