高熵材料(HEMs)核心特性量化与验证:高熵效应、迟缓扩散效应、鸡尾酒效应、晶格畸变效应

说明:本文华算科技介绍了高熵材料(HEMs)及其核心特性,包括高熵效应迟缓扩散效应、鸡尾酒效应和晶格畸变效应。通过热力学计算、熵值估算、in situ TEMXRD、TEM、APT、XAS、HAXPES和DFT、MD、4D-STEM、LSV手段,对这些效应进行了量化和验证。
什么是高熵材料?
高熵材料通常指由五种或以上元素以近似等摩尔比形成的固溶体结构材料。与传统合金不同,高熵材料不是以某一种或两种元素为主,而是多种元素共同占据晶格位置,形成高度混乱的原子排列状态。
高熵材料(HEMs)核心特性量化与验证:高熵效应、迟缓扩散效应、鸡尾酒效应、晶格畸变效应
1. 开发具有多元素组成和高功能性的高熵纳米粒子。10.1126/science.abn3103
高熵材料(HEMs)的四大核心特性是高熵效应、晶格畸变效应、迟缓扩散效应和鸡尾酒效应,是理解和分析这类材料的核心。
高熵效应
高熵效应的本质是多元素混合带来的构型熵显著升高,当熵增的 “驱动力”(TΔS)超过元素间焓差异(ΔH)的 “阻力” 时,体系会自发形成单一固溶体,而非相分离。对于HENPs,通常要求元素种类≥5,此时构型熵足以克服大多数元素的不混溶焓垒。
高熵材料(HEMs)核心特性量化与验证:高熵效应、迟缓扩散效应、鸡尾酒效应、晶格畸变效应
图2. HENPs的构型熵随着元素的数量增加而增大。

核心公式

(1)构型熵计算公式

构型熵是高熵效应的量化指标,其表达式为:

高熵材料(HEMs)核心特性量化与验证:高熵效应、迟缓扩散效应、鸡尾酒效应、晶格畸变效应
R:气体常数;xi:第i种元素的摩尔分数(∑xi = 1);n:元素种类数。

(2)固溶体形成的热力学判据

体系是否形成固溶体,由吉布斯自由能决定:
ΔG=ΔH -TΔS
ΔH:混合焓;T:绝对温度(K);当ΔG体系稳定形成固溶体。
高熵材料(HEMs)核心特性量化与验证:高熵效应、迟缓扩散效应、鸡尾酒效应、晶格畸变效应
图3. 焓驱动的结构多样化(ΔH)

如何计算表征高熵效应?

(1)计算

热力学模拟:第一性原理计算基于量子力学理论,可通过密度泛函理论(DFT)精准计算多元素体系的混合焓——通过构建不同元素组合的超胞模型,计算原子间相互作用能,进而得到体系的ΔHmix
高熵材料(HEMs)核心特性量化与验证:高熵效应、迟缓扩散效应、鸡尾酒效应、晶格畸变效应
图4. 基于尺寸失配和焓变的高通量结构预测计算。
熵值估算:基于玻尔兹曼熵公式推导的构型熵计算公式,需结合元素摩尔分数进行定量计算。分析过程中需重点关注元素种类(n)与比例的影响:当n >=5且xi均匀时,ΔSconfig显著提高,反之亦然。

(2)表征

XRD(X 射线衍射):XRD 主要通过衍射峰特征来表征高熵效应。
峰位偏移能反映多主元原子导致的晶格畸变,峰形宽化对应结构无序或晶粒细化,峰数量少且无杂相则说明形成了单一固溶体,这正是高熵效应的关键体现。
高熵材料(HEMs)核心特性量化与验证:高熵效应、迟缓扩散效应、鸡尾酒效应、晶格畸变效应
图5. 同步辐射 XRD检测整体相结构。
TEM(透射电子显微镜):TEM 主要通过直接观察微观结构和分析元素分布来表征高熵效应。它能看到高熵效应带来的细晶形貌,还能通过电子衍射确认是否形成单一固溶体相。
借助元素分析可验证多主元是否均匀固溶,高分辨模式下还能观察到晶格畸变
高熵材料(HEMs)核心特性量化与验证:高熵效应、迟缓扩散效应、鸡尾酒效应、晶格畸变效应
迟缓扩散效应
迟缓扩散效应是多元素原子尺寸、电负性和电子结构的差异,导致 HENPs 的晶格场高度紊乱,原子扩散的 “路径阻力”(扩散激活能Q)显著升高,最终使扩散系数大幅降低
高熵材料(HEMs)核心特性量化与验证:高熵效应、迟缓扩散效应、鸡尾酒效应、晶格畸变效应
6造成扩散迟缓的因素DOI10.1038/s41570-024-00602-5

核心公式

原子扩散的速率由扩散系数 描述,其Arrhenius公式为:
高熵材料(HEMs)核心特性量化与验证:高熵效应、迟缓扩散效应、鸡尾酒效应、晶格畸变效应
D0频率因子;Q:扩散激活能——HENPs的Q比低元合金高 30%~80%;
高熵材料(HEMs)核心特性量化与验证:高熵效应、迟缓扩散效应、鸡尾酒效应、晶格畸变效应
图7. 材料科学中迟缓扩散效应与材料属性之间的关系。

如何表征迟缓扩散效应?

in situ TEM(原位透射电子显微镜in situ TEM 可实时追踪原子移动,结合方程算出扩散系数,系数越小说明迟缓扩散越明显。它还能观察晶界迁移速率,高熵材料中这一速率远低于传统合金,直接体现扩散受阻。
另外通过能谱算元素迁移能,迁移能越高,迟缓效应越强;
高熵材料(HEMs)核心特性量化与验证:高熵效应、迟缓扩散效应、鸡尾酒效应、晶格畸变效应

图8. 展示各种触发因素、所获信息与原位透射/扫描透射电子显微镜(TEM/STEM)测量应用领域之间简单关系的框图。DOI: 10.1093/jmicro/dfad057

APT(原子探针断层扫描):APT 主要通过原子级浓度分析和三维重构量化迟缓扩散效应,它能测扩散后的元素浓度梯度,结合 Fick 定律算出扩散系数,系数越小说明迟缓越明显。高熵材料(HEMs)核心特性量化与验证:高熵效应、迟缓扩散效应、鸡尾酒效应、晶格畸变效应
图9. APT的示意图及原子行为。DOI:10.1038/s41563-024-01912-1
鸡尾酒效应
鸡尾酒效应是HENPs中不同元素的电子结构、化学活性相互调控,形成 “多活性位点 + 宽范围结合能分布” 的特性,最终表现出非线性的性能增强
与传统 “合金化效应”不同,鸡尾酒效应强调 “多元素的协同”,而非 “二元 / 三元的相互作用”。
高熵材料(HEMs)核心特性量化与验证:高熵效应、迟缓扩散效应、鸡尾酒效应、晶格畸变效应
图10. 鸡尾酒效应和破标度关系效应对高熵合金电催化活性益处的示意图。DOI:10.1016/S8720-2067(22)64161-5

如何表征鸡尾酒效应?

(1)元素特异性表征

XAS(X 射线吸收光谱):XAS 主要通过元素特异性分析表征鸡尾酒效应,先针对高熵材料中不同主元选对应吸收边,用 EXAFS 分析各元素的局部配位环境,用 XANES 获取其电子态,再关联这些信息揭示多主元的结构与电子协同作用,从而体现鸡尾酒效应
高熵材料(HEMs)核心特性量化与验证:高熵效应、迟缓扩散效应、鸡尾酒效应、晶格畸变效应
图11. X射线吸收光谱法中的过程。DOI:10.1038/s43586-024-00366-8
HAXPES(硬 X 射线光电子能谱):HAXPES 凭借硬 X 射线的深穿透性,可精准分析高熵材料体相的多主元信息来表征鸡尾酒效应:它能测定各主元的体相价态,分析价带结构中不同元素的轨道杂化情况,还能通过深度分布验证多主元均匀性,进而揭示多元素间的电子协同与结构协同作用,体现鸡尾酒效应
高熵材料(HEMs)核心特性量化与验证:高熵效应、迟缓扩散效应、鸡尾酒效应、晶格畸变效应
图12. IrPdPtRhRu高熵合金纳米粒子表现出优异的析氢反应性能。

(2)性能测试

电化学线性扫描伏安法(LSV):LSV通过扫描电压记录电流变化,反映催化反应的活性位点数量与反应能垒 —— 单一活性位点对应单一电流峰,多活性位点对应多拐点或宽化电流平台。
高熵材料(HEMs)核心特性量化与验证:高熵效应、迟缓扩散效应、鸡尾酒效应、晶格畸变效应
图13. 电化学测试中,HENPs的LSV曲线出现多拐点
晶格畸变效应
晶格畸变效应是HENPs 中不同元素的原子尺寸差异(通常 Δd>5%),导致晶格无法保持完美周期性,出现 “局部拉伸”(大原子周围)或 “局部压缩”(小原子周围)的应变,形成 “非均匀但整体稳定” 的晶格结构。
高熵材料(HEMs)核心特性量化与验证:高熵效应、迟缓扩散效应、鸡尾酒效应、晶格畸变效应
14. 严重晶格畸变及其对各种性能的影响。DOI10.1038/s41570-024-00602-5
与传统材料的 “宏观应变”(如冷加工导致的整体应变)不同,HENPs 的晶格畸变是 “原子级局部应变”(尺度

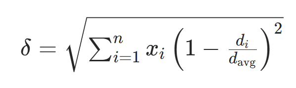
 核心公式

(1)晶格畸变率(δ)

描述整体畸变程度:
高熵材料(HEMs)核心特性量化与验证:高熵效应、迟缓扩散效应、鸡尾酒效应、晶格畸变效应
di:第i种元素的原子直径;davg=∑xidi:平均原子直径;HENPs的δ通常为 2%~8%

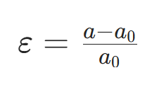
(2)局部应变(ε)

描述微观区域的应变:
高熵材料(HEMs)核心特性量化与验证:高熵效应、迟缓扩散效应、鸡尾酒效应、晶格畸变效应
:HENPs 中局部区域的晶格常数;a0:对应纯元素的晶格常数;ε>0为拉伸应变,ε

如何表征晶格畸变效应?

(1)表征

4D-STEM(四维扫描透射电子显微镜):通过聚焦电子探针扫描样品,记录每个扫描点的电子衍射信号,结合衍射斑偏移分析计算局部晶格常数变化,生成应变映射图(图B)—— 红色区域为拉伸应变,蓝色区域为压缩应变

高熵材料(HEMs)核心特性量化与验证:高熵效应、迟缓扩散效应、鸡尾酒效应、晶格畸变效应

图15. 高熵纳米粒子的4D-STEM和应变分布图10.1126/science.abn3103

AET(原子电子断层扫描):AET 通过倾斜样品采集不同角度的 TEM 图像,结合断层扫描重构算法,在原子级分辨率下生成 HENPs 的 3D 原子模型,直接观察原子的空间位置偏差,量化晶格畸变的微观细节;

高熵材料(HEMs)核心特性量化与验证:高熵效应、迟缓扩散效应、鸡尾酒效应、晶格畸变效应

图16. 通过原子电子断层成像术确定高熵金属玻璃纳米粒子的三维原子结构。10.1126/science.abn3103

XRD(高分辨率 X 射线衍射):X 射线衍射(XRD)可通过衍射峰位偏移、峰形宽化等特征,表征晶格畸变效应
峰位偏离布拉格方程的理想位置,反映晶格因原子尺寸差异、应力等产生的畸变程度;峰形的宽化则与晶格内应力不均、晶粒细化导致的结构无序性直接相关,是量化晶格畸变的关键手段。
高熵材料(HEMs)核心特性量化与验证:高熵效应、迟缓扩散效应、鸡尾酒效应、晶格畸变效应
图17. 放置在样品位置的荧光屏图像,该荧光屏由入射 X 射线束照射。DOI:0.1107/S2053273317008592

(2)第一性原理计算

第一性原理计算通过构建含晶格畸变的超胞模型,基于密度泛函理论求解电子薛定谔方程,得到电子态密度、d带中心等参数,分析这些参数随畸变的变化,进而定量关联晶格畸变与材料性能,实现对其效应的表征。

高熵材料(HEMs)核心特性量化与验证:高熵效应、迟缓扩散效应、鸡尾酒效应、晶格畸变效应
图 18. 晶格畸变、局部化学有序化和纳米析出相对耦合强化的作用。DOI:10.3389/fmats.2021.767795

【高端测试 找华算】

华算科技是专业的科研解决方案服务商,精于高端测试拥有10余年球差电镜拍摄经验与同步辐射三代光源全球机时,500+博士/博士后团队护航,保质保量!

🏅已助力5️⃣0️⃣0️⃣0️⃣0️⃣➕篇科研成果在Nature&Science正刊及子刊、Angew、AFM、JACS等顶级期刊发表!

👉立即预约,抢占发表先机!

声明:如需转载请注明出处(华算科技旗下资讯学习网站-学术资讯),并附有原文链接,谢谢!
(0)
上一篇 2025年10月31日 上午11:33
下一篇 2025年11月11日 下午2:57

相关推荐